• Application Note

Utilizing the SELECT SERIES Cyclic IMS for High Throughput Plasma Proteomics

Utilizing the SELECT SERIES Cyclic IMS for High Throughput Plasma Proteomics

  • Chris Hughes
  • Lee A. Gethings
  • Robert S. Plumb
  • Waters Corporation

For research use only. Not for use in diagnostic procedures.

Abstract

Prostate cancer (PCa) is the second leading cause of cancer deaths for men in the U.S. with around 1 in 9 people being diagnosed with the disease. Numerous OMIC-based studies have been conducted, proposing potential markers of the disease. In order to provide a comprehensive and statistically valid sample set, large cohorts of individuals are required to be sampled. This ultimately provides an analytical challenge, particularly for proteomic focused research, whereby nanoscale chromatography is routinely adopted. This application note demonstrates the potential for the use of high throughput strategies in proteomic profiling of plasma, derived from prostate cancer individuals, with analysis performed on the SELECT SERIES Cyclic IMS, a recent addition to the Q-Tof family of instruments.

Benefits

  • Robust and reliable high throughput analysis
  • Analytical scale chromatography
  • Ion mobility resolution
  • Mass resolution
  • Dynamic range

Introduction

Quadrupole Time-of-Flight (Q-Tof) Mass Spectrometers are a well-established tool for discovery proteomic experiments. These instruments display sensitivity, speed, and high mass resolution, which are important characteristics required for successful analysis of these challenging types of sample. The area of clinical proteomics is a rapidly growing area of research and involves the analyses of bodily fluids, for example plasma or serum. The amount of available sample is much greater than in a classical proteomics experiment although potential biomarkers of disease may be at very low levels compared to the most abundant proteins such as albumin. Plasma/sera tryptic digest hence exhibit a very wide dynamic range of peptide abundances.

This application note examines the use of analytical scale chromatography for the analysis of plasma tryptic digest samples using the SELECT SERIES Cyclic IMS, which have previously been analyzed using an alternative Q-Tof Mass Spectrometer.1 The Cyclic IMS is a recent addition to the Q-Tof family of instruments and provides enhanced sensitivity, ion mobility resolution, and mass resolution when compared to previous iterations of Q-Tof platforms.2 In addition, the Cyclic IMS exhibits extended dynamic range due to different detector characteristics, with the instrument utilizing a dual gain detection system.

Experimental

Sample Description

Eight tryptically digested, phenotypic pooled sera samples, consisting of 7 different disease states/treatments plus a QC study pool of all 7 groups were used for the analysis. The different disease state groups analyzed consisted of the following: (i) confirmed PCa patients assigned to active surveillance; (ii) confirmed PCa patients prior to therapy; (iii) brachytherapy treated PCa patients; (iv) PCa patients provided hormone therapy; (v) prostatectomy treated PCa patients; (vi) PCa patients provided combined hormone and radiotherapy treatment, and (vii) healthy controls.

LC Conditions

LC:

ACQUITY Premier System

Analytical column:

ACQUITY Premier CSH, 1.7 µm, 2.1 mm x 100 mm (p/n: 186009488)

Column temp.:

55 °C

Sample temp.:

10 °C

Flow rate:

150 µL/min

Mobile phase A:

Aqueous 0.1% formic acid

Mobile phase B:

Acetonitrile+0.1% formic acid

Gradient:

5% to 35% mobile phase B over 15 minutes

MS Conditions

MS system:

SELECT SERIES Cyclic IMS

Ionization mode:

ESI+

Mass resolution:

50,000 FWHM

Ion mobility resolution:

Single pass, 65 FWHM

Acquisition mode:

HDMSE

Acquisition mass range:

50–2000 amu

Integration time:

0.15 seconds

Reference material:

Glu Fibrinopeptide B sampled every 120 seconds

Capillary voltage:

2.2 kV

Transfer CE, function 2:

19–45 V

Cone voltage:

30 V

Data Management

MS software:

MassLynx

Data processing:

Progenesis QI for Proteomics (PQIP), Tibco Spotfire, Metaboanalyst

Databases:

Uniprot human-reviewed sequences only

False discovery rate:

1%

Results and Discussion

The study design is highlighted in Figure 1. From a cohort consisting of over 500 samples, metadata was used to group the seven phenotypic pool for the various disease states/treatments. Additionally, a study pool consisting of all seven phenotypic pools was prepared as a quality control sample. Following overnight tryptic digestion, the sample concentration was measured to be approximately 8 µg/µL. Samples were diluted by a factor of 8 and 0.5 µL (500 ng) injected on-column. Each sample was acquired in triplicate and each set of 24 injections run in a randomized manner.

Study design for the analysis of plasma pooled groups from the large cohort
Figure 1. Study design for the analysis of plasma pooled groups from the large cohort.

Figure 2 shows the typical chromatography obtained from the plasma digest samples and is an overlay of 10 chromatograms taken randomly throughout the analysis. Key to successful analysis of clinical proteomic samples, is the reproducibility and robustness of the LC-MS system.

 

 Typical analytical scale chromatography for plasma digest sample
Figure 2. Typical analytical scale chromatography for plasma digest sample.

