• Application Note

Waters Premier Standards to Investigate the Inertness of Chromatographic Surfaces

Waters Premier Standards to Investigate the Inertness of Chromatographic Surfaces

  • Amit Patel
  • Jennifer Simeone
  • Mathew Delano
  • Jason Dyke
  • Susan C. Rzewuski
  • Moon Chul Jung
  • Stephen J. Shiner
  • Waters Corporation

Abstract

Ensuring that instruments are in proper working order is a critical aspect of making any analytical measurement. Failure to confirm system suitability can lead to uncertainty in results and incorrectly formed conclusions. Evaluating system suitability for analytes that are challenging to handle, separate, and measure requires special considerations. Analytes with a propensity to chelate to metals are one such class of molecules. To better facilitate separations of these types of molecules, Waters has designed the ACQUITY Premier System and MaxPeak Premier Columns to have chromatographic surfaces based on hybrid silica instead of metal or metal alloy surfaces. When adopting MaxPeak Premier instruments, or attempting to make do with workarounds, analysts should consider test approaches that would report on their system’s inertness to metal sensitive compounds. To this end, two test standards have been developed. Chemically, a nucleotide would be a useful test probe, however, they are subject to hydrolysis. As an alternative, we have made use of a non-hydrolyzable analog of adenosine diphosphate (ADP) to improve shelf life and solution stability of the standard. This molecule is adenosine 5’-(α,β-methylene)diphosphate (AMPcP) and is formulated as an AMPcP-only standard, as well as an equimolar mixture of AMPcP and adenosine.

Each type of standard was used to characterize the extent of metal interaction on both the ACQUITY Premier and ACQUITY UPLC H-Class PLUS Bio systems. Two different test approaches were used to successfully demonstrate the attenuation of metal-binding in the inert ACQUITY Premier System when compared to the standard ACQUITY UPLC H-Class PLUS Bio System. Specifically, the AMPcP standard showed more reproducible recovery upon injection through the sample flowpath. Peak area RSD from five repeat injections decreased from 20% to 0.2% upon switching from an ACQUITY UPLC H-Class PLUS Bio System to an ACQUITY Premier System. Additionally, replicate injections of AMPcP and caffeine with an ACQUITY Premier System partially configured with HPS readily identified exposed metal surfaces through increased peak area relative standard deviation as well as a reduction in the peak area ratio (of AMPcP relative to caffeine). Increases in absolute peak area and improvements in peak shape were also observed. With respect to the AMPcP and adenosine standard and testing via a chromatographic separation, it was also found that the ACQUITY Premier System provided significantly higher peak area ratios for AMPcP/adenosine and thus higher recoveries of metal-sensitive analytes. 

Benefits

  • MaxPeak High Performance Surfaces (HPS) improve recovery and peak shape of metal sensitive analytes
  • Waters Premier Standards used as quality control reference materials (QCRMs) with potential system suitability techniques for inert LC instruments
  • Improved certainty in results for historically problematic metal sensitive analytes

Introduction

Routine use of system suitability testing provides confidence in the accuracy of any analytical measurement. In the case of a liquid chromatograph coupled with a UV detector, a system suitability test would typically confirm proper pump function (e.g., ability to deliver the desired gradient and flow rate), autosampler function (e.g., ability to deliver specified volume of sample precisely), detector function (e.g., ability to collect UV absorbance at one or more selected wavelengths with acceptable baseline), and overall system integrity (e.g., free of leaks, pressure spikes, and unacceptably high noise). Such confirmations are critical for the generation of reliable data and are required across industry and government labs.

One approach to system suitability, which is often used, is the analysis of a quality control reference material (QCRM). For example, one could analyze a multicomponent mixture prior to analysis of a critical sample or material. Preparation of a custom mixture that contains analytes of interest for the intended analysis is a common approach for evaluating system readiness. These measurements can then be referenced against anticipated results or previous results as a means of confirming proper system performance.

The evaluation of system suitability for the analysis of compounds that are known or suspected to bind to metals is inherently more complicated than for non-interacting analytes. Use of QCRMs that do not contain metal sensitive compounds would not help characterize the degree to which exposed metals in an LC system have been masked or removed. One attractive option that addresses the noted concerns is the use of metal-sensitive probe compounds demonstrated to readily detect exposed metals in LC flowpaths, including the chromatographic column and detectors. Herein, AMPcP-based Waters Premier Standards are applied as simple to implement options to investigate the inertness of LC equipment. The developed standards were assessed for effectiveness in binding metal, stability, and reproducibility of manufacture. 

