• アプリケーションノート

法中毒学向けの Tof-MRM を用いたフェンタニルアナログの確認

法中毒学向けの Tof-MRM を用いたフェンタニルアナログの確認

  • Michelle Wood
  • Thomas G. Rosano
  • Waters Corporation
  • Department of Pathology and Laboratory Medicine, Albany Medical Center

法中毒学目的のみに使用してください。

要約

この分析研究の目的は、同じ HRMS プラットホームでも使用できるターゲット取り込みモードである Tof-MRM の性能を評価し、フェンタニルクラスの確認分析法を開発することでした。第 2 の目的は、以前に報告された新規の手法である閾値精密キャリブレーション(Threshold Accurate Calibration、TAC)を利用して、重水素内部標準を必要とせずにマトリックスのノーマライズを行うことです。

アプリケーションのメリット

  • フェンタニルアナログに対して優れた特異性と改善した感度を提供する Tof-MRM
  • マトリックス効果を補正するための新たな分析アプローチ
  • 簡素化したウェル内サンプル前処理
  • 構造異性体の区別
  • 分析法には適応性があり、新規のフェンタニルアナログが出現する度に簡単に更新できる

はじめに

四重極飛行時間(QTof)装置を使用する高分解能質量分析(HRMS)は、包括的なスクリーニング手法として法中毒学の分野でますます使用されるようになっています。これは通常、ノンターゲットデータ取り込みモード(Tof-MSE)で使用され、低エネルギー条件と高エネルギー条件でそれぞれ生成するプリカーサーイオンとフラグメントイオンの組み合わせに基づいて非常に特異的な同定が行えます1-4。Tof-MSE アプローチは最近、法医学的尿中薬物検査で一般的に分析する薬物に関するデュアル決定ワークフロープロトコルの確認ステップとして適用されています 5

QTof 装置は、限られた目的分析種のパネルを同定および定量することを目的とする場合、ターゲット取り込みモードで使用することもできます6。ここ数年、法中毒学において、違法なフェンタニル、特にフェンタニルアナログの入手可能性および使用がますます顕著になっています。そのため、これらの新規物質の高感度な検出および確認が可能な、最新の分析法が緊急に必要とされています。

この分析研究の目的は、同じ HRMS プラットホームでも使用できるターゲット取り込みモードである Tof-MRM の性能を評価し、フェンタニルクラスの確認分析法を開発することでした。第 2 の目的は、以前に報告された新規の手法である閾値精密キャリブレーション(Threshold Accurate Calibration、TAC)を利用して、重水素内部標準を必要とせずにマトリックスのノーマライズを行うことです7-9

実験方法

レファレンス分析種

フェンタニル類(フェンタニル、ノルフェンタニル、およびすべてのアナログ)のレファレンス物質は、Cerilliant および/または Cayman Chemical から濃度 1 mg/mL で入手しました。フェンタニル混合物のストック溶液は、濃度 10 µg/mL になるようにメタノールで希釈して調製し、使用するまで -20 ℃ で保管しました。

TAC スパイク溶液

TAC スパイク溶液は、フェンタニル混合物ストック溶液を水で希釈して濃度 30 ng/mL にして調製しました。対応するブランクスパイク溶液として水を使用しました。

キャリブレーション試薬、コントロール、ケースサンプル

分析種を含まない尿にフェンタニル混合物ストック溶液を加え、濃度 2 ng/mL の単一のキャリブレーション試薬を調製しました。検出下限(LLD)コントロールは、尿中 0.8 ng/mL になるように調製しました。

品質管理サンプルは、分析種を含まない尿に別々のソース由来のフェンタニル混合物ストック溶液を加えることによって調製し、尿中 1.5、3.0、10 ng/mL の QC サンプルを得ました。

真正サンプルはルーチンのケースワークから入手しました。

サンプル前処理

各サンプル(キャリブレーション試薬、コントロール、ケース尿)50 µL を、「ニート」サンプルおよび「スパイク」サンプルの分析用に 96 ウェルプレートの隣接する 2 つのウェルに入れました(図 1)。

TAC スパイク溶液 50 µL をすべての「スパイク」ウェルに加え、ブランクスパイク 50 µL を対応する「ニート」ウェルに加えました。

すべてのウェルに 500 µL の移動相(87% MPA:13% MPB)を加えた後、プレートを ACQUITY UPLC オートサンプラーに移し、UPLC-Tof-MRM を使用して 5 µL のサンプルを分析しました。

分析手順のサマリー:ウェル内サンプル前処理に続いて Tof-MRM 分析を行いました
図 1.  分析手順のサマリー:ウェル内サンプル前処理に続いて Tof-MRM 分析を行いました

LC 条件

LC システム:

ACQUITY UPLC I-Class (FTN)

カラム:

ACQUITY UPLC HSS C18 100 Å、1.8 µm、2.1 mm × 150 mm(製品番号 186003534)

カラム温度:

50 ℃

サンプル温度:

10 ℃

注入量:

5 µL

流速:

