• アプリケーションノート

キャリブレーション試薬の信頼性:シクロスポリン、エベロリムス、シロリムス、タクロリムスの LC-MS/MS 分析向けの MassTrak™ 免疫抑制剤キャリブレーション試薬および品質管理セット

キャリブレーション試薬の信頼性:シクロスポリン、エベロリムス、シロリムス、タクロリムスの LC-MS/MS 分析向けの MassTrak™ 免疫抑制剤キャリブレーション試薬および品質管理セット

  • Stephen Balloch
  • Lisa J. Calton
  • Gareth Hammond
  • Waters Corporation

体外診断(IVD)目的です。一部の国/地域では提供されていません。

要約

免疫抑制剤であるシクロスポリン、エベロリムス、シロリムス、タクロリムスの測定には従来、免疫測定法が用いられてきました。しかしながら、低濃度での正確性のばらつきや、抗体と代謝物等の他の成分との交差反応による特異性の問題により、結果の信頼性が損なわれる場合があります。この現象は文献でも多く取り上げられています。そのため、多くの臨床ラボでは、これらの医薬品の分析に液体クロマトグラフィーとタンデム質量分析計(LC-MS/MS)を使用することが増えており、LC-MS/MS で信頼性の高い結果を得るためには、信頼性と再現性の高いキャリブレーション試薬と品質管理セット(QC)が必要になります。

Waters™ MassTrak 免疫抑制剤キャリブレーション試薬および QC セット(IVD)により、正確性に対する信頼性が得られ、バリデーション済みの LC-MS/MS 分析法を使用することで結果の統一が図れます。

ACQUITY™ UPLC™ I-Class FL および Xevo™ TQ-S micro タンデム四重極型質量分析計と、社内で開発した LC-MS/MS 手法を使用して、MassTrak 免疫抑制剤キャリブレーション試薬セットおよび品質管理セットの性能を実証しました。

アプリケーションのメリット

  • 価値の割り当てに関する ISO17511 のガイドラインに記載された指針となる原則
  • 正確な免疫抑制剤に対する信頼が得られ、ラボの分析法統一への道が開ける
  • 凍結乾燥したキャリブレーション試薬および品質管理セットで、サンプル前処理にかかる時間が最小に

はじめに

免疫測定法を用いた全血中の免疫抑制剤のルーチン分析は、高度な自動化が可能であり、高い分析感度が得られますが、選択性および多成分分析に関連する問題が残っています。そのため、特に低濃度での結果の信頼性が重要になります。これらの既知の限界を克服するため、最近では、免疫抑制剤の分析に LC-MS/MS がますます幅広く採用されるようになっています。

臨床検査室での LC-MS 分析法は多くの場合、自家調整検査法(LDT)に基づいており、各国の規制ガイドラインに対してバリデーションされています。これらのガイドラインは常に進化しており、これらの変化する規制に準拠するために、臨床分析法のあらゆる面における要求がますます高まっています。これには、分析法内での正確なキャリブレーション法を作成するとともにそれを独立に確認するためのキャリブレーション試薬および品質管理物質も含まれます。

Waters MassTrak 免疫抑制剤キャリブレーション試薬セットおよび品質管理セット(IVD)(図 1)には、凍結乾燥した全血中にシクロスポリン、エベロリムス、シロリムス、タクロリムスが含まれており、現在利用できる最高レベルの計量計測トレーサビリティーが得られます。本製品に含まれる物質の品質を実証するため、Xevo TQ-S micro タンデム四重極型質量分析計と ACQUITY UPLC I-Class FL の組み合わせを使用して、除タンパクおよび分離、ならびにサンプル検出を用いて物質の性能の概念実証を行いました。

Waters MassTrak 免疫抑制剤キャリブレーション試薬セットおよび品質管理セット
図 1.  Waters MassTrak 免疫抑制剤キャリブレーション試薬セットおよび品質管理セット

実験方法

Waters MassTrak 免疫抑制剤キャリブレーション試薬セットおよび品質管理セットには、凍結乾燥した全血中に免疫抑制剤であるシクロスポリン、エベロリムス、シロリムス、タクロリムスが含まれています。キャリブレーション範囲および QC に割り当てた濃度を表 1 に示します。

