• Application Note

Identification of Skin Lightening Agents in Cosmetics Using UHPLC with PDA, Mass Detection, and Empower 3 Software

Identification of Skin Lightening Agents in Cosmetics Using UHPLC with PDA, Mass Detection, and Empower 3 Software

  • Marian Twohig
  • Jane Cooper
  • Chris L. Stumpf
  • Waters Corporation
Female applying eyeshadow makeup on face

Abstract

Skin lightening/whitening agents in cosmetics are often used to produce a more even skin tone, usually to the face and neck, but sometimes they can be used more extensively over larger areas of skin. These products may be marketed to consumers as either a cosmetic to improve appearance, or as a therapy to treat skin conditions (i.e. a drug).

The distinction between a cosmetic and a drug is important from a regulatory and safety perspective because, among other things, a cosmetic should not contain pharmaceutical active ingredients (AIs). Otherwise they are classified as a drug according to European Commission’s No. 1223/2009 and the US FDA’s regulations on Cosmetics.

In this application note, we investigated several cosmetic products that contained prohibited pharmaceutical active ingredients such as hydroquinone, corticosteroids, and tretinoin. Samples were extracted and analyzed on the ACQUITY Arc System equipped with a 2998 Photodiode Array (PDA) Detector and the ACQUITY QDa Mass Detector. Empower 3 Chromatography Data Software (CDS) was used for data acquisition and processing. The CORTECS Column stationary phase used in the separation contained a 2.7 μm particle designed to give maximum efficiency and exceptional retention for both polar and non-polar analytes.

Several samples tested positive for prohibited skin lightening agents. The packaging labels were often misleading, and in some cases, the skin lightening agent was not listed on the enclosed product information increasing the likelihood of improper long-term use and adverse side effects to consumers.

This method could be used in the routine analysis of cosmetics to screen for skin lightening agents to ensure that they meet regulatory and safety standards.

Benefits

  • UHPLC separations using a CORTECS T3 Column provided exceptional retention for both polar and non-polar skin lightening agents.
  • Enhanced confidence in the detection of skin whitening agents using PDA and mass detection. 
  • Ease of use with single point control data analysis and reporting via Empower 3 Chromatography Data Software.
  • Dual flow paths to emulate HPLC and UHPLC separations to aid method development and transfer. 

Introduction

Skin lightening/whitening agents in cosmetics are often used to produce a more even skin tone, usually to the face and neck, but sometimes they can be used more extensively over larger areas of skin.1-3 The products may be marketed to consumers as either a cosmetic to improve appearance, or as a therapy to treat skin conditions (i.e. a drug). The distinction between a cosmetic and a drug is important from a regulatory and safety perspective because, among other things, a cosmetic should not contain pharmaceutical active ingredients (AIs). Otherwise they are classified as a drug according to European Commission’s No. 1223/2009 and the US FDA’s regulations on Cosmetics.4,5 In this application note, we investigate misbranded cosmetics products that use pharmaceutical AIs such as hydroquinone, corticosteroids, and tretinoin despite being marketed as cosmetic products. From a safety perspective, the use of steroid ingredients is prohibited in cosmetics due to the potentially undesirable side effects that can occur without the guidance and monitoring by a medically trained professional.6-8 Hydroquinone is widely used in dermatology to treat hyperpigmentation, however, it is prohibited for use in cosmetics in the EU and several other countries.4 Hydroquinone is also prohibited at over the counter levels exceeding  

2% w/w in the US.5 Prolonged use of hydroquinone can cause permanent ochronosis which leaves the skin discolored.9-12 Corticosteroids are highly effective drugs which are used to treat inflammatory skin conditions such as eczema and psoriasis. Topical preparations are usually in the form of creams or gels. Long term use of corticosteroids can cause side effects including pustular psoriasis, permanent skin atrophy and systemic effects such as hypertension, contact dermatitis, and diabetes.6-8 Tretinoin is retinonic acid in its pharmaceutical form. It is used in the treatment of acne.

These components can still be found in cosmetics marketed as skin lightening products, due to their effectiveness.1-3 In this  study, cosmetic products were obtained from online vendors. The samples were extracted and analyzed using UHPLC with PDA and mass detection on a dual-flow path liquid chromatography system capable of emulating HPLC or UHPLC separations. The ACQUITY Arc System enables existing HPLC methods to be performed while also allowing the choice of transitioning to a UHPLC method employing 2.5 to 2.7 µm particles for higher efficiency chromatographic separations. 

