• Application Note

Rapid Analysis of 25 Common Polymer Additives

Rapid Analysis of 25 Common Polymer Additives

  • Peter J. Lee
  • Alice J. Di Gioia
  • Waters Corporation
Colorful PVC pipes

Abstract

Most commonly, the analysis of polymer additives in a final product is performed using solvent extraction followed by high performance liquid chromatography. For QC, additive analysis can sometimes be performed in the uncured resin. Typical analysis time using conventional HPLC is approximately 20 to 40 minutes.14-19 This Technical Note describes a 3.5 minute run time method for characterizing 25 common polymer additives using ACQUITY TQD System. TargetLynx Application Manager was set up to automate quantification.

This note illustrates application of the bench top tandem quadrupole mass spectrometer in full scan and multiple reaction monitoring (MRM) modes. An MS detector operated in full scan mode adds particular value when handling unknown polymer samples such as in competitive product analysis and patent infringement assessment. The benefit of constructing an MS/MS library for unambiguous identification of polymer additives as well as rapidly screening and quantifying targeted additives from complex standard mixtures is illustrated.

This single technique meets the requirements of a rapid, easy, unambiguous test when any combination of 25 common additives must be examined. The capability of using one methodology can facilitate workflow at QC labs, assist in competitive product deformulation, product troubleshooting, additive migration tests, and regulatory compliance. The testing method may help manufacturers avoid product recalls and liability litigation while protecting public health.

Introduction

Polymer additives are used to process and improve plastic product properties. The growth of plastic products around the world and concerns for their safe use and re-use have increased the demand for rapid and accurate analysis of additives in plastics, food, serum, and the environment.1-5

For product quality control, it is important to quantify additives and identify decomposition components to avoid product failure.6-10 Using recycled plastics safely in food contact applications requires assessing residual polymer additive content11 because additives and degradants can potentially migrate into food. Some additives have been linked with endocrine disruption raising health concerns when plastics are used for food packaging, medical devices, and toys.12,13 The European Union Directive (2007/19/EC) regulates polymer additives in plastics used for food packaging. In the United States, California limits the concentration of certain phthalate additives in toys and child care articles (2007 October AB1108).

Most commonly, the analysis of polymer additives in a final product is performed using solvent extraction followed by high performance liquid chromatography. For QC, additive analysis can sometimes be performed in the uncured resin. 

Typical analysis time using conventional HPLC is approximately  20 to 40 minutes.14-19 This Technical Note describes a 3.5 minute run time method for characterizing 25 common polymer additives using Waters ACQUITY UPLC TQD System. TargetLynx  Application Manager was set up to automate quantification. 

This note illustrates application of the bench top tandem quadrupole mass spectrometer in full scan and MRM modes. An MS detector operated in full scan mode adds particular value when handling unknown polymer samples such as in competitive product analysis and patent infringement assessment. The benefit of constructing an MS/MS library for unambiguous identification of polymer additives as well as rapidly screening and quantifying targeted additives from complex standard mixtures is illustrated. 

This single technique meets the requirements of a rapid, easy, unambiguous test when any combination of 25 common additives must be examined. The capability of using one methodology can facilitate workflow at QC labs, assist in competitive product  deformulation, product troubleshooting, additive migration  

tests, and regulatory compliance. The testing method may help manufacturers avoid product recalls and liability litigation while protecting public health. 

Chemical structures of polymer additives.
Figure 1. Chemical structures of polymer additives.

