• Application Note

Analysis of Per- and Polyfluoroalkyl Substances (PFAS) in Animal Products with an Enhanced Sensitivity LC-MS/MS Method using Fish Reference Materials as a Case Study

Analysis of Per- and Polyfluoroalkyl Substances (PFAS) in Animal Products with an Enhanced Sensitivity LC-MS/MS Method using Fish Reference Materials as a Case Study

  • Stuart Adams
  • Nicola Dreolin
  • Kari L. Organtini
  • Peter Hancock
  • Waters Corporation

Abstract

PFAS has been detected in complex food commodities such as fish, meat, and other foods of animal origin. A previously developed method using alkaline digestion and extraction with Weak Anion Exchange (WAX) SPE was utilized to generate a suitable extract for analysis on an ACQUITY™ Premier UPLC™ System coupled to a Xevo™ TQ Absolute Tandem Quadrupole Mass Spectrometer. The UPLC method was updated to be more time efficient whilst still resolving known contaminants in food samples of animal origin (cholic acids). UniSpray™ was evaluated as a suitable, more sensitive alternative to electrospray ionization, where in almost all PFAS studied, gave an increase of at least three times response (peak area) and 1.5 times increase in signal-to-noise ratio. Instrument sensitivity based on solvent standards indicates estimated method limits of quantification to be 0.025 µg/kg for all PFAS except PFBA (estimated 0.05 µg/kg). Overall method performance was assessed using two Fapas fish PFAS reference materials with overall recoveries for the PFOS, PFOA, PFNA, PFHxS to be between 86 to 118% within the tolerances set in the EURL POPs PFAS method guidance document. Internal standard recoveries were all between 80–120% (except for FTreDA which experienced matrix enhancement). Overall, the method performance assessed using reference materials gives results that in almost all cases meets or exceeds the method performance requirements set out in the EURL POPs PFAS Guidance document with estimated limits of quantification at 0.025 µg/kg or lower from PFAS analytes that are recovered from the extraction.

Benefits

  • Improved time efficiency, versus the previous UPLC method, reduces sample analysis time (50% time reduce in LC run) and separates known interferents for PFOS in food samples of animal origin
  • Improved sensitivity with UniSpray ionization for PFAS analytes which allows for a reduced injection volume and reduced matrix load on the LC-MS/MS System
  • Increased confidence in results with the new Isolator Column and the PFAS Kit for UPLC modification to minimize possible system and solvent contaminants

Introduction

Per- and Polyfluoroalkyl Substances (PFAS) have been a growing concern in recent years, and not just limited to environmental contamination. It has been recognized that dietary intake is a significant route for exposure for human populations. In 2020 the European Food Safety Authority (EFSA) identified fish, meat, eggs, and fruit/fruit products that contribute most to human exposure through diet during the study period of 2007–2018. From this study, EFSA set a recommended tolerable weekly intake (TWI) of 4.4 ng per kg of body weight for a total of four PFAS: PFOA, PFNA, PFHxS, and PFOS.1

More recently in 2022 the European Union (EU) amended legislation regarding PFAS maximum residue levels in certain food samples of animal origin.2 This also included regulation on sampling and analysis of PFAS in food.3 There was also a recommendation released in 2022 outlining which PFAS should be analysed and additional PFAS that are of interest to analyzes,3 many of which we have been previously reported in published application notes.In 2022 the EURL POPs released guidance for PFAS methods which had more detailed information on expected method performance and limits of quantification.5,6

A comprehensive data set for the alkaline extraction and SPE clean-up of 30 common PFAS from food of animal origin was presented and discussed in a previous application note.4 The focus of this study was to demonstrate increased sensitivity and reduced analysis time that can be achieved using an ACQUITY Premier UPLC System modified with an updated Isolator Column and PFAS kit coupled to a Xevo TQ Absolute Tandem Quadrupole Mass Spectrometer with a UniSpray ionization source.