Experimental

Sample Description

This work uses the Waters Premier AMPcP Standard (p/n: 186009754), Waters Premier AMPcP and Adenosine Standard (p/n: 186009755), and Caffeine Standard (p/n: 700003233). The AMPcP standard was reconstituted with 100 µL of water and 100 µL of acetonitrile, as well as a separate standard with 40 μL of water and 160 μL of acetonitrile. The AMPcP and Adenosine Standard was reconstituted with 200 µL of water. A caffeine working solution (100 μg/mL) is prepared by diluting 100 μL of the 1.000 mg/mL caffeine standard with 900 μL of 20:80 water:acetonitrile. The caffeine analysis standard (3.5 μg/mL) is then prepared by diluting 35 μL of the working caffeine solution to 1 mL with 20:80 water:acetonitrile. The 0.3% ammonium hydroxide solution is prepared from 30% concentrated solution by diluting 5 μL to 500 μL with 18.2 MΩ water in a sample vial.

Mobile Phase Preparation

IonHance Ammonium Acetate pH 6.8 Concentrate (p/n: 186009705) was used to prepare mobile phases. For Mobile phase A, dilute concentrate 1:100 with water. Mobile phase B was prepared as 4:1 mobile phase A:acetronitrile.

AMPcP No Column Method Conditions

LC Conditions

LC Systems:

ACQUITY Premier and ACQUITY UPLC H-Class PLUS Bio with Binary Solvent Management (BSM)

ACQUITY Premier modified to a partially non-HPS configuration

Detection:

TUV with 10 mm analytical flow cell: 260 nm, 20 Hz

Column(s):

Union in place of column

Column temp.:

30 °C

Sample temp.:

Ambient

Injection volume:

1 µL

Flow rate:

0.5 mL/min

Mobile phase A:

Water

Mobile phase B:

Acetonitrile

LC composition:

Experiment 1 (AMPcP only) 50:50 A:B

Experiment 2 (AMPcP and caffeine) 20:80 A:B

AMPcP/Adenosine with Column Method Conditions

LC Conditions

LC systems:

ACQUITY Premier and ACQUITY UPLC H-Class PLUS Bio with Binary Solvent Management (BSM)

Detection:

TUV with 10 mm analytical flow cell: 260 nm, 40 Hz

Column(s):

ACQUITY Premier HSS T3 Column, 1.8 µm, 2.1 mm x 50 mm (p/n: 186009467)

Column temp.:

35 °C

Sample temp.:

10 °C

Injection volume:

1 µL

Flow rate:

0.5 mL/min

Mobile phase A:

10 mM ammonium acetate in 99.8:0.2 water:acetonitrile (1:100 dilution of IonHance Concentrate)

Mobile phase B:

8 mM ammonium acetate in 79.8:20.2 water:acetonitrile

Gradient

Gradient.

Data Management

MS software:                                                                 MassLynx v4.2, SCN 1001

Results and Discussion

Historically, nucleotides have been one of the most challenging analytes to recover by LC separations. A molecule like ATP is thus a reasonable option to consider for a test probe, unfortunately, as stated above, it is susceptible to hydrolysis. A forced degradation study on a lyophilized quantity of ATP confirms this. Chromatographic testing on 40 °C-incubated samples of ATP showed considerable degradation within 10 days, indicating it could degrade in three months when stored at <0 °C (Figure 1A and 1B). For this reason, we explored the use of a non-hydrolyzable nucleotide as a test probe that shows no degradation after 69 days of incubation at 40 °C (Figure 1C and 1D). The chemical structure of this molecule, adenosine 5’-(α,β-methylene)diphosphate (AMPcP), is shown in Structure 1. AMPcP is prone to adsorption to exposed metal sites because of the electron-rich phosphate groups, which makes it an ideal probe compound for assessing exposed metal surfaces with the potential to act as binding sites. In fact, in side-by-side testing, it was found that AMPcP adsorbed to a metal frit as strongly as ATP (Figure 2). Average recoveries of 1.6% and 0.7% were found for ATP and AMPcP, respectively, when 10 serial injections of 10 ng of either compound were made with titanium frit in-line. The frit testing utilized a mobile phase of 10 mM ammonium acetate (pH 6.8) and a flow rate of 0.2 mL/min. Two formats of AMPcP-based QCRMs have been prepared, one with AMPcP only and a second as an equimolar formulation of AMPcP and adenosine. In the latter formulation, the negative control probe (adenosine) is included such that the peak areas of the two components can be compared via a ratio when a separation is applied as part of the test approach.