0.4 mL/分

移動相 A:

5 mM ギ酸アンモニウム(pH 3.0)

移動相 B:

0.1% ギ酸アセトニトリル溶液

グラジエントプログラム:

表 1

グラジエント

UPLC グラジエントプログラム
表 1.  UPLC グラジエントプログラム

MS 条件

MS システム:

Xevo G2-XS QTof

イオン化モード:

ESI+

キャピラリー電圧:

0.8 kV

コーン電圧:

25 V

脱溶媒温度:

500 ℃

脱溶媒ガス流量:

1,000 L/時間

コーンガス:

20 L/時間

取り込みモード:

Tof-MRM(表 2)

保持時間(RT)および最適化したコリジョンエネルギー(CE)を含むデュアル Tof-MRM の条件
表 2.  保持時間(RT)および最適化したコリジョンエネルギー(CE)を含むデュアル Tof-MRM の条件

データ管理

UNIFI 科学情報システムを使用して、装置コントロールとデータ解析を行いました。

革新的な分析アプローチ:TAC

この試験では、以前に説明したアプローチ(閾値精密キャリブレーション、TAC)1-3 を使用して、重水素化内部標準を用いずにサンプルを前処理し、マトリックス効果をノーマライズしました。

簡単に説明すると、キャリブレーション試薬、QC サンプル、未知サンプルを、カットオフ量のレファレンス分析種なし(「ニート」)およびあり(「スパイク」)で分析しました(図 1)。

各検体について、「ニート」と「スパイク」のピーク面積レスポンスの TAC 比を決定し、結果を簡単に定性的に表すために、カットオフ閾値濃度(このアッセイでは 2 ng/mL)の薬物を含む尿中キャリブレーション試薬について得られた比と比較しました。以下の例を参照してください:

  • TAC 比がキャリブレーション試薬の TAC 比以上の分析種は「陽性」
  • TAC 比がキャリブレーション試薬の値を下回る分析種は「陰性」

TAC 比 = 「ニート」のピーク面積レスポンス/(「スパイク」のピーク面積レスポンス - 「ニート」のピーク面積レスポンス)

イネーブリングテクノロジー:Tof-MRM

飛行時間型質量分析計(Tof-MS)は通常、広範な法医学的スクリーニングが容易になるように、MSE などのノンターゲット取り込みモードで使用します4-6。このモードでは、検出限界が低 ng/mL の範囲であることから、すでに高感度のアッセイが実施できますが、同じ装置を Tof-MRM などの別のモードで使用することもできます(図 2)。このターゲットモードにより、2 ~ 200 倍のさらなる感度向上が実際に報告されています7。感度の向上は、分析種が非常に低濃度である可能性が高い場合、および/または希釈のみのプロトコルなど、簡素化したサンプル前処理しか行われていない場合に有用です。

この試験では、希釈した尿サンプルに Tof-MRM を適用してフェンタニルを分析しました。これらの物質は効力が高いために、サンプル中に含まれる濃度が低い(ng/mL 以下)ことがよくあります。

Tof-MRM 分析の概略図
図 2.  Tof-MRM 分析の概略図 - このモードでは、QTof の四重極を使用して特定のプリカーサー質量を分離します。この質量のみがコリジョンセルに入ることができ、そこでフラグメンテーションを受けます。この例では、四重極は緑色のピークの m/z を分離するように設定されています。Tof 検出器ですべてのフラグメントイオンの質量が記録され、通常、定量イオンおよび定性イオンがモニターされます(表 2)。

結果および考察

キャリブレーション試薬を使用した Tof-MRM モードの初期評価では、感度が Tof-MSE より高く、5 ~ 20 倍向上していました。シンプルなサンプル前処理プロトコル(実質的にサンプルの 10 倍希釈)を使用することが目的であるため、残りの試験ではターゲット取り込みモードを使用しました。

サンプルは、簡素化したウェル内サンプルプロトコル(図 1)を使用して前処理し、続いて 15 分間のクロマトグラフィー分離(表 1)および最適化したデュアルトランジション Tof-MRM モニタリング(図 3、表 2)を組み合わせて分析しました。この分析法は非常に高感度で、構造異性体の区別も可能になりました(図 4)。

分析種を含まない尿に 10 ng/mL になるようにフェンタニルを加えたサンプルの Tof-MRM 質量クロマトグラム。
図 3.  分析種を含まない尿に 10 ng/mL になるようにフェンタニルを加えたサンプルの Tof-MRM 質量クロマトグラム。定量イオン(黄色のトレース)と定性イオン(赤色のトレース)の重ね描きを示しています。
法医学事例における 4-フルオロイソブチルフェンタニルの Tof-MRM 分析
図 4.  法医学事例における 4-フルオロイソブチルフェンタニルの Tof-MRM 分析(上)。4-フルオロイソブチルフェンタニル(左下)および 4-フルオロブチルフェンタニル(右下)のレファレンス標準試料の分析との比較を示しています。

