• Application Note

Analysis of Legacy and Emerging Perfluorinated Alkyl Substances (PFAS) in Environmental Water Samples Using Solid Phase Extraction (SPE) and LC-MS/MS

Analysis of Legacy and Emerging Perfluorinated Alkyl Substances (PFAS) in Environmental Water Samples Using Solid Phase Extraction (SPE) and LC-MS/MS

  • Kari L. Organtini
  • Kenneth J. Rosnack
  • Douglas Stevens
  • Euan Ross
  • Waters Corporation

Abstract

Following the guidance of ISO 25101, achieve detection limits with this method on the Xevo TQ-S micro in compliance with the necessary action levels set by the European Framework Directive and the U.S. EPA health advisory. Analysis of environmental water samples can be accomplished for both legacy and emerging PFASs. The method described in this application note is robust and has been applied to the analysis of a various range of environmental water samples including surface, ground, and waste waters.

Benefits

Performing SPE sample preparation of water samples using the ISO 25101 method for PFAS analysis provides:

  • Highly sensitive analysis using the Xevo TQ-S micro
  • Detection limits in the low to sub- ng/L range to meet regulatory requirements
  • A robust and reliable solution for monitoring PFAS compounds in environmental water matrices

Introduction

Perfluoroalkyl substances (PFAS) are a group of persistent and bioaccumulative anthropogenic pollutants that are common to consumer and industrial processes. They are introduced to the environment through a variety of sources ranging from industrial manufacturing of non-stick coatings to their use in firefighting foams. While this group of compounds encompasses thousands of unique compounds, most advisories currently focus on the two most commonly known, PFOS and PFOA. While there currently are no legal requirements for monitoring of PFASs globally, many countries worldwide do recommend they be monitored at some level. In the United States, the U.S. EPA has set an advisory limit of 70 ng/L (ppt) of total PFOS and PFOA;1 while in Europe, the European Water Framework Directive has singled out PFOS and its derivatives. The Water Framework Directive is an environmental quality standard and advises an annual average value of 0.65 ng/L for inland surface waters.2

To reach detection limits low enough to satisfy advisories, either a highly sensitive mass spectrometer is required, or sample preparation that allows for sample enrichment must be employed. The first option was discussed in a previous application note utilizing the ASTM 7979 procedure with the Xevo TQ-XS.3 This application note will detail the second approach using SPE extraction to enrich water samples with analysis performed on Waters Xevo TQ-S micro. Methodology was adapted from ISO 25101 which was written for analysis of PFOS and PFOA in environmental water samples.4 Both approaches are valid options and it depends on a laboratory’s resources and testing needs as to which method should be considered.

Experimental

The ISO 25101 method was utilized as a guideline for the sample preparation methodology used for this analysis. Currently, ISO 25101 covers the extraction and analysis of only PFOA and PFOS. For this method, an extended list of PFAS compounds were considered and added. Appendix A contains information on all of the PFAS compounds analyzed in this method, together with a subset of emerging compounds being used to replace the legacy PFAS compounds, including GenX. All standards were obtained from Wellington Laboratories (Guelph, Ontario).

A Certified QC Standard (cat no.: 731) from ERA (Golden, CO), for use with ground and surface waters, was utilized as an instrumental QC check throughout the analysis. The standard contained a mix of 12 PFAS compounds. Certified values and QC Performance Acceptance Limits for each compound in the mix are provided with the standard, making instrumental QC evaluation quick and straightforward. 

Due to widespread use of PFAS substances there are many common sources of potential contamination to the analysis. Since required detection limits are in the low- to sub-ng/L, care must be taken during sample collection, preparation, and analysis. Considering there are many common sources of PFAS contamination in the field and laboratory, it is recommended that any laboratory supplies to be used for this analysis be checked for PFAS contamination before use, as is practical. Contamination is also unavoidable from the chromatographic system. Therefore steps should be taken to minimize any system contribution, and as such, the Waters PFC Analysis Kit (p/n: 176001744) for the UPLC system was utilized. The kit is comprised of PFAS-free components (such as PEEK tubing to replace the conventional Teflon coated solvent lines) and an isolator column that helps to delay any residual background interferences from co-eluting with the analytical peak. Installation of the PFC Analysis Kit is straightforward and quick.5 In addition, special mobile phase solvents from Honeywell (Muskegon, MI) were used that were bottled in a manner to reduce residual background PFAS levels. 