Stacked chromatograms.
Figure 1. AMPcP is resistant to hydrolysis. Stacked chromatograms showing an ATP standard before (1A) and after (1B) 10 days of incubation at 40 °C as compared to AMPcP before (1C) and after (1D) 69 days of incubation at 40 °C.
Plot of peak area recovery with titanium frit in-line.
Figure 2. AMPcP is as sensitive to metal adsorption as ATP. Plot of peak area recovery with titanium frit in-line, confirming equivalent or better metal sensitivity for AMPcP. Ten serial injections of ATP (Blue) were performed followed by 10 serial injections of AMPcP (Orange) at a flow rate of 0.2 mL/min with 10 mM ammonium acetate, pH 6.8 mobile phase.

In one approach to investigate LC inertness, the Waters Premier AMPcP Standard (AMPcP only) was used without a column and replicate injections were performed using a UV detector. When metal sensitive compounds are injected onto a metal-based instrument, it is common to see poor reproducibility across injections, specifically variation in peak area and peak height, as well as overall decreased analyte signal. For this reason, peak area, peak height, and %RSD of peak area (or height) can be examined to determine the presence of metal surfaces. The extent of the variability is dependent on many factors, including the specific compound being analyzed, the system history, the mobile phases, etc. Figure 3 shows replicate injections of the Waters Premier AMPcP Standard on the ACQUITY Premier System versus an ACQUITY UPLC H-Class PLUS Bio System equipped with all new flow path tubing. 

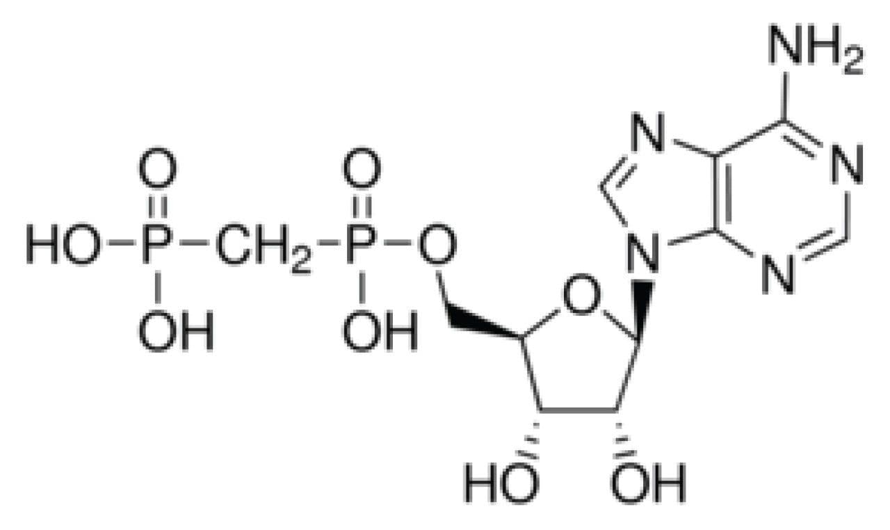
Adenosine 5’-(α,β-methylene)diphosphate (AMPcP).
Adenosine 5’-(α,β-methylene)diphosphate (AMPcP).
Overlay of six replicate injections of 1 µL of AMPcP.
Figure 3. Overlay of six replicate injections of 1 µL of AMPcP on an ACQUITY Premier System (top) and six replicate injections of 1 µL of AMPcP on an ACQUITY UPLC H-Class PLUS Bio System (bottom). 

As predicted, there is a significant decrease in peak area (48%) and peak height (47%) when AMPcP is injected onto a metal flow path. Additionally, the peak area RSD for the metal-based biocompatible system was 6.4%, whereas the peak area RSD was only 0.4% for the inert ACQUITY Premier System. This improved peak area reproducibility observed in the ACQUITY Premier System stems from the reduction in metal interactions. Systems with exposed metal surfaces also result in increasing peak areas during repeated injections, as metal-interacting analytes adsorb to exposed metal surfaces, partially screening them, and leading to greater recoveries of subsequent measurements. Accordingly, systems with exposed metal surfaces are subject to greater variability and reduced control of analyte recovery. These effects are evident in Figure 4, where the ACQUITY Premier System was partially equipped with HPS parts. Analysis was completed of four replicate injections of AMPcP and four replicate injections of caffeine after six replicate injections of 0.3% ammonia (aq). It was realized that ammonium hydroxide injections can baseline system history effects for improved effectiveness with the system suitability and troubleshooting check. Additionally, AMPcP sensitivity to exposed metal surfaces was made more pronounced by increasing the organic (ACN) content in the mobile phase to 80%. These measurements identified the exposed metal surfaces from an increase in peak area relative standard deviation from AMPcP from 1.6% to 8.0%. Furthermore, the caffeine relative standard deviation did not show a notable change, where it was found to be 0.5% under both conditions. Moreover, a notable change in peak was observed, where the peak area ratio (AMPcP relative to caffeine) was reduced from 0.98 to 0.42) with the introduction of non-HPS system components. This example highlights not only the benefit of using an inert LC system, but also the importance of having an injection standard that can be used to determine suitability of a system prior to sample analysis for metal sensitive compounds.

