• アプリケーションノート

Xevo TQD を搭載した ACQUITY UPLC を用いた、離乳食および乳児用調製粉乳中のビスフェノール A、B、E の分析

Xevo TQD を搭載した ACQUITY UPLC を用いた、離乳食および乳児用調製粉乳中のビスフェノール A、B、E の分析

  • Claude R. Mallet
  • Waters Corporation

要約

このアプリケーションノートでは、調製粉乳および離乳食中の BPA、BPB、BPE を 5 分以内で分析できる迅速な分析について実証します。

アプリケーションのメリット

RADAR 機能および TargetLynx マトリックスカリキュレーターは、重要な情報が得られる有用なツールです。これらを使用してメソッド開発を最適化し、複数のステップからなる抽出法を正しく開発することができます。

はじめに

ビスフェノール A(BPA)は、主にポリカーボネートプラスチックおよびエポキシ樹脂の製造過程で使用される添加剤です。これらの合成素材は、食品や飲料の安全性と完全性を保護するための食品包装に広く使用されています。ポリカーボネートは、哺乳びん、食器、およびその他の食品容器など、多くの食品や飲料の容器の製造に使用されています。エポキシ樹脂コーティングは、金属缶の腐食や食品の汚染を防ぎます。

BPA は内分泌かく乱物質であり、体内に存在するホルモンを模倣して、健康に悪影響を及ぼす可能性があります。2001 年、BPA のエストロゲン活性に関する懸念が高まり、消費者向け製品における BPA 使用の安全性に疑問を呈する報告が複数の政府から発表されました。カナダは、BPA を有毒物質とする化学物質管理計画により、BPA に対する措置を講じた最初の国になりました。米国食品医薬品局(FDA)は 2010 年に、胎児、乳児、幼児の BPA 曝露に関する懸念を表明する報告書を発表し、これによって BPA の安全性に関する詳細な研究が促されました1。 最近の欧州連合指令(EU 2011/8/EU)では、乳児用哺乳瓶における BPA の使用が禁止されました2。  食品業界を対象として BPA 製品が最近禁止されて以来、各メーカーは新規エポキシ配合において代替のビスフェノールの同定に積極的に取り組んでいます3,4。 このアプリケーションノートでは、離乳食および粉ミルクに含まれる 3 種類のビスフェノール(A、B、E)についての分析結果を紹介します。

実験方法

サンプル前処理の条件

DisQuE

チューブ 1:

50 mL チューブ、製品番号 #186004837

MgSO4 4.0 g、NaCl 1.0 g、クエン酸ナトリウム 1.5 g

チューブ 2:

15 mL チューブ、製品番号 #186004834

MgSO4 900 mg、PSA 150 mg、C18 150 mg

SPE

カートリッジ:

Oasis HLB 30 mm、60 mg/3 cc

コンディショニング:

メタノール 2 mL

平衡化:

水 2 mL

ロード:

希釈抽出液 70 mL

流速:

5 mL/分未満

洗浄:

40% MeOH 水溶液 2 mL

溶出:

100% MeOH 1 mL

UPLC 条件

UPLCシステム:

ACQUITY UPLC

分析時間:

5.0 分

カラム:

ACQUITY UPLC BEH C18、2.1 × 50 mm、1.7 μm

カラム温度:

40 ℃

移動相 A:

0.5% NH4OH 水溶液

移動相 B:

0.5% NH4OH メタノール溶液

溶出:

5%(B)~95%(B)の 3 分間のリニアグラジエント

流速:

0.5 mL/分

注入量:

50 µL

MS 条件

MS システム:

Xevo TQD

イオン化モード:

ESI-

キャピラリー電圧:

3.5 kV

コーン電圧:

30.0 V

イオン源温度:

140 ℃

脱溶媒温度:

350 ℃

脱溶媒ガス:

550 L/時間

コーンガス:

50 L/時間

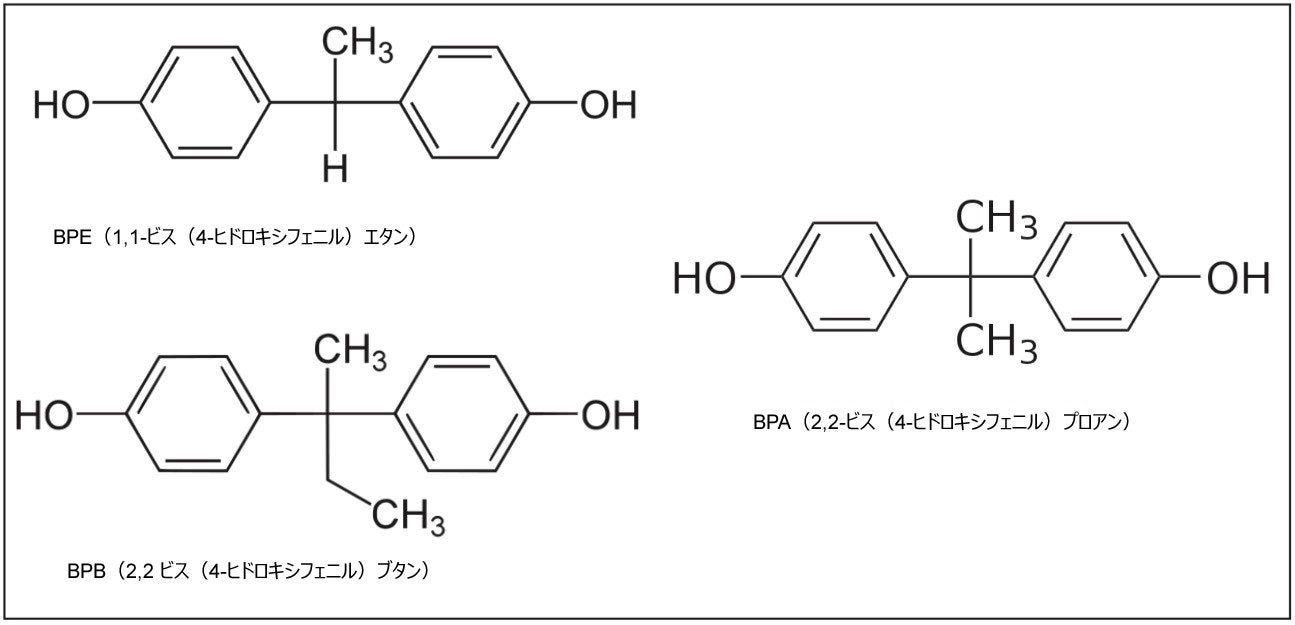
ビスフェノール(BPA、BPB、BPE)の化学構造式および MRM 条件をそれぞれ図 1 および表 1 に示します。ビスフェノール A D16 を内部標準として使用しました。

ビスフェノール A、B、E の化学構造
図 1. ビスフェノール A、B、E の化学構造
ビスフェノール類の MRM 条件
表 1.  ビスフェノール類の MRM 条件

乳児用調製粉乳および離乳食の実験的抽出プロトコルでは、図 2 に概説しているように、複数の抽出手法を組み合わせています。プロトコルの最初のステップでは、しばしば「QuEChERS 法」と呼ばれるアセトニトリルの塩析効果を使用しています5。 このステップでは、適切な比率のクエン酸ナトリウム塩、塩化ナトリウム塩、硫酸マグネシウム塩を含む Waters DisQuE クリーンアップチューブを使用しました。有機層(アセトニトリル)は、硫酸マグネシウム、1 級-2 級アミン(PSA)、C18 の混合液が入った 2 本目の DisQuE チューブを用いてさらにクリーンアップしました。プロトコルの 2 番目のステップでは、図 2 に示すように、Oasis HLB カートリッジで固相抽出(SPE)を行いました。最終的なメタノール抽出液は、ACQUITY UPLC カラムに注入する前に水で 1:1 に希釈しました。これにより、蒸発乾固および再溶解のステップを回避できました。

最終的なサンプル前処理プロトコル
図 2.  最終的なサンプル前処理プロトコル

クロマトグラフィー分離は、ACQUITY UPLC BEH C18 2.1 × 50 mm カラムを装着した ACQUITY UPLC システムで行いました。3 分間の 0.5% NH4OH 含有水/メタノールのリニアグラジエントを用いました。検出には Xevo TQD を使用しました。

結果および考察

食品サンプルの分析では一般に、食品マトリックスからの対象分析種の抽出に関連して大きな分析上の課題があります。定量分析用の質の高い抽出物を得るためには、複数の抽出手法を組み合わせて使用する必要がある場合があります。さらに、頑健な定量的 LC-MS/MS アッセイの要件は、マトリックス効果を評価して可能な限り最小限に抑えることです。マトリックス効果の影響としては、ピークの歪みやシグナルの抑制/増強などが挙げられます。

したがって、適切な抽出手法の開発とマトリックス効果の評価は、時間と労力のかかる作業になる場合があります。メソッド開発のプロセスを通じて重要な情報を提供するツールがあれば、開発プロセスのステップを減らし、ラボの効率を向上させるのに役立てることができます。これらの情報は、選択したメソッドが頑健であることを保証するためにも使用できます。このアプリケーションノートでは、このプロセスに役立つ RADAR とマトリックスカリキュレーターという 2 つのツールについて説明します。