Sample preparation

Standards were prepared as a mix in methanol and calibration standards were appropriately diluted into 1:1 water:methanol  to match the final solvent composition of the samples.

Environmental water samples were collected from various sources including surface water, ground water, influent  waste water, and effluent waste water. The surface water and ground water samples were collected locally. Waste water samples were provided by Dr. David Reckhow (University of Massachusetts, Amherst). Samples were collected into  pre-washed 250 mL HDPE bottles. A blank of each sample  was retained for extraction and the remaining samples were spiked with various levels of PFAS compounds and corresponding isotopically labeled standards. The isotope labeled internal standards were utilized to correct for matrix effects as well as any recovery losses from sample preparation.

Sample extraction was performed using ISO 25101 as a guideline with minor method adjustments to accommodate the extended list of PFAS compounds. Oasis WAX 6 cc, 150 mg SPE Cartridges (p/n: 186002493) were used for the sample extraction of 250 mL water samples. The full method for sample preparation is outlined in Figure 1. This method provides a sample enrichment factor of 250×.

Figure 1. Full method details of SPE sample extraction for water samples.
Figure 1. Full method details of SPE sample extraction for water samples.

LC conditions

LC system:

ACQUITY UPLC I-Class PLUS fitted with the PFC Analysis Kit

Column:

ACQUITY UPLC BEH C18 2.1 x 100 mm, 1.7 μm

Column temp.:

35 °C

Sample temp.:

10 °C

Injection volume:

10 μL

Mobile phase A:

95:5 Water:methanol + 2 mM ammonium acetate

Mobile phase B:

Methanol + 2 mM ammonium acetate

Gradient

Time (min)

Flow rate (mL/min)

%A

%B

0

0.3

100

0

1

0.3

80

20

6

0.3

55

45

13

0.3

20

80

14

0.4

5

95

17

0.4

5

95

18

0.3

100

0

22

0.3

100

0

MS conditions

MS system:

Xevo TQ-S micro

Ionization mode:

ESI -

Capillary voltage:

0.5 kV

Desolvation temp.:

350 °C

Desolvation gas flow:

900 L/hr

Cone gas flow:

100 L/hr

Source temp.:

100 °C

Method events:

Divert flow to waste from 16 to 21 minutes

MRM parameters for each compound were optimized using the QuanOptimize tool in MassLynx Software and are listed in Appendix A.

Results and Discussion

Instrument Performance and Detection Limits

The LC-MS/MS method utilized was fit for purpose for the determination of a range of PFAS compounds of interest. An overlay chromatogram showing the chromatography of all the compounds is shown in Figure 2. Peak shape of the early eluting compounds suffer from slight broadening due to the significant difference in solvent composition between the starting LC gradient and sample.

Figure 2. Overlay of all PFAS compounds analyzed in the method.
Figure 2. Overlay of all PFAS compounds analyzed in the method.

Detection limits can be seen for all compounds in Table 1. Due to the concentration enhancement provided from the sample preparation procedure, the detection limits are reported as both in-vial and in-sample (250-fold lower than vial concentration) limits. For the most part, in-sample detection limits were sub-ng/L (ppt), reaching to the pg/L (ppq) levels. A few of the less water soluble compounds had ng/L (ppt) detection limits. The detection limits detailed in Table 1 are suitable for current requirements for PFAS testing.

Calibration was very linear over several orders of magnitude for all compounds. An example of a typical solvent calibration curve can be seen in Figure 3, showing an example for PFOA, along with a chromatogram of PFOA at its detection limit.

During sample analysis, the ERA standard was used as a QC for instrument performance. The instrument performed within the designated Acceptance Limits for all compounds. The average error from the certified values was 15%, although many were below 10% error.

Table 1. Detection limits in vial and sample for all PFAS compounds.

Table 1. Detection limits in vial and sample for all PFAS compounds. 

*The true detection limit for 6:2 FTS cannot be determined due to contamination. 

The concentration listed here as the LOD signifies the approximate contamination level.

Figure 3. Demonstration of the linearity and sensitivity of PFOA showing calibration curve and peak at the detection limit of 0.008 ng/L compared to a blank.
Figure 3. Demonstration of the linearity and sensitivity of PFOA showing calibration curve and peak at the detection limit of 0.008 ng/L compared to a blank.

