Xevo™ TQ Absolute를 사용한 정량 한계가 µg/kg 미만인 식품 샘플 내 음이온성 극성 농약의 검출
본 응용 개요서는 구체적인 실험 내용을 포함하지 않습니다.
요약
음이온 극성 농약 분석 분야는 QuPPe 분석법과 같은 일반 추출법을 채택하면서 지난 10년 동안 발전을 거듭해 왔으며, 이러한 까다로운 분석물을 분석하기 위한 다성분 잔류물 접근법을 취할 수 있게 되었습니다. Xevo TQ Absolute Tandem Quadrupole 질량분석기의 향상된 음이온 감도 덕분에 채소 샘플의 경우 0.5µg/kg, 곡물 샘플의 경우 2µg/kg의 정량 한계를 달성할 수 있게 되었습니다. 정확도(Trueness)는 오이 매트릭스 내 표준물질 1 및 10µg/kg, 밀가루 매트릭스 내 표준물질 10 및 50µg/kg에서 10회 주입으로 평가했습니다. 오이의 정확도(Trueness)는 0.6~8.7% RSD에서 91~117%, 밀가루의 경우 0.5~9.2% RSD에서 96~104%였습니다.
이점
- Xevo TQ Absolute의 성능은 음이온성 극성 농약의 분석에 대한 감도 향상으로 이전보다 현저히 낮은 검출 한계를 달성할 수 있음을 보여줍니다.
- 샘플 주입량 감소로 LC-MS/MS 시스템에 주입되는 샘플 매트릭스를 줄일 수 있습니다.
- 당사의 결과 기반 지원 모델을 활용하여 글로벌한 지원을 통해 고객의 성공을 보장합니다.
소개
음이온 극성 농약의 일상적인 분석은 많은 실험실의 필수 요구 사항으로 자리 잡았습니다. 이러한 까다로운 분석 물질과 그 대사 물질은 QuEChER 및 mini-Luke와 같은 일반적인 다성분 잔류물 접근 방식이나 역상 크로마토그래피로 처리할 수 없습니다.1,2 극성 농약 접근 방식은 일반적으로 분석에 상당한 노력이 요구되는 일련의 선택적 단일 잔류물 분석법이었습니다. QuPPe(Quick Polar Pesticides) 분석법의 도입으로 일반적인 다성분 잔류물 분석법이 잘 적용되지 않는 극성이 높은 농약에 대한 식품 분석이 가능해졌습니다.3 Waters™는 음이온 극성 농약 컬럼으로 이 접근 방식에 대두되는 몇 가지 중요한 문제를 해결하는 방법과 예상되는 추출법 성능에 중점을 두고 음이온 극성 농약 분석 분야의 여러 응용 사례를 발표했습니다.4,5,6,7
음이온성 극성 농약에 대해 요구되는 최저정량한계(Lower Limit of Quantification, LLOQ)는 Xevo TQ Absolute의 향상된 음이온 감도로 해결할 수 있습니다. 이를 통해 이제는 낮은 µg/kg, 심지어 µg/kg 보다 낮은 영역까지 검출 한계를 낮추고 QuPPe 분석법과 같은 일반 추출과 결합하여 이 분석에 다성분 잔류물 접근법을 도입할 수 있습니다. 이 응용 연구는 이러한 향상된 감도로 최저정량한계(Lower Limit of Quantification, LLOQ)를 달성하는 데 중점을 두었습니다. 이 접근 방식을 사용하면 주입량을 줄여 액체크로마토그래피 탠덤 질량분석기(LC-MS/MS) 시스템의 매트릭스 부하를 줄일 수 있습니다.
실험
공시료 매트릭스 추출은 QuPPe 버전 12 프로토콜에 따라 수행하였습니다.3 오이 매트릭스 내 표준물질은 0.5~200µg/kg 범위(바이알 농도 0.25~100ng/mL)로 준비되었고, 밀가루 매트릭스 내 표준물질은 2~200µg/kg 범위(바이알 농도 0.25~25ng/mL)로 준비되었습니다. 매트릭스 효과를 평가하기 위해 이러한 각 범위에 해당하는 용매 표준물질을 준비했습니다.