Experimental

Sample Preparation

Analytes are Phthalic acid dimethyl ester 1, [131-11-3]; Phthalic acid bis(2-methoxyethyl) ester 2, [117-82-8]; Phthalic acid diethyl ester 3, [84-66-2]; Lowilite-20 4, [131-57-7]; Phthalic acid dipropyl ester 5, [131-16-8]; Tinuvin-P 6, [2440-22-4]; Phthalic acid diisobutyl ester 7, [84-69-5]; Phthalic acid di-n-butyl ester 8, [84-74-2]; n-butyl Phthalyl n-butyl glycolate 9, [85-70-1]; Phthalic acid benzyl n-butyl ester 10, [85-68-7]; Phthalic acid di-n-amyl ester 11, [131-18-0]; Lowinox-TBM6 12, [96-69-5]; Phthalic acid dicyclohexyl ester 13, [84-61-7]; Phthalic acid di-n-hexyl ester 14, [84-75-3]; Stearamide 15, [124-26-5]; Chimassorb-81 16, [1843-05-6]; Phthalic acid di(2-ethylhexyl) ester 17, [117-81-7]; Phthalic acid di-n-octyl ester 18, [117-84-0]; Tinuvin-328 19, [25973-55-1]; Tinuvin-326 20, [3896-11-5]; Irganox-1035 21, [41484-35-9]; Irganox-PS-800 22, [123-28-4]; Irganox-1330 23, [1709-70-2]; Irgafos-168 24, [31570-04-4]; and Lowilite-36 25, [103597-45-1]. 1-14, 16-18, and 21 were dissolved in CH3CN to make 2 mg/mL stock solution. 15 was dissolved in isopropanol to make 2 mg/mL stock solution. 22 was dissolved in acetone to make 2 mg/mL stock solution. 19-20 and 23-25 were dissolved in toluene to make 2 mg/mL stock solution. The stock solutions were mixed and diluted with CH3CN to make a working solution of the 25 polymer additives containing 60 ppm of 1-3, 5, 7 and 8; 20 ppm of 4, 6, 9-14, 16-18 and 21; 10 ppm 23 and 25; 6 ppm 15, 19, 20, and 22; 4 ppm 24 for full scan experiments. The working solution was further diluted with CH3CN for MRM experiments.

UPLC conditions

LC system: 

ACQUITY UPLC/TQD Mass Spectrometer

Software: 

MassLynx v.4.1

Weak & strong wash: 

CH3CN (600 μL)

Seal wash: 

90:10 Water: CH3CN (5 min)

Column temp: 

60 °C

Injection: 

2 μL (full loop)

Column: 

ACQUITY UPLC BEH Phenyl 2.1 x 50 mm

Mobile phase A: 

H2O

Mobile phase B: 

CH3OH

Gradient method

Flow Rate:

0.8 mL/min

Time (min)

%B

Curve

0.0

40.0

2.7

100.0

6.0

3.5

100.0

6.0

Inlet pre-run

Flow rate:

0.8 mL/min

Time (min)

%B

Curve

0.0

100.0

0.5

40.0

11.0

3.0

40.0

11.0

TQD instrument tune page conditions

IonSABRE APCI Probe

Ionization mode: 

APCI positive & APCI negative

Corona (μA): 

5.0 -5.0

Cone voltage: 

+30 V -30 V

Extractor: 

+3 V -3 V

Source temp: 

150 ˚C

APCI Probe temp: 

500 ˚C

Desolvation gas: 

900 L/Hr

Cone gas : 

20 L/Hr

Acquisition range: 

180-800 m/z

For full scan mode, the second quadrupole MS2 was tuned to unit resolution and used for data acquisition. For product ion scan mode, the mass resolution was tuned so that the precursor ion was resolved with a peak width at half height of 0.8 Da and product ions at half height of 0.6 Da. The product ion scan parameters, cone voltage, and collision energy for each polymer additives are listed in Table 1. For multiple reaction monitoring (MRM) scans, the mass resolution was adjusted so that the precursor and product ions were resolved with a peak width at half height of 0.85 Da. IntelliStart Technology was used to optimize MRM scan parameters. Appendix 1 lists the MRM scan parameters for each polymer additive. Two MRM transitions were obtained for each additive; the primary transition was used for quantification and the secondary one was used for confirmation pur-poses. TargetLynx Application Manager was used for data processing.

Results and Discussion

The chemical structures of polymer additives (1-25) in Figure 1 include plasticizers, light stabilizers, UV absorbers, antioxidants, heat stabilizers, slip, and mold release agents. These are commonly used to process and improve the performance of products made with the following polymer resins: PVC, ABS, PC, PE, PP, Acrylics, Polyacetal, Polyamides, Polyesters, Polystyrene, Polyurethanes, Elastomers, and Rubbers. 