Experimental

Sample Preparation

Homogenized blank white fish, fish QC Material (T0696QC) and fish reference material (TBK011RM) were purchased from Fapas® (UK). All samples were stored in a freezer (-20 °C) and thawed in a refrigerator (4 °C) overnight prior to extraction. All standards were purchased from Wellington Laboratories. The method contained a total of 30 PFAS including the following compounds: Carboxylates: C4–C14; Sulfonates: C4–C10; Ethers: GenX, ADONA, 9Cl-PF3ONS, 11Cl-PF3OUdS; Precursors: FBSA, FHxSA, FOSA, NMeFOSAA, NEtFOSAA, 4:2 FTS, 6:2 FTS, 8:2 FTS.

Prior to extraction, 2 g sample was weighed into a 50 mL centrifuge tube and spiked with extraction standard (MPFAC-24ES and M3-HFPODA). 10 mL methanol containing 0.02 M sodium hydroxide was added to each sample. Samples were shaken for one hour using a platform shaker set at 500 RPM. After shaking, samples were centrifuged for ten minutes at 4000 RPM at 4 °C. Following extraction, 0.5 mL of supernatant was diluted in 14.5 mL water in preparation for solid phase extraction (SPE) using Oasis™ WAX for PFAS, 6 cc, 150 mg Cartridges (p/n: 186009345). To adjust the pH of the sample before SPE, 4 µL of 50% formic acid (aq) was added to all samples. The full SPE procedure is detailed in steps 2–5 of Figure 1.

A solvent calibration curve in the range of 0.005–1 ng/mL (equivalent to 0.025–5 µg/kg) was used for sample analysis.

Procedure for SPE clean-up of extracts. Steps denoted with (*) indicate the solvent used in this step should be used to rinse the sample tube prior to the step being performed
Figure 1. Procedure for SPE clean-up of extracts. Steps denoted with (*) indicate the solvent used in this step should be used to rinse the sample tube prior to the step being performed.

Labelled Standards

The extraction standard (often referred to as internal standard) was spiked in the samples prior to sample preparation (at 1 µg/kg) and used to correct the native compounds for recovery and matrix effects. The injection standard (often referred to as recovery standard) was added to the sample after clean-up when the sample was reconstituted and used to correct the extraction standards for reconstitution variations, matrix effects, and injection variation (equivalent to 1 µg/kg). With the presence of the extraction and injection standards, matrix matching was not necessary for routine sample analysis. This approach has been discussed in a previously published application note.7

Unispray to Electrospray Ionization Comparision

Data sets generated for this purpose were carried out on the same LC-MS/MS System, analysed with the same mobile phase, calibration standards, and sample extracts. Runs were completed within 24 hours of each other. This was to reduce any system-to-system variation, slight variation in mobile phase composition, and any changes in response that could affect the results sets generated.

Method Performance Assessment

An estimation of the instrument detection limit was performed over the calibration range 0.005–1 ng/mL using solvent standards due to problems obtaining clean “PFAS free” fish samples. Overall method performance was assessed using two Fapas materials of white fish where five replicates were extracted for T0696QC and four replicates for TBK011RM. The results for these replicates were then assessed against criteria set out in the EURL POPs PFAS guidance document.5

LC Conditions

LC system:

ACQUITY Premier UPLC with PFAS Analysis Kit

Vials:

Polypropylene autosampler vial (p/n: 186005219) with pre-slit cap (p/n: 186000305)

Analytical column:

ACQUITY Premier UPLC BEH™ C18, 2.1 x 50 mm, 1.7 µm (p/n: 186009452)

Isolator column:

Atlantis™ Premier BEH C18 AX Isolator Column, 2.1 x 50mm, 5 µm (p/n: 186010926)

Column temperature:

35 °C

Sample temperature:

4 °C

Injection volume:

5 µL

Flow rate:

0.3 mL/min

Mobile phase A:

2 mM ammonium acetate in water

Mobile phase B:

2 mM ammonium acetate in methanol/acetonitrile (v/v,1/1)