The CORTECS Column stationary phase used in the separation contained a 2.7 µm particle designed to give maximum efficiency and exceptional retention for both polar and non-polar analytes. With an optimized pore size, C18 ligand density, and endcap, the CORTECS T3 phase is compatible with 100% aqueous mobile phases and provides the perfect balance of polar and non-polar analyte retention.

Several samples tested positive for prohibited skin lightening agents. The packaging labels were often misleading, and in some cases, the skin lightening agent was not listed on the enclosed product information increasing the likelihood of improper long-term use and adverse side effects to consumers. 

Empirical formulas and structures for the skin lightening agents
Figure 1. Empirical formulas and structures for the skin lightening agents analyzed in the study.

INSTRUMENTATION AND SOFTWARE

All separations were performed on the ACQUITY Arc System equipped with a 2998 Photodiode Array (PDA) Detector and the ACQUITY QDa Mass Detector. Empower 3 Chromatography Software was used for data acquisition and processing.

SAMPLE PREPARATION

The standard compounds including eight skin lightening agents (Figure 1) and four parabens were dissolved in methanol and sequentially diluted to prepare the spiking solutions. Although parabens are not skin whitening ingredients, they were included in this study because parabens are often used as microbial inhibitors and are commonly found in cosmetic products.13 Matrix matched curves were prepared using blank cream or gel cosmetics bases obtained from Making Cosmetics Inc. (Snoqualmie, WA, USA). An aliquot (1 g) of the matrices (cream/gel) were weighed into 15 mL centrifuge tubes and spiked with 100 µL of acetonitrile spiking solutions. The mixture was initially vortex mixed and then shaken (Eberbach hand motion shaker 500 rpm) for 10 minutes  to equilibrate the spiked analytes. A volume of acetonitrile (4.9 mL) was added and the samples were shaken again for 25 minutes. The samples were then centrifuged at 3000 rpm for 10 minutes. An aliquot of the supernatant was syringe filtered using a 0.2-µm PVDF filter and placed in a vial in preparation for sample analysis. The cosmetics samples (1 g) were extracted in the same way using 5 mL of acetonitrile in the extraction step.

Experimental

UHPLC method

UHPLC system:

ACQUITY Arc

Separation mode:

Gradient

Column:

CORTECS T3, 2.7 µm, 3.0 x 100 mm

Solvent A:

0.1% formic acid in water

Solvent B:

Methanol

Flow rate:

0.80 mL/min

Column temp.:

30 °C

Injection volume:

0.5 to 2 µL

Detector:

2998 Photodiode Array (PDA)

PDA detection:

210 to 400 nm

Gradient:

0 min 0% B, 0.5 min 0% B, 2.2 min 2% B, 6.0 min 95% B, 8.0 min 99% B, 9.0 min 99% B, return to initial conditions

MS conditions

MS system:

ACQUITY QDa

Ionization mode:

ESI+ and/or ESI-

Capillary voltage:

1.0 kV (+); 0.8 kV (-)

Cone voltage:

10 V

Desolvation temp.:

600 °C

Source temp.:

150 °C

MS scan range:

100 to 600 m/z

Sampling rate:

5 Hz

Results and Discussion

Figure 2 shows the chromatogram resulting from the separation of a standard mix of 12 compounds encountered during the study using the ACQUITY Arc System with PDA detection. An Empower 3 processing method was developed to identify the analytes using the retention times (tR) of the standard compounds which were determined experimentally. Four parabens, which are frequently used as preservatives, were detected in many of the cosmetics samples analyzed (Figure 2, peaks 4, 6, 7, 8).13 

ACQUITY Arc UV chromatogram at 254 nm resulting from the separation of a standard mixture of compounds
Figure 2. ACQUITY Arc UV chromatogram at 254 nm resulting from the separation of a standard mixture of compounds encountered during the study using a CORTECS T3 Column, 1 µL injection.

Clobetasol propionate identified in a cosmetic sample

Figure 3 (bottom) shows the chromatogram resulting from the separation of the extracted whitening gel sample which was obtained from an internet vendor in the US. The sample was found to contain arbutin, the corticosteroid clobetasol propionate as well as four parabens, which were labeled using the Empower 3 processing method. The tR of the peaks matched with those in the authentic standard (Figure 3 top).