ACQUITY UPLC provides high separation efficiency, sensitivity and speed, and the rapid scanning (10,000 amu/sec) and polarity switching (20 msec) functions of the ACQUITY TQD mass spectrometer allow detection of narrow peaks and provide both positive and negative mass spectra for chemical structure information in a single run. A blend of 25 polymer additives was separated in 3.5 minutes run time using a ACQUITY UPLC BEH Phenyl 2.1 x 50 mm Column. Figure 2 shows the total ion chromatograms (TIC) of positive and negative atmospheric pressure chemical ionization (APCI) scans. 

10 polymer additives (4, 6, 12, 16, 19-21, 23-25) were detected by both positive and negative APCI scans while the remaining 15 were observed with only positive APCI scan. In positive APCI scan, 21 and 23 were severely fragmented and pseudomolecular ions were barely recognizable. In negative APCI scan, almost no fragmentation occurs for pseudomolecular ions of 21 and 23, allowing identification with a high degree of confidence. An initial MS full scan provides rapid assessment of polymer additives in the analysis of unknowns in competitive polymer samples or troubleshooting product failures. 

Table 1 lists peak ID, retention time, and m/z of the polymer additives. The high resolution power of UPLC/TQD and the unique chemistry of BEH phenyl column baseline resolved the polymer additives with the exception of 4 and 5  which co-eluted in peak d;, 9 and 10 in peak h; 11 and 12 in peak i, and 19; and 20 in peak p. 

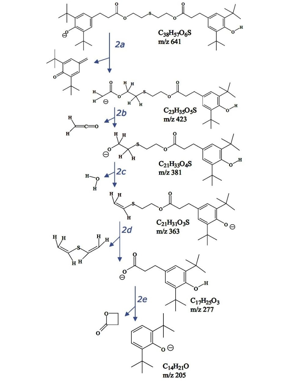
The ACQUITY TQD Mass Spectrometer enables determination of the most discriminating information for compound elucidation, molecular weight, and structural information so that co-eluted non-isomeric additives can be easily analyzed. Figures 3 and 4 show the extracted positive-ion mass spectra of peak p and peak i. The mass spectrum in Figure 3 has two peaks with m/z values of 352 and 358 which match well with the theoretical pseudomolecular ions of 19 and 20. The mass spectrum in Figure 4 has several peaks. Using product ion and precursor ion scan functions of the TQD, the mass spectrum can be interpreted: m/z 219 is a CID fragment ion of pseudomolecular ion 11 (m/z, 307), and m/z 195 is a fragment ion of 12 (m/z, 359). 

It is critical to have isomeric components chromatographically resolved for qualitative and quantitative analysis by LC-MS. The isomers 7-8 and 17-18 are well separated into four peaks f, g, n and o. Figure 5 shows the extracted positive-ion mass spectra of peak n and peak o. Each spectrum has two peaks, with the same pseudomolecular ion m/z 391. Product ion and precursor ion scan data confirm that m/z 279 is a CID fragmented ion of 17 while m/z 261 is a fragment ion of 18

TIC chromatograms of a mixture of 25 polymer additives: positive and negative APCI full scans.
Figure 2. TIC chromatograms of a mixture of 25 polymer additives: positive and negative APCI full scans.

Product ion scan parameters

Peak ID

Polymer additives

Retention time

[M+H]+

[M-H]-

Cone voltage (V)