RADAR

RADAR は、フルスキャン MS データの取り込みと MRM トランジションを同時に行える Xevo タンデム四重極質量分析計の独自の機能です。この機能により、メソッド開発プロセスにおいて、十分な情報に基づいた決定を行うことができます。乳児用調製粉乳および離乳食中のビスフェノール A の分析において、これら 2 つのツールを使用して、メソッド開発プロセス全体にわたるメソッドの頑健性およびマトリックス効果を評価しました。このアプリケーションノートでは、これらのツールの使用例とともに、最終的なメソッドを用いてスパイク済みサンプルについて得られた分析結果を紹介します。図 3 に、2 種類のプロトコルで得られた乳児用調製粉乳抽出物の RADAR(フルスキャン)トータルイオンカレントクロマトグラムを示します。各クロマトグラムの挿入図に、対応する抽出物の写真を示しています。クロマトグラム A は、除タンパクとそれに続く Oasis HLB カートリッジによる固相抽出(SPE)のみを使用して得た抽出物からのものです。フルスキャン TIC クロマトグラムで見られるように、クロマトグラムには複数の潜在的な干渉があります。挿入図の写真は、このサンプル前処理後の抽出物が白濁していることを示しています。

2 種類の抽出プロトコルを使用して乳児用調製粉乳から得た抽出物の RADAR TIC クロマトグラム
図 3.  2 種類の抽出プロトコルを使用して乳児用調製粉乳から得た抽出物の RADAR TIC クロマトグラム

クロマトグラム B は、図 2 に示すように、固相抽出(SPE)ステップの前に QuEChERS プロトコルを組み込んで得られた抽出物に対応します。RADAR クロマトグラムから分かるように、干渉が低減しています。挿入図から、抽出物が透明であることもわかります。

マトリックスカリキュレーター

TargetLynx アプリケーションマネージャー内のツールのマトリックスカリキュレーターは、特定の分析種の定量分析に対するマトリックスの影響を評価するための簡単なプロトコルを提供します。RADAR から得られる定性的情報とマトリックス係数に関する計算を組み合わせることで、メソッド開発において有用な詳細情報が得られます。マトリックス効果は、クリーンな抽出済みレファレンス中とマトリックス抽出物中における、対象分析種および内部標準のレスポンス比を測定することによって算出されます。今回紹介するアプリケーションでは、蒸留水をレファレンスとして選択しました。計算値 1.0 は、分析においてマトリックス効果が検出されなかったことを示します。抽出物が 1.0 より低い値を示す場合、イオン化抑制が示唆されます。1.0 より大きい値はシグナル増強を示します。

マトリックスカリキュレーターの使用については、アプリケーションノート 720003580enを参照してください。 図 4 に、乳児用調製粉乳中の BPA についてマトリックスカリキュレーターで得られた結果のスクリーンショットの例を示します。

このアプリケーションノートでは、固相抽出(SPE)プロトコルのみを使用した乳児用調製粉乳サンプルにおける BPA、BPB、BPE のマトリックス値の測定値はそれぞれ 0.89、0.72、0.86 でした。図 2 に概要を示したサンプル抽出プロトコルでは、乳児用調製粉乳のマトリックス値は、BPA について 1.05、BPB について 0.95、BPE について 1.04 と、正味の改善を示しました。図 4 に、IS を使用した場合と使用しない場合の結果を示します。IS を使用しない場合、マトリックス係数は 1.05、%CV は 4.5 と算出され、有意なマトリックス効果がないことが示されました。IS を使用して算出されたマトリックス係数も、1.0 に近い値を示しています。

RADAR とマトリックスカリキュレーターの組み合わせにより、メソッド開発手順について明確な洞察が得られ、有意な観察結果に基づく複数のステップからなる抽出プロトコルの使用につながりました。

乳児用調製粉乳中のビスフェノール A の分析における TargetLynx マトリックスカリキュレーターのスクリーンショット
図 4.  乳児用調製粉乳中のビスフェノール A の分析における TargetLynx マトリックスカリキュレーターのスクリーンショット

定量分析

複数のステップからなる抽出プロトコルの定量性能を評価するため、メーカーの指示に従って再溶解した乳児用調製粉乳に、ビスフェノール A、B、E をスパイクしました。BPA、BPB、BPE を、裏ごしいんげん豆の離乳食にもスパイクしました。図 5 および 6 に、それぞれ 1 ppb になるようにスパイクした乳児用調製粉乳および離乳食の MRM クロマトグラムを示します。乳児用調製粉乳では透明な抽出物が得られ、得られた MRM クロマトグラムには、干渉がほとんどない安定したベースラインが見られました。いんげん豆の離乳食のサンプルでは、最終抽出物は淡緑色でしたが、これは緑色野菜に含まれるクロロフィル色素に由来する可能性が高いと考えられます。