Sample Preparation Performance

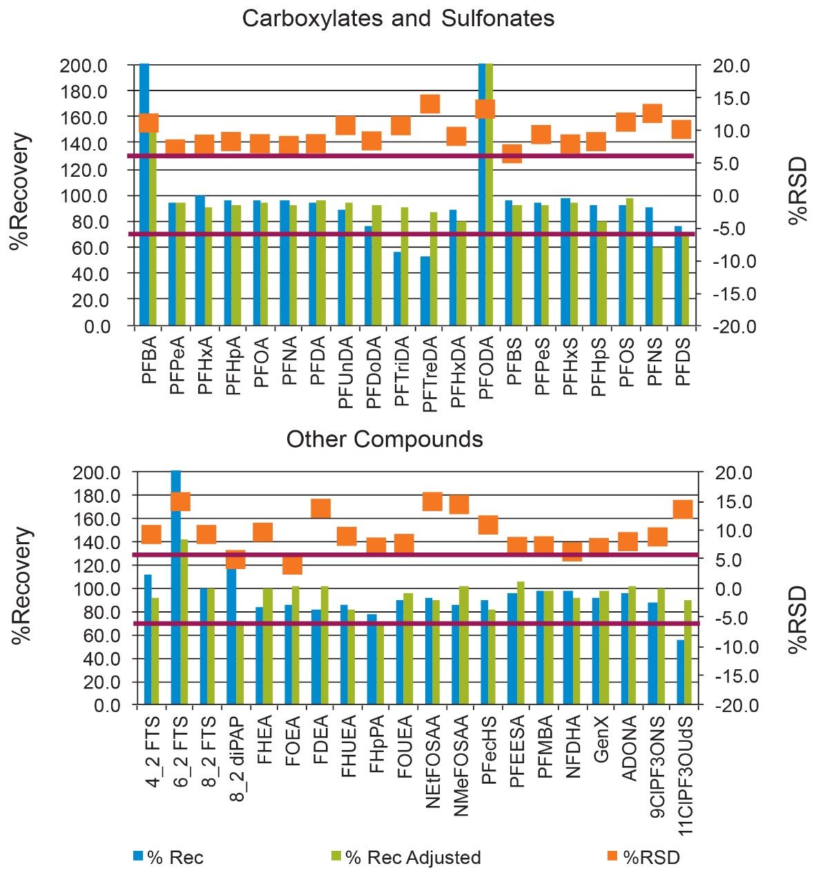
Overall performance of the sample preparation method can be summarized in the recovery values highlighted in Figure 4. A majority of the PFAS compounds fell within the recovery range of 75% to 130%. A few compounds had lower recoveries, including the C13 and C14 (PFTriDA and PFTreDA) carboxylates, as well as one of the emerging PFAS compounds, 11ClPF3OUdS. PFTriDA and PFTreDA are known to be less water soluble than the smaller chain PFCAs (perfluorinated carboxylic acids). Adjusting the final sample’s solvent composition could be investigated to achieve better recoveries, but the impact to the remaining compounds must be evaluated. Also, a few compounds exhibited very high recovery rates, including PFBA, 6:2 FTS, and PFODA. PFBA and 6:2 FTS have been determined to be common contaminant compounds in the laboratory where the sample analysis was performed. Source(s) of the contamination was investigated but has not yet been able to be determined. PFODA appears to experience a matrix stabilization effect, and this was reported in a prior application note.3 Use of the isotope labeled internal standards to correct for loss through sample prep improves the accuracy further, as demonstrated by the green bars in Figure 4.

Repeatability of the method was assessed from the analysis of six replicates of ground water spiked with the PFASs. The orange squares in Figure 4 represent the %RSD of the six replicates of ground water taken through the entire sample preparation method and analysis. All PFASs  had a %RSD below 15%, with most being below 10%. This indicates the sample analysis method is reproducible. 

Figure 4. Method recovery (blue bars/left axis) and method reproducibility (orange squares/right axis) for all PFAS compounds covered in method. The adjusted  recovery (green bars/left axis) represents the compound response corrected to its internal standard.
Figure 4. Method recovery (blue bars/left axis) and method reproducibility (orange squares/right axis) for all PFAS compounds covered in method. The adjusted  recovery (green bars/left axis) represents the compound response corrected to its internal standard.