Collision energy (eV)

a

1.0

0.52

195.0

30.0

7.0

b

2.0

0.62

283.0

14.0

6.0

c

3.0

0.82

223.0

12.0

7.0

d

4.0

1.21

229.0

227.0

30.0

15.0

d

5.0

1.22

251.0

18.0

7.0

e

6.0

1.45

226.0

224.0

30.0

17.0

f

7.0

1.51

279.0

20.0

7.0

g

8.0

1.56

279.0

20.0

7.0

h

9.0

1.6

337.0

20.0

6.0

h

10.0

1.62

313.0

20.0

7.0

i

11.0

1.84

307.0

20.0

7.0

i

12.0

1.84

359.0

357.0

30.0

15.0

j

13.0

1.87

331.0

20.0

9.0

k

14.0

2.05

335.0

20.0

8.0

l

15.0

2.13

284.0

30.0

25.0

m

16.0

2.23

327.0

325.0

30.0

17.0

n

17.0

2.3

391.0

20.0

8.0

o

18.0

2.35

391.0

20.0

8.0

p

19.0

2.41

352.0

350.0

30.0

22.0

p

20.0

2.43

358.0

356.0

30.0

22.0

q

21.0

2.49

643.0

641.0

40-

27-

r

22.0

2.71

515.0

30.0

12.0

s

23.0

2.81

775.0

773.0

45-

55-

t

24.0

2.85

647.0

645.0

30.0

35.0

u

25.0

2.9

659.0

657.0

30.0

19.0

Table 1. Product ion scan parameters, retention times, and m/z of polymer additives.

Figures 6A-Y show product ion MS-MS spectra of the polymer additives. Each polymer additive spectrum has a unique product ion pattern. Although phthalates 7 and 8 are isomers, they have quite  different fragmentation patterns. Figure 6G shows that 7 has two additional product ion peaks (m/z 223 and 57) which are not observed in 8 (Figure 6H). Figures 6Q and 6R show that the phthalate isomers 17 and 18 also have very different product ion patterns. This indicates the usefulness of applying polymer additive libraries with product ion spectrum using UPLC/TQD data, molecular weight, and retention time for unequivocal identification of unknown samples. 

Positive ion mass spectra of Peak p
Figure 3. Positive ion mass spectra of Peak p, (19, and 20).
Positive ion mass spectra of Peak i
Figure 4. Positive ion mass spectra of Peak i, (11, and 12).
Positive ion mass spectra of peak n and o
Figure 5. Positive ion mass spectra of peak n and o, (17, and 18).

The APCI MS-MS spectra of polymer additives can be interpreted using common fragmentation mechanisms of even-electron ions. For example, Schemes 1 and 2 elucidate the fragmentation path-ways of pseudomolecular ions 17 and 21 for their major product ions. Using similar procedures, the fragmentation pathways of other polymer additives can also be elucidated (Figures 6A-Y). 

Proposed MS-MS fragmentation pathway of 17 [M+H] + adduct ion for the  major product ions in figure 6Q: 1A.
Scheme 1. Proposed MS-MS fragmentation pathway of 17 [M+H] + adduct ion for the  major product ions in figure 6Q: 1A. single bond cleavage with charge migration / alcohol loss, 1B. single bond cleavage with charge migration / neutral loss, 1C. multiple cleavages with charge retention / alkene loss, 1D. H-rearrangement, multiple cleavages with charge retention / alkene loss, 1E. cyclization/ water loss, 1F. and 1G. H-rearrange-ment, multiple cleavages with charge retention / alkene loss.
Product ion MS-MS spectra of polymer additives.
Figure 6A-I. Product ion MS-MS spectra of polymer additives.
Product ion MS-MS spectra of polymer additives.
Figure 6J-Q. Product ion MS-MS spectra of polymer additives.
Product ion MS-MS spectra of polymer additives.
Figure 6R-Y. Product ion MS-MS spectra of polymer additives.

To rapidly screen and quantify known or target analytes from  complex samples, the multiple reaction monitoring (MRM) scan function of the TQD mass spectrometer is typically used. The ACQUITY TQD incorporates IntelliStart technology for automatic system set-up as well as auto-tune functionality for optimizing MRM scan parameters. This provides an approachable interface for non-expert users to carry out MS-MS experiments with optimum operational performance. Appendix 1 contains two MRM transitions and typical scan parameters for each of the 25 polymer additives. Two MRM transitions were monitored for each additive. If two MRM transitions are chosen, then confirmation can be performed in a single run with quantification, assuming that the ion ratio between the two transitions is consistent for standards and samples. 