Overlay of four replicate injections of AMPcP and caffeine standards.
Figure 4. Overlay of four replicate injections of AMPcP and caffeine standards on an ACQUITY Premier System with fully (top) and partially (bottom) HPS system components. The AMPcP traces are colored in the cooler colors (blue, green, and teal) and the caffeine traces are colored in warmer colors (purple, red, and pink). Conditions: flow rate of 0.5 mL/min of 20% 18.2 MΩ Water/80% Acetonitrile (v/v), 30 °C. AMPcP and caffeine replicates were analyzed after six replicate injections of 0.3% ammonium hydroxide (aq) and two minutes of equilibration with the stated mobile phase and flow rate.

In addition to evaluating the readiness of a system with a metal sensitive compound, there are other benefits to using a system suitability sample that contains a non-metal sensitive compound. Adenosine has the same base molecular structure as AMPcP but lacks any phosphate moiety that would adsorb to metal surfaces. Therefore, adenosine can be used to evaluate the overall health and performance of the system, while the AMPcP can be used to assess any potential for metal binding. In other words, adenosine acts as a structurally similar negative control compound. In the example below, replicate injections of the combined AMPcP/adenosine sample were injected onto an ACQUITY Premier System and an ACQUITY UPLC H-Class PLUS Bio System that contains a biocompatible flow path comprised mainly of titanium and MP35N (Figure 5). The sample contains an equimolar amount of each component, consequently equivalent peak areas would be expected in LC-UV measurements in the absence of losses to system adsorption. The peak area ratio of AMPcP to adenosine would be found to be less than 1.0 for systems with exposed metal surfaces. No detection of AMPcP, while still detecting adenosine, indicates excessive exposed metal in the sample flowpath. The measurement of adenosine rules out lack of signal relating to a different cause, such as a failed injection or improper sample preparation.

Overlay of five replicate injections of AMPcP and Adenosine Standard.
Figure 5. Overlay of five replicate injections of AMPcP and Adenosine Standard on an ACQUITY Premier System (top) and five replicate injections on an ACQUITY UPLC H-Class PLUS Bio System (bottom).

As predicted, these results show a significant increase in peak area for AMPcP (16%) when comparing the inert ACQUITY Premier System to the metal-containing biocompatible system. In contrast, the non-metal sensitive compound adenosine shows comparable peak areas on the two systems, with a difference of only 1%. The adenosine peak gives very reproducible retention times and peak areas, thus indicating that the performance of the system components (pump, autosampler, injector, and detector) are all functioning properly. This shows the ability of the combined sample to highlight any potential for metal adsorption and to help give a quick indication of overall LC performance.

Conclusion

Confirming that instruments are properly functioning is a critical aspect of any analytical measurement. System suitability testing helps add certainty to results. In this work, we demonstrated the ability to assess the inertness of the recently introduced ACQUITY Premier System, which has been designed to eliminate metal-analyte secondary interaction. For this, a non-hydrolyzable analog of ADP, known as AMPcP, has been used in the form of new Waters Premier Standards. The highly stable molecule has been formulated into the Waters Premier AMPcP Standard as well as the Waters Premier AMPcP and Adenosine Standard. Upon using the AMPcP-only standard with a series of no column injections, it was possible to observe more consistent recoveries from the ACQUITY Premier System versus a metal alloy-based ACQUITY UPLC H-Class PLUS Bio System. The ability to pair the AMPcP-only standard with a caffeine standard as a negative control was also demonstrated, where the method successfully identified metal exposure in an ACQUITY Premier System where some exposed metal surfaces were intentionally incorporated. Meanwhile, with a chromatographic separation using an ACQUITY Premier Column and the Waters Premier AMPcP and Adenosine Standard, it was possible to detect differences in relative recovery between the two types of LC instruments. These examples of improved performance for AMPcP measurement demonstrate the benefits ACQUITY Premier technology will bring to analyses of other compounds that interact with metals.

References

  1. Lauber, M.; Walter, T. H.; Gilar, M.; DeLano, M.; Boissel, C.; Smith, K.; Birdsall, R.; Rainville, P.; Belanger, J.; and Wyndham, K. Low Adsorption HPLC Columns Based on MaxPeak High Performance Surfaces. Waters Application Note, 2020, 720006930EN.

Acknowledgements

The authors would like to acknowledge Koley Hall for the manufacturing of the Waters Premier Standards. We would also like to thank Baiba Cabovska, Kim Haynes, and Jim Karafilidis for reviewing and editing this work.

720007105, Revised March 2021

Back To Top Back To Top