1 ppb のスパイクを行った乳児用調製粉乳抽出物で得られた MRM クロマトグラム
図 5.  1 ppb のスパイクを行った乳児用調製粉乳抽出物で得られた MRM クロマトグラム
1 ppb のスパイクを行った離乳食抽出物で得られた MRM クロマトグラム
図 6.  1 ppb のスパイクを行った離乳食抽出物で得られた MRM クロマトグラム

図 7 に、乳児用調製粉乳にスパイクした BPA についての抽出検量線の例を示します。各濃度レベルを乳児用調製乳中に繰り返しで調製し、抽出を行いました。乳児用調製粉乳中の BPA についての 0.5 ppb ~ 20.0 ppb の検量線は、R2 値が 0.996 の直線的なレスポンスを示しました。乳児用調製粉乳および離乳食中の他のビスフェノールについても、同様の結果が得られました。

乳児用調製粉乳に 0.5 ~ 10 ppb の濃度でスパイクした BPA の抽出検量線。
図 7.  乳児用調製粉乳に 0.5 ~ 10 ppb の濃度でスパイクした BPA の抽出検量線

乳児用調製粉乳(10 ppb スパイク)および離乳食(20 ppb スパイク)中の BPA、BPB、BPE の回収率を表 2 に示します。食品アプリケーションの場合、80% ~ 120% の範囲の回収率が許容可能と考えられます7,8。したがって、乳児用調製粉乳と離乳食の両方について報告された回収率から、この複数のステップからなるサンプル抽出プロトコルが適していることが確認されました。

乳児用調製粉乳および裏ごしいんげん豆にスパイクした BPA、BPB、BPE について算出された回収率および RSD(n = 3)
表 2.  乳児用調製粉乳および裏ごしいんげん豆にスパイクした BPA、BPB、BPE について算出された回収率および RSD(n = 3)

結論

食品サンプルの分析において、微量レベルの混入物質の検出を目的とする場合は、頑健な抽出プロトコルが必須です。このアプリケーションノートでは、調製粉乳および離乳食中の BPA、BPB、BPE の分析における Xevo TQD 質量分析計の汎用性を実証しています。RADAR 機能と TargetLynx マトリックスカリキュレーターは、メソッド開発において非常に有用なツールであることが証明されました。これらの新機能によって重要な情報が得られました。これらを使用してメソッド開発を最適化し、複数のステップからなる抽出メソッドを正しく開発することができました。最終的なメソッドでは、両方の食品マトリックスにおいて優れた直線性と回収率が得られました。ACQUITY UPLC BEH C18 カラムではビスフェノールが強く保持されていたため、最後のメタノール抽出物を水で 1:1 の比に希釈するだけで、蒸発乾固および再溶解のステップを回避できました。この機能と、全体の分析時間が 5 分以内であることから、乳児用食品中のビスフェノール A、B、E の分析に用いることができる迅速なメソッドとなります。このメソッドは、ポリカーボネートやエポキシ樹脂と接触する可能性のある他の食品に拡張できる可能性があります。

参考文献

  1. U.S. Food and Drug Administration, Update on Bisphenol A for Use in Food Contact Applications.January 15, 2010.
  2. Official Journal of the European Union, Commission Directive 2011/8/EU on the restriction of use of Bisphenol A in plastic infant feeding bottles.January 28, 2011.
  3. Gallart-Ayala, H, Moyano, E, Galceran, M T. Analytical Chimica Acta. 683: 227-233, 2011.
  4. Chen, M Y, Ike, M, Fujita, M. Environ Toxicol.17 : 80, 2002.
  5. Anastassiades, M, Lehotay, S J, Tajnbaher, D, Schenck, F J. J. AOAC Int. 86: 412-431, 2003.
  6. Twohig, M, Mather, J, Hooper, A. TargetLynx Matrix Calculator: A Tool for Robust Analytical Methods Development.Waters Application Note no.720003580en.
  7. De Bievre, The fitness for purpose of analytical methods, a laboratory guide to method validation and related topics. EURACHEM guidance document, October 2004.
  8. Food and Drug Administration, ORA Laboratory Procedure: “Methods, Method Verification and Validation”.(Volume II), Document no.ORA-LAB.5.4.5, v. 1.5, 2009 (available at www.fda.gov/ScienceResearch/FieldScience/ucm171877.htm)

720004192JA、2012 年 1 月

トップに戻る トップに戻る