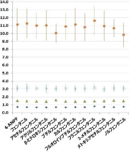
バリデーション試験は、ニューヨーク州保健局のガイドラインに従って設計し、17 回の分析にわたって実施しました。革新的な TAC アプローチによりマトリックス効果がノーマライズされ、調査対象のすべてのフェンタニルについて、一貫した閾値精密検出が可能になりました。カットオフ付近の分析種濃度(0.8、1.5、3.0、10.0 ng/mL)について、許容可能な精度および正確性が得られることが実証されました(図 5)。

17 回の分析にわたる QC サンプルの正確性および精度のデータ
 図 5.  17 回の分析にわたる QC サンプルの正確性および精度のデータ。ターゲット濃度(0.8、1.5、3.0、10.0 ng/mL)について、平均値 ± SD を示しています。

この確認分析法を、別の高速 UPLC-MS/MS ベースのスクリーニング分析法でも分析した 25 種の法医学事例のサンプルに適用したところ、Tof-MRM で、独立したスクリーニングと 100% の一致が示されました8。すべての事例の結果を表 3 にまとめています。フェンタニル、ノルフェンタニル、β-ヒドロキシフェンタニル、4-ANPP が最も多く検出されました。4-ANPP はフェンタニルの製造に使用される中間体であるため、フェンタニルの調製物中に不純物として検出される可能性があります。また、4-ANPP は、フェンタニル、およびフラニルフェンタニル、アセチルフェンタニル、アクリルフェンタニルなどの一部のアナログの代謝物であることもわかっています。

 UPLC-MS/MS スクリーニングおよび UPLC-QTof -MRM 確認分析法による法医学事例の結果
表 3.  UPLC-MS/MS スクリーニングおよび UPLC-QTof MRM 確認分析法による法医学事例の結果

結論

このアプリケーションノートでは、法中毒学で使用する確認分析法について説明します。

以前の報告と同様に、Tof-MRM では、ノンターゲット Tof-MSE アプローチよりも感度が向上していました。

この分析法は、いくつかの革新的なアプローチを利用しており、尿中のフェンタニルおよびフェンタニルアナログを分析するための、シンプルでありながら正確で精密な定性分析法になっています。

TAC アプローチにより、特に新しい薬物アナログの場合には必ずしも入手できるとは限らない重水素化内部標準を必要とせずに、正確な定性的確認が可能になりました。

TAC アプローチを用いる分析法には適応性があり、新規のフェンタニルアナログが出現したときにすぐに更新できます。

参考文献

  1. Rosano TG, Wood M, Ihenetu K, and Swift TA.Drug Screening in Medical Examiner Casework by High- Resolution Mass Spectrometry (UPLC–MSE-TOF).Journal of Analytical Toxicology 37(8), 1–14 (2013).
  2. Dalsgaard P et al., Quantitatitive Analysis of Screening of 30 Drugs in Whole Blood by SPEUHPLC- TOF-MS. Forensic Science and Criminology 1 (1), 1–6 (2013).
  3. Bidny S, Gago K, Chung P, Albertyn D, and Pasin D. Simultaneous Screening and Quantification of Basic, Neutral and Acidic Drugs in Blood Using UPLC-QTOF-MS.Journal of Analytical Toxicology 41(3), 181–195 (2017).
  4. Grapp M, Kaufmann C, Streit F, and Binder L. Systematic Forensic Toxicological Analysis by Liquid Chromatography-Quadrupole-Time-of-Flight Mass Spectrometry in Serum and Comparison to Gas Chromatography Mass Spectrometry.Forensic Science International 287, 63–73 (2018).
  5. Rosano TG, Ohouo PY and Wood M. Application of High Resolution UPLC-MSE/TOF for Confirmation in Forensic Urine Drug Screening by UPLC-MS/MS.In press Journal of Analytical Toxicology, bky106, https://doi.org/10.1093/jat/bky106.
  6. Wood M, Barknowitz G, Goshawk JA, and Lee R. Evaluation of Various Tof Acquisition Strategies for the Analysis of Illicit Drug Substances.Poster presentation at the 56th TIAFT Conference, Ghent, Belgium (2018).
  7. Rosano T, Ohouo P, and Wood M. Application of High Resolution Mass Spectrometry for Fentanyl Analog Confirmation and Discovery in Forensic Urine Casework.Poster presentation at the Annual Meeting for the Society of Forensic Toxicologists (SOFT) Minneapolis, MN, US (2018).
  8. Rosano T, Ohouo P, LeQue J, Freeto S, and Wood M. Definitive Drug and Metabolite Screening in Urine by UPLC-MS/MS Using a Novel Calibration Technique.Journal of Analytical Toxicology 40(8), 628–638 (2016).
  9. Rosano T, Ohouo P, and Wood M. Screening with Quantification for 64 Drugs and Metabolites in Human Urine using UPLC-MS/MS Analysis and a Threshold Accurate Calibration. Journal of Analytical Toxicology 41(6), 536–546 (2017).

720006515JA、2019 年 3 月

トップに戻る トップに戻る