ACQUITY Arc chromatogram resulting from the separation of a skin whitening gel sample
Figure 3. ACQUITY Arc chromatogram resulting from the separation of a skin whitening gel sample (bottom) at 254 nm using a CORTECS T3 Column. Standard compounds for tR matching are also shown (top), 100 µg/mL, 0.5 µL injection. Clobetasol propionate in the sample is indicated by the arrow.

The inclusion of mass detection in addition to the PDA provided complementary information to the analysis. Figure 4 shows a comparison of both the UV and mass spectrum for clobetasol propionate in the gel sample and in the standard. Clobetasol propionate, with an [M+H]+ corresponding to m/z 467, and the component identified as clobetasol propionate by the Empower 3 processing method share the same m/z. The isotopic pattern reflects the chlorine present in the chemical structure providing extra confirmation and increased confidence in the identification. The UV and mass spectra were identical in both the standard and the sample. The product label on the cosmetic sample did not declare the presence of the clobetasol.

Comparison of the PDA and mass spectra for the clobetasol propionate
Figure 4. Comparison of the PDA and mass spectra for the clobetasol propionate in the standard and the sample. The same UV spectra, m/z, and isotopic patterns indicating the presence of chlorine were observed.

Quantitation

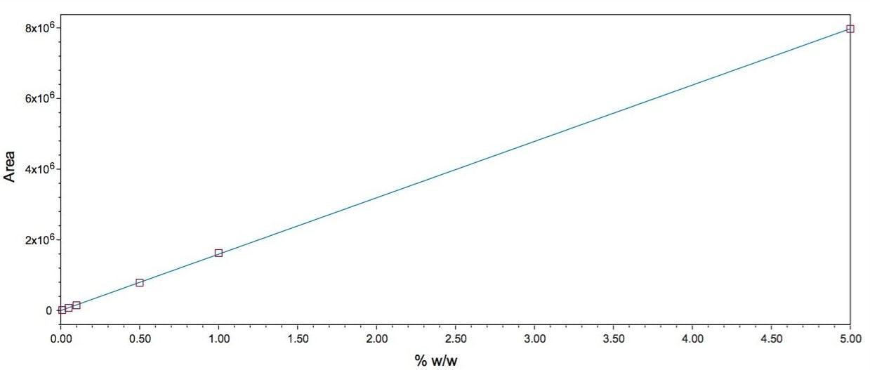
The selected skin lightening agents were pre-spiked into blank cream and/or gel cosmetics bases and extracted using the procedure detailed in the Experimental section in order to create matrix matched quantitative standards. The recoveries of clobetasol propionate and arbutin from the gel matrix were in excess of 93%, and the recoveries of betamethasone 17-valerate, hydroquinine, and tretinoin from the cream matrix were in excess of 98%. The matrix matched calibration curves (R2 >0.999), were used to quantify the six samples analyzed (Table 1) with the 2D UV channels recorded (Arbutin = 280 nm; Clobetasol propionate, betamethasone 17-valerate and betamethasone 21-valerate = 238 nm; Hydroquinone = 290 nm; Tretinoin = 352 nm. An example of the calibration curve obtained from the cream matrix spiked with hydroquinone is shown in Figure 5. 

Cosmetic cream matrix-matched calibration curve for hydroquinone
Figure 5. Cosmetic cream matrix-matched calibration curve for hydroquinone 0.01 to 5% w/w.

The results in Table 1 show that the levels of most components detected in the samples were within the typical usage level for  the AI.2 The NS sample was diluted 1:1 to bring the detected hydroquinone into the calibration range of 0.01 to 5%. The results  in Table 1 show that clobetasol propionate was detected in a whitening cream sample as well as the whitening gel. The samples MJ-1 and MJ-2 were obtained from an internet shop in the US. This product is marketed as one of a number of skin treatments to be used together in order to provide optimum lightening effects. Hydroquinone, betamethasone 17-valerate, and tretinoin were detected in the MJ-1 sample. The second treatment MJ-2 contained betamethasone 17-valerate and its structural isomer betamethasone 21-valerate as well as tretinoin.

Summary of the quantitation results for selected skin lightening compounds
Table 1. Summary of the quantitation results for selected skin lightening compounds in the samples and the typical usage concentrations.2

Conclusion

This study of cosmetics available for purchase from online vendors in the United States shows that these products contain corticosteroids and tretinoin which are both prohibited for use in cosmetics in the EU and the US. The steroidal components were detected in four of the samples analyzed. Quantified amounts were frequently in the typical usage range or above. 