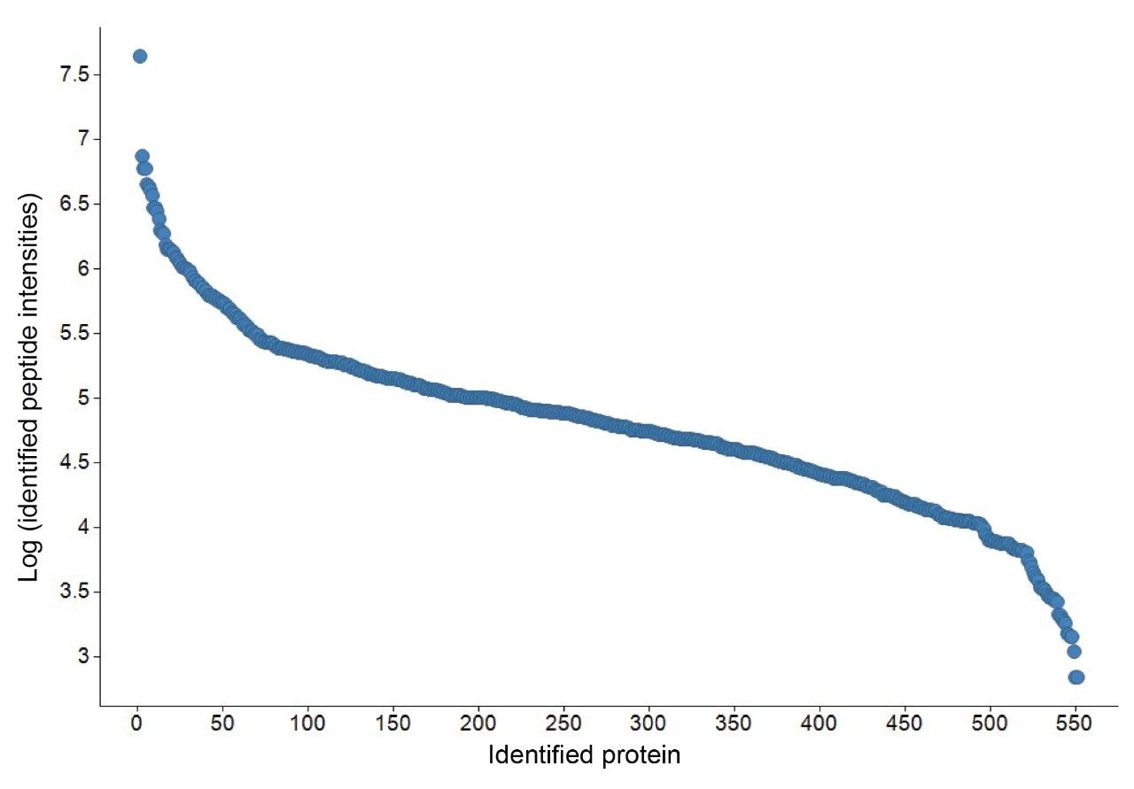
The raw data were processed using Progenesis QI for Proteomics and, by extracting processed data for five different peptides from three different proteins over the whole elution time (Figure 3), we demonstrate excellent reproducibility for retention time and signal intensity. A maximum coefficient of variance (CV) of 13% was measured for signal intensity, whilst a maximum of 0.18% CV was calculated for retention times. The 8 samples analyzed were specified in the PQIP experimental set up and it was found that 369 proteins were reproducibly quantified, Figure 4. In addition, 551 proteins were identified in at least one injection and matched peptide intensities covered nearly 5 orders of dynamic range, Figure 5. These data were exported to Metabonanalyst for additional statistical analysis. Unsupervised principal component analysis (PCA) showed clear separation between the different sample groups in the experiment, Figure 6. 

Experimental robustness displayed by extraction of retention time and intensity information for five different peptides
Figure 3. Experimental robustness displayed by extraction of retention time and intensity information for five different peptides.
PQIP protein table for the injection of 24 samples (8 sample groups x 3 injections)
Figure 4. PQIP protein table for the injection of 24 samples (8 sample groups x 3 injections).
Dynamic range of intensities of matched peptides for each protein identification
Figure 5. Dynamic range of intensities of matched peptides for each protein identification.
Metaboanalyst unsupervised PCA plot for the sample groups, showing clear separation
Figure 6. Metaboanalyst unsupervised PCA plot for the sample groups, showing clear separation.

Conclusion

Initial investigations have shown the potential for analytical chromatography scale, high throughput plasma proteomic experiments as performed on the SELECT SERIES Cyclic IMS. Excellent chromatographic performance coupled with high performance Q-Tof analysis are vital to this area of research and ACQUITY Premier System coupled to Cyclic IMS have proved to be a reliable combination. Clear separation by PCA plot between different groups of disease state or treatment has been demonstrated and suggests that analysis of a large sample cohort, similar to previous analyses, would be possible.

References

  1. Lennon et al., High-Throughput Microbore Ultra-high Performance Liquid Chromatography-Ion Mobility-Enabled-Mass Spectrometry-Based Proteomics Methodology for the Exploratory Analysis of Serum Samples from Large Cohort Studies, J Proteome Res; 20 (3):1705–1715, 2021.
  2. Chris Hughes, Lee A. Gethings, Robert S. Plumb. Qualitative and Quantitative Performance of Cyclic IMS in Nanoscale Proteomic Experiments, Waters Application Note, 720007381EN, 2021.

720007414, October 2021

Back To Top Back To Top