MaxPeak™ High Performance Surfaces(HPS)を利用した合成ペプチドのエンフビルチドおよび HAART 医薬品の分析の改善
要約
HIV は、毎年何万人もの人が感染するウイルスです。治療しないと、AIDS に進行する場合があり、これによって感染者の免疫機能がさらに低下し、さまざまな病気やがんを発症しやすくなります。AIDS は、毎年何十万人もの人の死亡原因になっています。一方、HIV 治療薬の選択肢は進歩してきています。そのような治療法として、エンフビルチドなどの合成ペプチドと組み合わせた HAART などがあります。
HIV 治療薬の現行の標準試料を分離できる迅速で最新の分析法を求めるニーズに対応するため、6 分以内で容易に分離が行える、直線性で再現性のある HPLC-UV/MS 分析法を開発しました。さらに、合成ペプチド分析に MaxPeak HPS を使用するメリットを従来のステンレススチール製のシステムと比較して実証しました。
アプリケーションのメリット
- MaxPeak HPS は、従来のステンレススチール製のシステムと比較して、再現性が高いことが示されている
- Max Peak HPS により、エンフビルチドのシグナルの面積および高さが増加し、定量限界が下がる
- HAART とエンフビルチドの両方を以前の分析法よりほぼ 4 倍短い実行時間で定量できる単一の分析法が開発された
はじめに
世界中で何千万人もの人が、年齢層に関係なく、ヒト免疫不全ウイルス(HIV)に感染しています1。 HIV は、治療しないで放置すると、感染者の免疫システムを破壊することで他のさまざまな疾患やがんにかかりやすくなる後天性免疫不全症候群(AIDS)に進行する可能性があります2,3。 HIV や AIDS を治癒する方法はありませんが、HIV 治療薬は大きな進歩を遂げています。現在、HIV 患者は通常、個々の患者に最適な治療効果が得られるように異なる抗レトロウイルス薬を組み合わせたさまざまな高活性抗レトロウイルス治療(HAART)薬を利用することができます4,5。 患者が HAART に反応しない場合は、別の医薬品を処方して転帰の改善を図ることがあります。エンフビルチドは、HAART 医薬品と併用できる候補薬の 1 つです6。 エンフビルチドは、抗ウイルス薬のような低分子ではなく、合成ペプチドです7。
エンフビルチドはいつも併用薬として使用するため、現在の標準治療における HAART 薬を含む溶液中のエンフビルチドを定量および分離することが重要です。このアプリケーションノートでは、HPLC-UV/MS を使用して、エンフビルチドを含む HAART の現行のパネルをカバーする、直線性で再現性のある分析法について説明します。薬物一斉分析法は新しい概念ではありませんが、HAART の分離および定量に使用できる現行の分析法は、知り得る限り、エンフビルチドを含めるように更新されていません8,9。 さらに、他の分析法では HAART のパネルを完全に分離するのに 20 分近くかかることが示されていますが、今回 6 分以内で分離を完了できました。さらに、Waters™ HPS は、クロマトグラフィーにおけるレスポンス低下につながる可能性のある望ましくない金属とペプチドの相互作用を低減することが示されています10。
実験方法
ストック標準溶液の調製
酢酸エンフビルチドは、Sigma Aldrich(ミズーリ州、セントルイス)から購入しました。ドルテグラビルおよびビクテグラビルは、Selleck Chem(テキサス州ヒューストン)から購入しました。テノホビル、ラミブジン、エムトリシタビン、アバカビル硫酸は、Cayman Chemical(マサチューセッツ州アンハーバー)から購入しました。ストック溶液の濃度は、購入した物質の溶解度および量によってさまざまです(表 1)。調製時には、すべての塩要因を考慮しました。超音波処理を使用して標準試料を溶液に溶解させる場合もありました。