Hydroquinone was detected in three samples at >3% w/w which violated both EU and US regulations.

In some of the samples analyzed, the presence of the active ingredients was not declared on the label or the enclosed product information. Inaccurate or insufficient labeling of the cosmetics products increases the likelihood of adverse side effects, as cosmetics are usually used over long periods of time with no medical supervision.

This study was aided by the use of the ACQUITY Arc System which provides increased flexibility for chromatographic separations, and maximized productivity by accommodating 3.0 µm to 5 µm particles for HPLC methods, while also supporting rapid and efficient UHPLC separations using 2.5 to 2.7 µm particles. 

In order to ensure optimal chromatographic performance on the ACQUITY Arc System, the CORTECS T3 Column, which is designed to give maximum efficiency and exceptional retention for both polar and non-polar analytes, was used to facilitate a single analysis for a wide range of the skin lightening agents and parabens. 

To ensure data integrity, an Empower 3 processing method, developed  with standard compounds was used in the identification and quantitation of the test compounds. 

Empower 3 Sofware’s UV and MS spectral matching capabilities were  used to confirm the identifications of skin lightening ingredients in the samples analyzed. The addition of mass detection as a complementary analytical detection technique enhances confidence in compound  detection and identification. 

Finally, the described methodology could be used in the routine analysis of cosmetics to screen for skin lightening agents to ensure that they meet regulatory and safety standards.

References

  1. Desmedt B, Courselle P, De Beer J O, Rogiers V, Deconinck E, De Paepe K. Illegal cosmetics on the EU market: a threat for human health? Arch Toxicol. 88:1765–1766, 2014.
  2. Desmedt B, Van Hoeck E, Rogiers V, Courselle P, De Beer J O, De Paepe K, Deconinck E. Characterisation of suspected illegal skin whitening cosmetics. J Pharm Biomed Anal. 90:85-91, 2014.
  3. Desmedt B, Courselle P, De Beer J O, Rogiers V, Grosber M, Deconinck E, De Paepe K. Overview of skin whitening agents with an INSIGHT into the illegal cosmetic market in Europe. JEADV, 30: 943–950, 2016.
  4. EU Regulation 1223/2009 [accessed on July 25th 2016].
  5. FDA: Hydroquinone Studies Under The National Toxicology Program (NTP). [accessed on July 25th 2016].
  6. Fiori J, Andrisane V. LC-MS Method for the Simultaneous Determination of Glucocorticoids in Pharmaceutical Formulations and Counterfeit Cosmetics Products. J Pharm Biomed Anal. 91:185–192, 2014.
  7. Sik Nam Y, Kwon K I, Lee K B. Monitoring of Clobetasol Propionate andBetamethasone Dipropionate as Undeclared Steroids in Cosmetic Products Manufactured in Korea. Forensic Sci Intl. 210:144–148, 2011.
  8. Gimeno P, Maggio A F, Bancilhon M, Lassu N, Gornes H, Brenier C, Lempereur L. HPLC–UV Method for the Identification and Screening of Hydroquinone, Ethers of Hydroquinone and Corticosteroids Possibly Used as Skin-Whitening Agents in Illicit Cosmetic Products. J Chrom Sci. 54, 3: 343–352, 2016.
  9. Olumide Y M, Akinkugbe A O, Altraide D, Mohammed, T. Ahamefule N, Ayanlowo S, Onyekonwu C, Essen N. Complications of chronic use of skin lightening cosmetics. Intl J Dermatology. 47: 344–353, 2008.
  10. Westerhof W, Kooyers T J. Hydroquinone and its analogues in dermatology – a potential health risk. J Cosmetic Dermatology. 4:55–59, 2005.
  11. McGregor D. Hydroquinone: An Evaluation of the Human Risks from its Carcinogenic and Mutagenic Properties. Critical Reviews in Toxicology. 37:10, 887–914, 2007.
  12. Al-Saleh I. Potential Health Consequences of Applying Mercury Containing Skin Lightening Creams During Pregnancy and Lactation Periods. Intl J Hygiene and Environmental Health. 219:468–474, 2016.
  13. Cabaleiro N, de la Calle I, Bendicho C, Lavilla I. An overview of sample preparation for the determination of parabens in cosmetics. Trends in Analytical Chemistry. 57:34–46, 2014.

 720005813, November 2016

Back To Top Back To Top