MassTrak 免疫抑制剤キャリブレーション試薬セットおよび品質管理セットの濃度範囲。キャリブレーション試薬および品質管理試薬は、使用説明書(IFU)に従って再溶解してから、サンプル前処理および分析を行っています
表 1.  MassTrak 免疫抑制剤キャリブレーション試薬セットおよび品質管理セットの濃度範囲。キャリブレーション試薬および品質管理試薬は、使用説明書(IFU)に従って再溶解してから、サンプル前処理および分析を行っています。

サンプル前処理:

サンプル前処理にはタンパク質沈殿を用いました。

除タンパク:

50 µL の全血サンプルに 200 µL の 0.1 M 硫酸亜鉛水溶液を添加し、5 秒間混合しました。500 µL の内部標準(ISTD)を添加し、20 秒間混合しました。次に、サンプルを 4,696 g で 2 分間遠心分離しました。

LC 条件:

システム:

ACQUITY UPLC I-Class、FL 搭載

ニードル:

20 μL

ループ:

50 μL

カラム:

ACQUITY UPLC HSS C18 SB カラム、1.8 μm、2.1 × 30 mm(製品番号:186004117)

カラム温度:

55 ℃

サンプル温度:

8 ℃

注入量:

20 μL

注入モード:

PLNO(先行ロードを有効化)

移動相 A:

水 + 2 mM 酢酸アンモニウム + 0.1% ギ酸

移動相 B:

メタノール + 2 mM 酢酸アンモニウム+ 0.1% ギ酸

弱洗浄溶媒:

水:メタノール 95:5(v/v)、600 µL

強洗浄溶媒:

水:メタノール:アセトニトリル:IPA 1:1:1:1(v:v:v:v)、200 µL

シール洗浄溶媒:

水:メタノール 80:20(v/v)

グラジエントテーブル

MS 条件

MS システム:

Xevo TQ-S micro タンデム四重極型質量分析計

イオン化モード:

ESI+

キャピラリー電圧:

0.8 kV

MRM パラメーター

メソッドイベント

結果および考察

ACQUITY UPLC 2.1 mm × 30 mm HSS C18 SB カラムを使用して、4 種の免疫抑制剤のクロマトグラフィーを行いました。

図 2 に、キャリブレーション試薬 1(25 ng/mL シクロスポリンおよび 1 ng/mL エベロリムス、シロリムス、タクロリムス)のクロマトグラムの例を示します。

MassTrak 免疫抑制剤キャリブレーション試薬セットから抽出した C1 キャリブレーション試薬の ACQUITY UPLC I-Class/Xevo TQ-S micro システムを用いて分析した性能特性。キャリブレーション範囲での直線性が実証され、4 種の免疫抑制剤にわたる検量線の平均 r2 値は 0.9988 以上でした。
図 2.  MassTrak 免疫抑制剤キャリブレーション試薬セットから抽出した C1 キャリブレーション試薬の性能特性(ACQUITY UPLC I-Class/Xevo TQ-S micro システムを用いて分析)。キャリブレーション範囲での直線性が実証され、4 種の免疫抑制剤にわたる検量線の平均 r2 値は 0.9988 以上でした。免疫抑制剤の低濃度キャリブレーション(C1)スタンダードのシグナル対ノイズ比(S/N)を評価することで、分析法の分析感度を判定しました。複数回の分析全体にわたって、キャリブレーション試薬 1 の各濃度での S/N(PtP)は 10 以上でした。これについては表 2 にまとめています。また、低濃度のキャリブレーション試薬での S/N の例も図 2 に示します。
MassTrak 免疫抑制剤キャリブレーション試薬セットに含まれる免疫抑制剤のキャリブレーションの直線性および分析感度性能のまとめ
表 2.  MassTrak 免疫抑制剤キャリブレーション試薬セットに含まれる免疫抑制剤のキャリブレーションの直線性および分析感度性能のまとめ

合計精度および再現性は、不連続の 5 日間にわたって、1 日あたり 3 濃度の QC 試料を 5 回の繰り返しで抽出および定量することによって測定しました(n = 25)。低、中、高濃度は、シクロスポリンについては 154.6、391.6、888.2 ng/mL、エベロリムスについては 2.2、8.4、22.6 ng/mL、シロリムスについては 1.9、7.3、19.4 ng/mL、タクロリムスについては 2.2、8.4、22.8 ng/mL でした。3 種の QC 濃度すべての免疫抑制剤にわたる合計精度および再現性は ≤ 7.1% CV でした(図 3)。