Gradient Table

Gradient Table

MS Conditions

MS system:

Xevo TQ Absolute

Ionization mode:

UniSpray negative

Source temperature:

100 °C

Impactor voltage:

0.9 kV

Desolvation temperature:

350 °C

Desolvation flow:

900 L/hr

Cone flow:

150 L/hr

MRM method:

See Appendix for Full MRM Method details

Data Management

Software:

waters_connect™ for quantitation

Results and Discussion

Improving LC Method Efficiency and Separation from Interfering Matrix Compounds

The Isolator Column used in the ACQUITY Premier UPLC System was changed to an Atlantis Premier BEH C18 AX Isolator Column as this gave better separation of potential background contamination from the analytical peaks. A “naturally contaminated” mobile phase that contained both PFBA and PFOA was identified when methanol suppliers were changed in the laboratory. This mobile phase was used to assess the performance of the BEH C18 AX Isolator Column. Figure 2 shows the separation from the PFBA and PFOA contamination coming from the mobile phase in relation to the analytical peaks for both analytes. As demonstrated the Isolator Column is effectively dealing with the system contamination with separation of mobile phase contamination from PFAS analytical peak by at least 30 seconds.

Efficiency of Atlantis Premier BEH C18 AC Isolator column to deal with “naturally” contaminated mobile phase
Figure 2. Efficiency of Atlantis Premier BEH C18 AC Isolator Column to deal with “naturally” contaminated mobile phase.

Waters previously developed a UPLC method for PFAS in food samples of animal origin utilizing an ACQUITY BEH C18, 2.1 x 100 mm Column which gave a run time of 22 minutes.4 Sample throughput was initially investigated by reducing the column dimensions from 2.1 x 100 mm to 2.1 x 50 mm. The method was translated using the Waters columns calculator.8 In line with the calculator the injection volume was also reduced from 10 to 5 µL to take advantage of injecting less sample into the LC system. The 50 mm column method was tested focusing on known problems with cholic acids, mainly in offal and egg samples.4 Figure 3 gives an example of how the method directly translates and the encountered problems with co-elution of the cholic acids.

Co-elution of cholic acids, taurochenodexoyycholic acid (TCDCA), taurodeoxycholic acid (TDCA), and tauroursodexoycholic acid (TUDCA) on ACQUITY Premier BEH C18 50 mm column with PFOS
Figure 3. Co-elution of cholic acids, taurochenodexoyycholic acid (TCDCA), taurodeoxycholic acid (TDCA), and tauroursodexoycholic acid (TUDCA) on ACQUITY Premier BEH C18 50 mm column with PFOS.

From previous work, adjusting the organic mobile phase composition improves separation from cholic acids. By systematically changing the ratio of acetonitrile to methanol it was identified that using a mix of 50/50 (v/v) methanol/acetonitrile gave the best compromise of time efficiency of the LC method without compromising the analytical results. The separation of cholic acids from PFOS is demonstrated in Figure 4.

Improved separation of PFOS from cholic acids, taurochenodexoyycholic acid (TCDCA), taurodeoxycholic acid (TDCA), and tauroursodexoycholic acid (TUDCA)
Figure 4. Improved separation of PFOS from cholic acids, taurochenodexoyycholic acid (TCDCA), taurodeoxycholic acid (TDCA), and tauroursodexoycholic acid (TUDCA).

Improving Method Detection, A Comparison Between Electrospray and UniSpray Ionization

The benefits in response and signal to noise increase for UniSpray compared to electrospray have been demonstrated in several application notes already published.9,10 A comparison of response (peak area) of the standards using both UniSpray and electrospray across the entire calibration range (0.005–1 ng/mL) was calculated and in general the response of the analyte is at least four times higher when UniSpray is used (with the exception of PFTriDA and PFTreDA which give at least three times higher response). When comparing the signal to noise (S/N) calculated point to point, only PFBA does not give a significant increase in S/N. For the remaining PFAS analytes there is an increase in S/N by a factor of 1.5 times at least, but in many cases, these increased by two times. Figure 5 details the increases measured across the different PFAS classes in more detail.