DMSO はジメチルスルホキシドです
ストック溶液は 2 ℃ ~ 8 ℃ で保存しました。DMSO の物理的特性のため、ストック溶液は低温保管庫中で固化しました。標準溶液の調製を行う前に、解凍したストック溶液を周囲温度に平衡化させました。
システム適合性標準試料の調製:
ストック溶液を 5% アセトニトリル(ACN)含有脱イオン水で希釈しました。ストック溶液を合わせて、すべての分析種が濃度 100 µg/mL になるように調製しました(HIV 薬混合物標準試料)。
さらに、合成ペプチドのみについて分析法の性能を試験するために、エンフビルチドのみを含む標準試料を別々に調製しました。この標準試料は、エンフビルチド標準試料を 5% ACN 含有脱イオン水で濃度 100 µg/mL に希釈して作製しました(エンフビルチド適合性標準試料)。
直線性および定量限界測定用標準溶液の調製
合わせた HIV 薬混合物標準試料(エンフビルチドを除く)は、5% ACN 希釈溶媒を使用して 250 µg/mL になるように調製しました。この標準試料をさらに 5% ACN 含有脱イオン水で希釈し、混合物中の HIV 抗レトロウイルス薬それぞれについてさまざまな検量線ポイントを作成しました。
エンフビルチドについて、専用の検量線を別々に作成しました。エンフビルチドのキャリブレーションスタンダードは、まず 5% ACN 含有脱イオン水を使用して濃度 1000 µg/mL のエンフビルチド標準試料を調製して作成しました。この標準試料をさらに 5% ACN 含有脱イオン水で希釈し、エンフビルチドのさまざまな検量線ポイントを作成しました。
この標準試料は、MaxPeak HPS システムと従来のステンレススチール製システムを比較するための定量限界(LOQ)標準試料の作成にも使用しました。
分析条件:
ペプチドと抗レトロウイルス医薬品の UV 吸光度が異なるため、2 つの波長を分析に使用しました6,11。 波長 214 nm はエンフビルチドのすべての定量目的に使用し、260 nm は抗レトロウイルス医薬品の定量データに使用しました。
LC 条件

グラジエントテーブル

結果および考察
分離法の結果:
この分析法は、HIV 薬混合物標準試料の保持および分離において、6 回の注入にわたって再現性がありました。波長 260 nm において、HIV 薬混合物標準試料中の抗レトロウイルス薬の面積および保持時間の %RSD は 1% 未満でした(表 2 および 3)。波長 214 nm において、HIV 薬混合物標準試料中のエンフビルチドの面積および保持の %RSD は 1% 未満でした(表 4 および 5)。
ビクテグラビル(BIC)とドルテグラビル(DOL)の間の平均分離度は 1.3 でしたが、BIC と DOL は HIV 治療で併用されないことが多いため、このことは、併用治療薬の正確な分析に影響しないはずです5,12。 図 1a および 1b に 260 nm および 214 nm での 6 回の注入の重ね描きクロマトグラムを示しており、これによって分析法の性能を明確に把握することができます。214 nm ではエンフビルチドのピークにより大きなレスポンスが認められます。ベースラインのシフトはステップグラジエントと移動相関連のバックグラウンドノイズ増加の組み合わせによるもので、低波長で一般に見られるものです。さらにこれらのクロマトグラムは、分析に適切な波長を使用することの重要性を示しています。





図 1b. 波長 214 nm での 6 回の注入で得られた HIV 薬標準試料の重ね描きクロマトグラム。リストした略号については表 1 を参照してください。
エンフビルチドの質量分析:
エンフビルチドは UV 検出器で検出できますが、エンフビルチドの同定を支援するために質量分析を行いました。エンフビルチドの分子量は 4492 g/mol です7。 このノミナル質量は ACQUITY QDa 質量検出器の検出限界を超えていますが、エンフビルチドには m/z 1124 の主要なイオンがあるため、質量電荷比(m/z)に関連して電荷が 4 価であれば、この合成ペプチドを検出することができます13,14。 以下は、HIV 薬標準試料の UV クロマトグラムおよびトータルイオンクロマトグラム(TIC)ならびにエンフビルチドの一部の抽出イオンクロマトグラム(XIC)を示す積み重ねクロマトグラムです(図 2a ~ 2c)。

図 2b. 濃度 10 µg/mL の HIV 薬標準試料の、ポジティブイオンスキャンモードでの TIC クロマトグラム
図 2c. ベンチトップ型 ACQUITY QDa 質量検出器を使用して濃度 10 µg/mL のペプチドを検出する性能を実証している、エンフビルチドの m/z での XIC クロマトグラム
直線性の結果:
HIV 薬混合物標準試料中の各分析種を直線性について調査しました。この合成ペプチドと低分子抗レトロウイルス薬の間でレスポンスが大きく異なることを考慮して、エンフビルチドの直線性は別々に試験しました。各分析種の直線性の結果は、Empower 3 のキャリブレーション機能による直線近似を使用して計算しました。線形回帰係数はすべて 0.999 以上でした。この分析法の定量機能は明確であり、品質管理試験に使用できることを示唆しています(図 3a および 3b)。