Proposed MS-MS fragmentation pathway of 21 [M-H]- adduct ion for the  major product ions in figure 6Q: 2A. and 2B.
Scheme 2. Proposed MS-MS fragmentation pathway of 21 [M-H]- adduct ion for the  major product ions in figure 6Q: 2A. and 2B. Single bond cleavage with charge  migration / neutral loss, 2C. H-rearrangement, multiple cleavages with charge  retention / water loss, 2D. Multiple cleavages with charge retention / alkene loss,  H-rearrangement, 2E. Cyclization with charge migration / H-rearrangement.

The primary transition was used for quantification and the second-ary one for confirmation. TargetLynx Application Manager Software was set up to automatically process data and report quantitative results including the ion ratio of the two MRM transitions for each additive. Figure 7 shows a typical TargetLynx browser display. This example shows the MRM transition chromatograms of  dicyclohexyl phthalate, 13 (20 pg/µL) with a calibration curve (5 pg/µL to 625 pg/µL). The correlation coefficient of the calibration curve is > 0.9998. 

MRM transition chromatograms of dicyclohexyl phthalate 13 (20 pg/µL) and calibration curve.
Figure 7. MRM transition chromatograms of dicyclohexyl phthalate 13 (20 pg/µL) and calibration curve.

Conclusion

Waters ACQUITY UPLC TQD System is ideal for analyzing polymer additives in complex samples. With the methodology provided here, an analyst can screen, identify, and routinely quantify 25 common polymer additives at ppb levels. The run time is seven times faster and consumes nine times less solvent than conventional HPLC systems.1,2,5,13,18 The technology is robust and user friendly, making it easy to implement in labs with expert and non-expert users alike. Automating result reports with TargetLynx can further enable rapid screening and quantitation of regulated and non-regulated addi-tives. This is suitable for multiple environments including contract analytical labs, polymer product labs, government agencies, medical device, and food packaging manufacturers. The ACQUITY UPLC TQD can help you obtain answers whenever it is important to analyze known or unknown polymer additives. 

References

  1. H-Y Shen, Talanta. 66: 734-739, 2005.
  2. K Kato, Anal. Chem. 77: 2985-2991, 2005.
  3. R Noguerol-Cal, et al., J. Sep. Sci. 30: 2452-2459, 2007.
  4. P J Lee, et al, ACQUITY UPLC/SQD Analysis of Polymer Additives. Waters Application Note No. 720002378EN , 2007.
  5. A M Calafat et al, J Chromatogr B. 805: 49-56, 2004.
  6. C Block, et al, Polymer Degradation and Stability, 91: 3163-3173, 2006.
  7. S T Hsiao, et al, J Chin Chem Soc. 48: 1017-1027, 2001.
  8. P J Lee, et al, ACQUITY UPLC with PDA and ELS Detection: Polymer Additives, Waters Application Note No. 720001881EN, 2006.
  9. P J Lee, et al, ACQUITY UPLC/PDA: UV FIlter Agents and Preservatives, Waters Application Note No. 720001770EN , 2006.
  10. K Yu, et al, LCGC. 18: 162-178, 2000.
  11. K Bentayeb, et al, Anal. Bioanal. Chem. 388: 1031-1038, 2007.
  12. B Hileman, C & EN. v.83, n.46, 32-36, 2005.
  13. J-F Jen et al., J. Chromatogr A. 1130: 28-33, 2006.
  14. L Coulier, et al, J. Chromatogr A. 1062: 227-238, 2005.
  15. D Munteanu, et al, Chromatographia.23: 7-14, 1987.
  16. M Ashraf-khorassani et al, J. Chromatogr A. 995: 227-232, 2003.
  17. J-M Plankeele, et al, The Utility of Evaporative Light Scattering Technique in Polymer Additive Detection, Waters, Application Note No. 72000959EN, 2004.
  18. S. Bullock, LC-GC, The Application Notebook, February, 51, 2006.
  19. X. Li, et al., Talanta, 63, 1013-1019, 2004.

Appendix

MRM scan parameters for polymer additives
Appendix 1. MRM scan parameters for polymer additives.

720002488, March 2008

Back To Top Back To Top