Method Robustness

The robustness of the instrument over a series of matrix injections was evaluated  using a spiked surface water extract. 20 replicate injections were performed to assess peak area, retention time, and ion ratio stability in a complex matrix. Stability of all three parameters over 20 injections are shown in Figure 5 for PFOA. Peak area is  plotted in TrendPlot to determine the %RSD,  a peak overlay is shown to represent the  retention time is not shifting, and ion ratio data indicates the ion ratios are stable.  

In the example shown for PFOA, the %RSD of peak areas is approximately 3%. Overall, a %RSD of less than 10% was seen for all PFASs in the method.

Figure 5. Repeatability assessed by 20 replicate injections of surface water. Peak area of  PFOA for each injection is plotted in TrendPlot with an RSD of 3% (left) and the peak overlay  of replicate injections with ion ratio information (right).
Figure 5. Repeatability assessed by 20 replicate injections of surface water. Peak area of  PFOA for each injection is plotted in TrendPlot with an RSD of 3% (left) and the peak overlay  of replicate injections with ion ratio information (right).

Analysis of Environmental Water Samples

Four different types of environmental water samples were extracted and analyzed to test the described method including surface water, ground water, influent waste water, and final effluent waste water. A range of different PFASs were detected at varying concentrations in all samples. Figure 6 shows an example of a few PFASs identified in a surface water sample which include both legacy and emerging PFASs of interest. As shown in Figure 6, the identified PFASs were not present in the extraction blank and therefore can be confirmed as identified in the sample and not a from a source of background PFAS contamination. 

Figure 6. Identification of PFAS compounds in surface water sample extract (right) compared to the extraction blank (left). The blank is scaled to the surface  water peak.
Figure 6. Identification of PFAS compounds in surface water sample extract (right) compared to the extraction blank (left). The blank is scaled to the surface  water peak.

Figure 7 demonstrates the different patterns and concentrations of PFASs identified in the environmental water samples. From the list of  40 compounds screened, 27 were detected in the four samples. All samples contained both legacy and emerging PFAS compounds. Both waste water samples contained the highest levels and the largest numbers of different PFASs. Of the six PFASs detected in the ground water sample, half were emerging contaminants (PFEESA, PFMBA, and NFDHA).

Figure 7. Patterns of PFASs detected in environmental water samples grouped by concentration level.
Figure 7. Patterns of PFASs detected in environmental water samples grouped by concentration level.

Conclusion

  • Using SPE preparation of water samples provides a 250X enrichment of the sample allowing for analysis using the Xevo TQ-S micro.
  • Achievable detection limits with this method on the Xevo TQ-S micro align with the necessary action levels set by the European Framework Directive and the U.S. EPA health advisory.
  • Following the guidance of ISO 25101, analysis of environmental water samples can be accomplished for determination of both legacy and emerging PFASs.
  • The method was verified by the use of the ERA certified QC standard, enhancing confidence in results.
  • The method described is robust and has been applied to the analysis of a various range of environmental water samples including surface, ground, and waste waters.

Acknowledgements

The authors would like to acknowledge Honeywell for the productive conversations and considerations for providing the special mobile phase solvents for this work. The authors would also like to acknowledge Dr. David Reckhow and team at the University of Massachusetts, Amherst for providing waste water samples for this work.

References

  1. EPA PFOA and PFOS Drinking Water Health Advisories. Retrieved 28 November 2018.
  2. Directive 2013/39/EU of the European Parliament and of the Council of 12 August 2013. Retrieved 28 November 2018.
  3. K Organtini, G Cleland, and K Rosnack. Large Volume Direct Injection Method for the Analysis of Perfluorinated Alkyl Substances (PFAS) in Environmental Water Samples in Accordance with ASTM 7979-17. Waters Application Note no. 720006329en. June 2018.
  4. ISO 25101, Water Quality – Determination of Perfluorooctansulfonate (PFOS) and Perfluorooctanoate (PFOA) – Method for Unfiltered Samples Using Solid Phase Extraction and Liquid Chromatography/Mass Spectrometry. International Standard. 2009.
  5. L Mullin and J Burgess. Ultra Low-Level Detection of Perfluoroalkyl Substances (PFASs) Using the PFC Analysis Kit. Waters Technology Brief 720005701en. May 2016.

Appendix

Appendix 1
Appendix 1
Appendix 2
Appendix 2

 720006471, Revised November 2022

Back To Top Back To Top