Premier とステンレススチール製システムで得られた結果の比較:
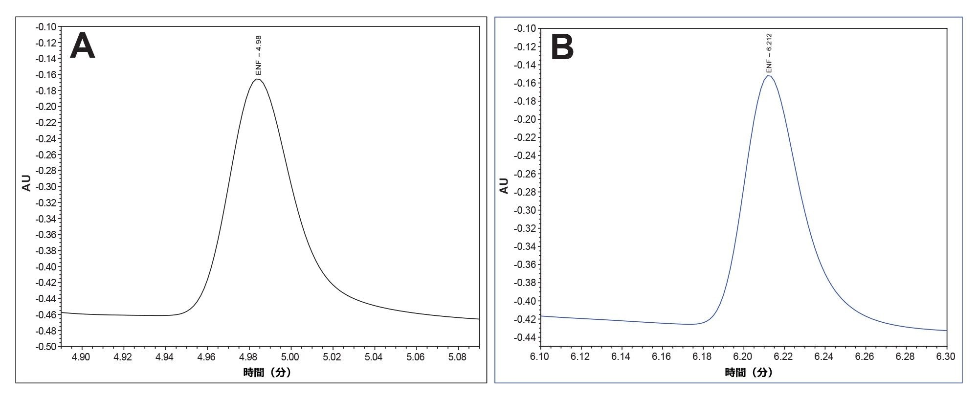
この分析法をステンレススチール製システムと MaxPeak Premier システムの両方で使用したところ、合成ペプチド分析における MaxPeak HPS テクノロジーの改善点が浮き彫りになりました。各装置種類に、エンフビルチドのシステム適合性標準試料を 10 回注入しました。MaxPeak HPS の方が再現性の高いデータセットが得られ、面積で 23%、高さで 10% 増加していました。以下に、両システムの結果を比較しています(表 6 および図 4a ~ 4b)。


図 4b. 従来のステンレススチール製システム(青)で得られたエンフビルチド適合性標準試料に含まれるエンフビルチドの代表的なクロマトグラム
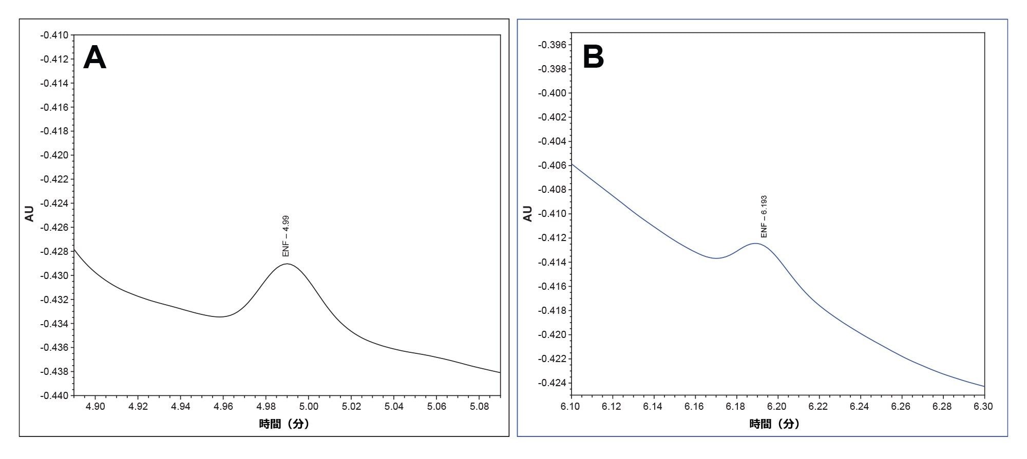
定量限界の測定結果:
高さと面積が増加していたことから、MaxPeak HPS システムでは感度が向上していると言えます。これを測定するため、各システムの LOQ を調べました。医薬品規制調和国際会議(ICH)によると、LOQ はシグナル対ノイズ比を使用して測定できます15。 Premier MaxPeak HPS システムの LOQ 標準試料は 3.5 µg/mL でした。この標準試料を各システムに 10 回注入しました。Premier MaxPeak HPS システムの平均シグナル対ノイズ比は 14.2 であり、LOQ の測定に推奨されるシグナル対ノイズ比 10 を上回っています。従来のステンレススチール製システムでは、平均シグナル対ノイズ比は 2.4 で、検出限界(LOD)の測定の推奨値を下回っています。MaxPeak HPS による面積および高さのシグナルの増加が、LOQ の低減に寄与しています(図 5a および 5b)。