사용된 크로마토그래피 조건은 이전에 발표된 응용 자료에 수록되어 있으며 음이온 극성 농약 컬럼을 활용합니다.4
결과 및 논의
QuPPe 추출에 대한 추출법 성능은 잘 정립되어 있으며 이 추출 프로세스가 극성 농약의 정량분석 작업에 적합함을 보여줍니다.3,4,5,6 음이온성 극성 농약 컬럼을 사용하여 크로마토그래피 분석법 성능이 확립되고 문서화되었습니다.4,5,6
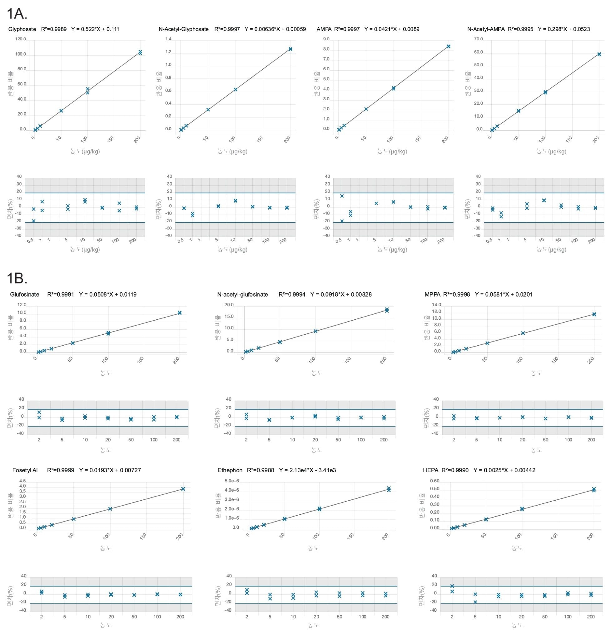
확립된 Waters LC 분석법을 사용하여 Xevo TQ Absolute에서 직선성과 정량 한계를 모두 평가했습니다. 음이온성 극성 농약에 대한 선형 반응 범위는 오이 매트릭스의 경우 0.5–200µg/kg(바이알 농도 0.25–100ng/mL), 밀가루 매트릭스의 경우 2–200µg/kg(바이알 농도 0.25–25ng/mL) 범위에서 테스트되었습니다. 정량 한계는 이러한 검량 시퀀스에서 가장 낮은 검량 표준물질로 정의되었는데, 오이 매트릭스의 경우 0.5μg/kg, 밀가루 매트릭스의 경우 2μg/kg였습니다. Ethephon을 제외한 모든 화합물에 대해 내부 표준물질이 검량 평가에 사용되었습니다. 모든 경우 검량선에 대한 잔차는 20% 미만이었고 결과 결정 계수(r2) 값은 모두 0.99 이상이었습니다. 오이 및 밀가루 매트릭스 내 표준물질의 검량선 예시를 그림 1에 나타냈습니다.

검량선 실험에서 분석법의 정량 한계는 정량 및 정성 transition이 검출된 가장 낮은 검량선 표준물질로 계산되었습니다. 이러한 한계를 표 1에 나타냈습니다. 두 가지 다른 샘플 유형 사이에서 관찰된 샘플 정량 한계의 차이는 오이와 같은 “수분 있는” 식품 대 밀가루와 같은 “건조한” 식품에 대한 QuPPe v12 추출 절차 내의 희석 계수 차이에 따른 결과입니다. 검출된 바이알 내 농도는 두 식품 모두 모든 음이온성 극성 농약에 대해 0.25ng/mL였습니다. 다만, AMPA의 경우에는 밀가루 매트릭스에서 바이알 농도가 0.63ng/mL로 약간 높았는데, 이는 매트릭스에서 신호가 억제된 결과로 인한 것입니다.

극성 농약 분석에 대한 정확도(Trueness)와 반복성은 매트릭스 내 표준물질을 반복적으로 주입하고 협차 검량법에서 생성된 검량 그래프에 대한 반응을 정량하여 오이 및 밀가루 매트릭스 모두에 대해 평가되었습니다. 이러한 실험 결과를 나타낸 표 2는 Xevo TQ Absolute가 오이(대표적인 채소 매트릭스)에서 농도 1µg/kg, 밀가루(대표적인 곡물 매트릭스)에서 농도 2µg/kg로 존재하는 음이온성 극성 농약의 잔류물을 정확하게 정량할 수 있음을 보여줍니다. AMPA는 5µg/kg로 밀가루에서 약간 더 높았습니다. 오이 매트릭스 내 1µg/kg 극성 농약에 대한 크로마토그램의 예시가 그림 2에 나와 있습니다.