MassTrak 免疫抑制剤品質管理セット中の 4 種の免疫抑制剤の分析における合計精度と再現性
図 3.  MassTrak 免疫抑制剤品質管理セット中の 4 種の免疫抑制剤の分析における合計精度と再現性

さらに、5 回の分析にわたってキャリブレーション試薬に対して比較することにより、QC の正確性を評価しました。4 種の免疫抑制剤全体にわたる QC の平均正確性は 94.5 ~ 103.6% でした(表 3)。

Waters MassTrak 免疫抑制剤品質管理セットの 3 濃度 での 5 回繰り返し分析における正確性。
表 3.  Waters MassTrak 免疫抑制剤品質管理セットの 3 濃度での 5 回繰り返し分析における正確性

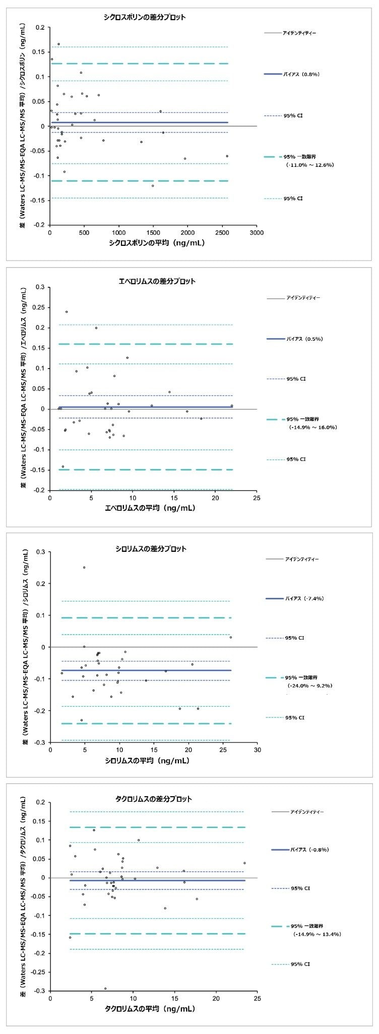
UK NEQAS からの EQA サンプルの分析により、4 種の免疫抑制剤について正確性を評価しました。得られたデータをサンプルの質量分析法での平均と比較し、このデータセットについてブランド-アルトマン分析を実施しました。シクロスポリン、エベロリムス、シロリムス、タクロリムスについてのブランド-アルトマン分析の結果、分析法の平均バイアスは ±7.4% 以内となり、免疫抑制剤についての EQA 分析法の値とよく一致していることが実証されました(図 4a ~ 4d)。

Waters LC-MS/MS 分析法と EQA スキーム MS 分析法平均を比較したブランド-アルトマン分析。(a)シクロスポリン、(b)エベロリムス、(c)シロリムス、(d)タクロリムス。
図 4.  Waters LC-MS/MS 分析法と EQA スキーム MS 分析法平均を比較したブランド-アルトマン分析。(a)シクロスポリン、(b)エベロリムス、(c)シロリムス、(d)タクロリムス。

結論

この性能実証評価により、MassTrak 免疫抑制剤キャリブレーション試薬セットおよび品質管理セット(IVD)を用いることで、全血中の 4 種の免疫抑制剤について、精密で正確な定量が行えることが実証されました。

Xevo TQ-S micro タンデム四重極型質量分析計と ACQUITY UPLC I-Class FL の組み合わせにより、わずか 50 µL のサンプル容量で、必要な最低濃度の分析に十分な分析感度が得られました。キャリブレーション範囲全体にわたって優れた精度レベルが実証され、合計精度および再現性は ≤ 7.1% CV でした。更に、QC セットの正確性は 94.5% ~ 103.6% の範囲と確立されました。また、EQA サンプルとの一致による計量計測トレーサビリティーの指標が示され、この分析法は、EQA のサンプルに対して、分析法のバイアスの平均がスキームの分析法の平均値と比較して ±7.4% とよく一致していました。

免責事項

この分析法は、この文書に記載された装置、ソフトウェア、消耗品を使用したアプリケーションの例です。この分析法は、診断目的では、規制当局からの許可を受けていません。分析法の完全な開発およびバリデーションは、エンドユーザーの責任下で行ってください。MassTrak 免疫抑制剤キャリブレーション試薬および品質管理セットは、一部の国/地域では販売されていません。提供状況については、最寄りのウォーターズの営業担当者にお問い合わせください。

720007582JA、2022 年 3 月

トップに戻る トップに戻る