図 5b. 従来のステンレススチール製システムに注入して得られた 3.5 µg/mL エンフビルチドの代表的なクロマトグラム(青)。10 回の注入にわたる平均シグナル対ノイズ比は 2.4 でした。
結論
このアプリケーションノートでは、HAART およびエンフビルチドの分析のための直線性で再現性のある分析法の開発について説明しています。UV 検出および ACQUITY QDa 質量検出器によるベンチトップ MS 検出を利用することにより、分析種が 6 分以内に分離および検出されました。MaxPeak HPS ソリューションでは、エンフビルチドの分析において、従来のステンレススチール製システムと比較して、クロマトグラフィーピークの面積、高さ、および全体的な感度が向上していました。
参考文献
- UNAIDS.Global HIV & AIDS Statistics — 2020 Fact Sheet.2021. Available from: https://www.unaids.org/en/resources/fact-sheet
- Centers for Disease Control and Prevention.HIV Basics.2019. Available from: https://www.cdc.gov/hiv/basics/index.html
- Centers for Disease Control and Prevention.AIDS and Opportunistic Infections.2019. Available from: https://www.cdc.gov/hiv/basics/livingwithhiv/opportunisticinfections.html
- Pan American Health Organization.Antiretroviral Therapy - PAHO/WHO | 2023.Available from: https://www.paho.org/en/topics/antiretroviral-therapy#:~:text=Antiretroviral%20therapy%20(ART)%20is%20treatment
- National Institute of Health.Appendix B: Drug Characteristics Tables | NIH.2023 [cited 2023 Aug 11].Available from: https://clinicalinfo.hiv.gov/en/guidelines/hiv-clinical-guidelines-adult-and-adolescent-arv/drug-characteristics-tables?view=full#table7
- National Institutes of Health.Enfuvirtide - Patient | NIH.2023. Available from: https://clinicalinfo.hiv.gov/en/drugs/enfuvirtide/patient
- PubChem.Enfuvirtide.National Center for Biotechnology Information.2023. Available from: https://pubchem.ncbi.nlm.nih.gov/compound/Enfuvirtide
- Charbe N, Baldelli S, Cozzi V, Castoldi S, Cattaneo D, Clementi E. Development of an HPLC–UV Assay Method for the Simultaneous Quantification of 9 Antiretroviral Agents in the Plasma of HIV-Infected Patients.Journal of Pharmaceutical Analysis.December 2016.6(6):396–403.
- D’Avolio A, Siccardi M, Sciandra M, Lorena B, Bonora S, Trentini L, et al.HPLC–MS Method for the Simultaneous Quantification of the New HIV Protease Inhibitor Darunavir, and 11 other Antiretroviral Agents in Plasma of HIV-Infected Patients.Journal of Chromatography B.November 2007.859(2):234–40.
- Birdsall R, Kellet J, Ippoliti S, Qing Yu Y. Increasing Recovery and Chromatographic Performance of “Acidic” Peptides Using Waters ACQUITY Premier Solution.Waters Application Note.720007173.2021.
- Buck MA, Olah TA, Weitzmann CJ, Cooperman BS.Protein Estimation by the Product of Integrated Peak Area and Flow Rate.Analytical Biochemistry.Nov 1989.[cited 2023 Aug 11].182(2):295–9.Available from: https://www.sciencedirect.com/science/article/abs/pii/0003269789905976?via%3Dihub
- U.S. Food and Drug Administration.Reviewer Guidance, Validation of Chromatographic Methods.FDA U.S. Food and Drug Administration.2018. Available from: https://www.fda.gov/regulatory-information/search-fda-guidance-documents/reviewer-guidance-validation-chromatographic-methods
- Instrument Specifications ACQUITY QDa Detector.Waters Corporation; 2016 [cited 2023 Aug 11].Available from: https://www.waters.com/webassets/cms/library/docs/720004799en.pdf
- Chang D, Kolis SJ, Linderholm K, Julian TF, R. Nachi, A.M. Dzerk, et al.Bioanalytical Method Development and Validation for a Large Peptide HIV Fusion Inhibitor (Enfuvirtide, T-20) and Its Metabolite in Human Plasma Using LC–MS/MS.Journal of Pharmaceutical and Biomedical Analysis.2005 Jul 1;38(3):487–96.
- International Conference on Harmonisation of Technical Requirements for Registration of Pharmaceuticals for Human Use Ich Harmonised Tripartite Guideline Validation of Analytical Procedures: Text and Methodology Q2(R1). ICH.November 2005 .Available from: https://database.ich.org/sites/default/files/Q2%28R1%29%20Guideline.pdf
720008072JA、2023 年 10 月