10µg/kg(바이알 농도 5ng/mL)의 단일 오이 매트릭스 표준을 여러 차례 주입하여 분석물의 반응 반복성을 조사하기 위한 추가 실험을 수행했습니다. 30회 주입의 일반적인 분석 배치에서 안정적인 반응이 얻어지는지 확인하기 위해 피크 면적을 표기했습니다. 내부 표준물질 반응에 따라 조정하지 않았으며 고유의 분석물질 피크 면적 반응이 사용되었습니다. 일련의 30회 주입에 대한 피크 면적 RSD는 그림 3에서 볼 수 있듯이 Fosetyl Al이 7%인 것을 제외하고 일반적으로 3% 이하였습니다.

결론
음이온성 극성 농약에 대한 분석을 다성분 잔류물 접근 방식으로 전환하려는 요구가 증가하고 있으며, QuPPe 일반 추출법이 그 촉매제 역할을 합니다. 범용적이고 단순화된 추출 기술로 전환함에 따라 이러한 음이온성 분석물질에 요구되는 최저정량한계(Lower Limit of Quantification, LLOQ)가 중요하게 대두됩니다. 음이온화 모드의 감도가 향상된 Xevo TQ Absolute를 사용하면 훨씬 낮은 수준의 정량 한계를 실현할 수 있습니다. 그 결과 오이(대표적인 채소 샘플)에 포함된 음이온성 극성 농약에 대해 실현할 수 있는 정량 한계는 0.5μg/kg, 밀가루(대표적인 곡물 샘플)의 경우에는 2μg/kg인 것으로 나타났으며, AMPA만 5μg/kg가 얻어졌습니다.
참고문헌
- M. Anastassiades, S. J. Lehotay, D. Stajnbaher, F. J. Schenck, Fast and Easy Multiresidue Method Employing Acetonitile Extraction/Partitioning and “Dispersive Solid-Phase Extraction” for the Determination of Pesticide Residues in Produce, J. AOAC Int., 86 (2003) 412–431.
- Dutch mini-Luke (“NL-”) Extraction Method Followed by LC and GC-MS/MS for Multiresidue Analysis of Pesticides in Fruits and Vegetables, URL: https://www.eurl-pesticides.eu/userfiles/file/NL-miniLuke-extraction-method.pdf.
- M. Anastassiades; A.-K. Wachtler; D. I. Kolberg; E. Eichhorn; H. Marks; A. Benkenstein; S. Zechmann; D. Mack; C. Wi ldgrube; A. Barth; I. Sigalov; S.Görlich; D.Dörk and G. Cerchia. Quick Method for the Analysis of Highly Polar Pesticides in Food Involving Extraction with Acidified Methanol and LC - or IC MS/MS Measurement - I. Food of Plant Origin (QuPPe-PO-Method) –Version 12 (2021년 7월 23일 EURL-SRM 웹사이트에 게시); URL: https://www.eurl-pesticides.eu/docs/public/tmplt_article.asp?CntID=887&LabID=200&Lang=EN.
- Hird S, Adams S, De-Alwis J. Evaluation of the Performance of a Method for the Determination of Highly Polar, Anionic Pesticides in Foodstuffs Using LC-MS/MS, Waters 응용 자료, 720007505, 2022년.
- De-Alwis J, Williams J, Hird S, Adams S. Evaluation of the Performance of an LC-MS/MS Method for the Determination of Anionic Polar Pesticides Residues in Crops and Foodstuffs Using an Interlaboratory Study, Waters 응용 자료, 720007154, 2021년.
- Kumar K P, Bhaska K, Gorella T, Wagh P. Determination of Anionic Polar Pesticides in Grapes using UPLC-MS with Anionic Polar Pesticide Column. Waters 응용 자료, 720006925, 2020년.
- Ross E, De-Alwis J, Adams S, Williams J, Shah D D. Determination of Anionic Polar Pesticides in High Water Foodstuffs. Waters 응용 자료, 720006645, 2019년.
주요 제품
720007567KO, 2022년 3월