Response and S/N for PFAS analytes comparison of UniSpray to electrospray
Figure 5. Response and S/N for PFAS analytes comparison of UniSpray to electrospray.

This increase in both the response and S/N was also observed in the fish reference materials that were analyzed as part of the method performance assessment. Similar enhancements in response and S/N were observed for the fish reference materials. Figure 6 shows the response of UniSpray in the reference materials when compared to the response of the same sample by electrospray.

Chromatograms comparison of UniSpray vs Electrospray of fish reference materials for PFOA, PFNA, PFHxS, and PFOS
Figure 6. Chromatograms comparison of UniSpray vs Electrospray of fish reference materials for PFOA, PFNA, PFHxS, and PFOS.

Method Performance Assessment Using Reference Materials

Method performance was assessed by using two fish reference materials that had been purchased from Fapas. The method performance criteria were taken from the EURL POPs guidance document.5 In brief, calibration standard residuals are +/- 20% of the stated value. Native recovery values are between 80–120%, and RSD% should be ≤20%. Internal standard recoveries should be between 35–140% calculated from the response of the injection standard.5

The system was calibrated with solvent standards over the range of 0.005–1 ng/mL (equivalent to 0.025–5 µg/kg in sample) due to the challenge of finding truly clean and non-contaminated samples to use as matrix blanks. Estimated method LOQs from the calibration graphs for all PFAS analytes was in the region of 0.025 µg/kg except for PFBA being 0.05 µg/kg (due to contamination issues identified from the reagent blanks). The calibration range was adjusted in the processing software based on the certificate of analysis that was supplied with the native standard. PFOS and PFHxS branched isomers were quantified against their respective linear forms (with the linear internal standards used). All calibration graphs had residuals within +/- 20%, all R2 values were 0.99 or higher and showed a linear response. Figure 7 displays typical calibration graphs for the 4 regulated PFAS analytes in food, PFOA, PFNA, PFHxS, and PFOS.

Calibration graphs for PFOA, PFNA, PFHxS, and PFOS (0.005–1 ng/mL)
Figure 7. Calibration graphs for PFOA, PFNA, PFHxS, and PFOS (0.005–1 ng/mL).

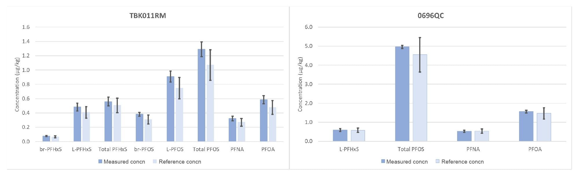
Trueness and repeatability were determined using the two Fapas® materials with the reference values used to ascertain the recovery of the PFAS from the material. An acceptance criterion of 80–120% was set and this was achieved for both reference materials. Repeatability or RSD(r)% was also assessed and in all cases lower than the specified 20% value in the EURL POPs PFAS guidance document, the highest value was 14%.5 Figure 8 displays the results for the two reference materials compared to the assigned values.

Measured values in Fapas® materials compared to their assigned values for reference materials 0696QC (n=5) and TBK011RM (n=4)
Figure 8. Measured values in Fapas® materials compared to their assigned values for reference materials 0696QC (n=5) and TBK011RM (n=4).

The recovery of internal standards was assessed using the injection standards based on the following calculation in the EURL POPs PFAS guidance document.6

RIILS = (SILIS/mILIS) ÷ (SRS/mRS) x 1/RRFILIS x 100

mILIS: amount (in µg) of the internal standard (ILIS) added to the test portion
mRS: amount (in µg) of the recovery standard (RS) in the final extract
SILIS: response of the internal standard (ILIS)
SRS: response of the recovery standard (RS)
RRFILIS: relative response factor of the internal standard (ILIS)

All internal standards were recovered within the range of 80–120%, except FOSA which was not recovered, and PFTreDA which was over the specified limit of 140%. This range is significantly smaller than the specified range of 35–140% as outlined in the EURL POPs PFAS guidance document.5 FOSA was not expected to be recovered, as a neutral PFAS it is washed off the SPE cartridge during the methanol wash stage. The higher recovery for PFTreDA can be reasonably explained by matrix effects in the source enhancing the response of the PFTreDA compared to the labelled PFDA present as an injection standard. This was observed for both ionization sources (UniSpray and Electrospray). Figure 9 displays the results of the recoveries of the internal standards from both fish reference materials.

Internal standard recovery from reference materials
Figure 9. Internal standard recovery from reference materials.

Conclusion

The Atlantis Premier BEH C18 AX Isolator Column gave better separation of contamination that arrives at the UPLC System from mobile phases and the analytical peaks for the PFAS analytes. An improved UPLC method gives a more time efficient method, higher sample throughput, and separation from known interferents (cholic acids) in food samples of animal origin. UniSpray gives significantly better response and signal to noise values for the compounds investigated, compared to electrospray. Overall, the method performance assessed using reference materials gives results that in almost all cases meets or exceeds the method performance requirements set out in the EURL POPs PFAS Guidance document with estimated limits of quantification at 0.025 µg/kg or lower from PFAS analytes that are recovered from the extraction.

References

  1. Schrenk D, Bignami M, et al, EFSA Panel on Contaminants in the Food Chain (EFSA CONTAM Panel), Risk to Human Health Related to the Presence of Perfluoroalkyl Substances in Food. EFS2, 2020;18(9).
  2. Commission Regulation (EU) 2022/2388, Amending Regulation (EC) No 1881/2006 as Regards Maximum Levels of Perfluoroalkyl Substances in Certain Foodstuffs, L 316/38, 8.12.2022.
  3. Commission Recommendation (EU) 2022/1431, on the Monitoring of Perfluoroalkyl Substances in Food. L 221/105, 26.8.2022.
  4. Organtini K, Adams S, Hird S, Jandova R, Total Workflow for the Sensitive Analysis of Per- and Polyfluoroalkyl Substances (PFAS) in Fish, Meat, Edible Offal, and Eggs, Waters Application Note, 720007482, 2022.
  5. EURL for Halogenated POPs in Feed and Food (2022): Guidance Document on Analytical Parameters for the Determination of Per- and Polyfluoroalkyl Substances (PFAS) in Food and Feed, version 1.2 of 11 May 2022. Available online under https://eurl-pops.eu/core-working-groups#_pfas.
  6. EURL for Halogenated POPs in Feed and Food (2022): Guidance Document on Analytical Parameters for the Determination of Per- and Polyfluoroalkyl Substances (PFAS) in Food and Feed, ANNEX version 1.0 of 11 May 2022. Available online under https://eurl-pops.eu/core-working-groups#_pfas.
  7. Organtini K, Oehrle S, Hird S, Adams S, Jandova R, Matrix Matching or Isotope Dilution? A Comparison of Two Quantitation Approaches to Determine PFAS in Dairy Milk, Waters Application Note, 720007687, 2022.
  8. Columns Calculator Version 2.0, Waters Downloads, (p/n: 667005222).
  9. Organtini K, Oehrle S, Rosnack K, An Alternative Ionization Technique for Perfluorinated Alkyl Substances (PFAS) Analysis: Evaluating UniSpray for Water and Soil Samples, Waters Application Note, 720006760, 2020.
  10. Willmer H, Organtini K, Adams S, Routine Determination of Per- and Polyfluorinated Alkyl Substances (PFAS) in Drinking Water by Direction Injection Using UPLC-MS/MS to Meet the EU Drinking Water Directive 2020/2184 Requirements, Waters Application Note, 720007413, 2021.

Appendix Table

Appendix Table

720008108, October 2023

Back To Top Back To Top