• アプリケーションノート

PDA 検出器と質量分析計を用いた UHPLC および Empower 3 ソフトウェアによる美白剤の同定

PDA 検出器と質量分析計を用いた UHPLC および Empower 3 ソフトウェアによる美白剤の同定
  • Marian Twohig
  • Jane Cooper
  • Chris L. Stumpf

  • Waters Corporation

要約

化粧品に使われる美白剤(ライトニング/ホワイトニング)は肌の色合いをより整えるために、一般に顔や首に使われますが、さらに皮膚面積が大きい部分に広範囲に使用されることもあります。これらの製品は美容化粧品としても、皮膚疾患を治療する治療薬としても市販されています。

規制や安全性の観点からすれば、特に化粧品は医薬品の有効成分(AI)の含有が禁止されているため、化粧品と医薬品との区別は重要です。AI を含む場合、これらの製品は化粧品に対する欧州委員会規則1223/2009 および米国 FDA 規制に従って医薬品に分類されます。

本アプリケーションノートでは、化粧品として市販されているにもかかわらず、ハイドロキノン、副腎皮質ステロイド、トレチノインなどの医薬品 AI を含む不当表示の化粧品の分析法を検討しました。サンプルを抽出し、2998 フォトダイオードアレイ(PDA)検出器と ACQUITY QDa 質量検出器を搭載した ACQUITY Arc システムを使用して分析しました。データ取り込みおよび解析は Empower 3 クロマトグラフィーデータソフトウェア(CDS)を使用しました。極性、非極性の両分析種に対し最大限の効率と卓越した保持能力を引き出すようデザインされた、粒子径 2.7 µm の CORTECS カラムを分離に使用しました。

いくつかのサンプルで禁止されている美白剤に対し陽性を示しました。包装ラベルは誤解を招くことが多く、美白剤が添付の製品情報に未記載であり、不適切な長期間使用や消費者に副作用が引き起こされる例が報告されています。

本分析法は、化粧品のルーチン分析において化粧品が規制および安全性基準を満たしていることを保証するための美白剤のスクリーニングへの適用が可能であると考えられます。

利点

  • CORTECS T3 カラムを使用した UHPLC 分離により、極性、非極性の美白剤に対する卓越した保持能力が実現
  • PDA 検出器と質量検出器を併用することで、美白剤の検出における信頼性が向上 
  • Empower 3 クロマトグラフィーデータソフトウェアによる統括されたデータ分析/解析およびレポート機能を用いた簡便性
  • HPLC と UHPLC の両分離を実行可能な 2 つの流路により分析法の開発と移管を促進 

はじめに

化粧品に使われる美白剤(ライトニング/ホワイトニング)は肌の色合いをより整えるために、一般に顔や首に使われますが、さらに皮膚面積が大きい部分に広範囲に使用されることもあります1-3。 これらの製品は美容化粧品としても、皮膚疾患を治療する治療薬としても市販されています。規制や安全性の観点からすれば、特に化粧品は医薬品の有効成分(AI)の含有が禁止されているため、化粧品と医薬品との区別は重要です。AI を含む場合、これらの製品は化粧品に対する欧州委員会規則1223/2009 および米国 FDA 規制に従って医薬品に分類されます4,5。 本アプリケーションノートでは、化粧品として市販されているにもかかわらず、ハイドロキノン、副腎皮質ステロイド、トレチノインなどの医薬品 AI を含む不当表示の化粧品の分析法を検討しました。安全性の観点から、医療専門家の指導やモニタリングがない場合は望ましくない副作用が引き起こされるおそれがあるため、化粧品へのステロイド使用は禁止されています6-8。 ハイドロキノンは皮膚科で色素過剰症の治療に広く使用されていますが、EU および数カ国では化粧品への使用を禁じています 4

また、米国では 2%(w/w)を超えるハイドロキノンを市販薬として扱うことを禁じています 5。ハイドロキノンを長期間使用すると、永続的な組織黒変症が生じ、皮膚を変色させます9-12。 副腎皮質ステロイドは高い効能をもつ薬剤であり、湿疹や乾癬などの炎症性皮膚疾患を治療するために使用されます。外用剤は一般にクリームやゲルとして販売されており、副腎皮質ステロイドを長期間使用すると、膿疱性乾癬、永続的な皮膚萎縮の他、高血圧、接触皮膚炎および糖尿病などの全身への影響を含む副作用が生じる可能性があります6-8。 トレチノインは製剤ではレチノイン酸として痤瘡の治療薬として使用されています。

これらの成分はその有効性のため、現在でも美白剤として市販化粧品に含有されています1-3。 本実験では、化粧品はオンライン販売業者から入手しました。HPLC と UHPLC の両分離が実現可能な二つの流路を持つ液体クロマトグラフィーシステムに PDA 検出器および質量分析計を併用した UHPLC を使用して、サンプルを分析しました。ACQUITY Arc システムは既存の HPLC 分析法を実施することができ、かつ高効率クロマトグラフィー分離目的の粒子径 2.5 - 2.7 µm のカラムを採用した UHPLC 分析法への移行も可能です。

極性、非極性の両分析種に対し最大限の効率と卓越した保持能力を引き出すようデザインされた、粒子径 2.7 µm の CORTECS カラムを分離に使用しました。最適化されたポアサイズ、C18 官能基密度およびエンドキャッピングにより、CORTECS T3 は 100% の水性移動相で使用でき、極性、非極性の両分析種に対して完全にバランスの取れた保持を達成しました。

いくつかのサンプルで禁止されている美白剤に対し陽性を示しました。包装ラベルは誤解を招くことが多く、美白剤が添付の製品情報に未記載であり、不適切な長期間使用や消費者に副作用が引き起こされる例が報告されています。 

本実験で分析した美白剤の構造式
図 1. 本実験で分析した美白剤の構造式

装置およびソフトウェア

すべての分離は 2998 フォトダイオードアレイ(PDA)検出器と ACQUITY QDa 質量検出器を搭載した ACQUITY Arc システムを使用して実施しました。データ取り込みおよび解析は Empower 3 クロマトグラフィーソフトウェアを使用しました。

サンプル前処理

8 種の美白剤(図 1)および 4 種のパラベンからなる標準化合物をメタノールに溶解し、段階希釈によりスパイク溶液を調製しました。パラベンは美白成分ではありませんが、細菌抑制剤として使用されることが多く、化粧品にも含まれることが多いため、本実験に用いました13。 マトリックスマッチド検量線を Making Cosmetics 社(Snoqualmie、WA、米国)から入手したブランクのクリームまたはゲルの化粧品基剤を使用して作成しました。マトリックス(クリーム/ゲル)のアリコート(1 g)を秤量し 15 mL 遠心管に入れ、100 µL のアセトニトリルスパイク溶液を添加しました。混合物を最初にボルテックスミキサーにかけてから、10 分間振とう(Eberbach 社製 hand motion shaker 500 rpm)し、スパイクサンプルを平衡化しました。アセトニトリル(4.9 mL)を添加し、サンプルを再び 25 分間振とうしました。振とう後サンプルを 3000 rpm、10 分間遠心しました。上清のアリコートを 0.2 µm PVDF フィルターにてシリンジろ過し、サンプル分析用にバイアルに入れました。化粧品サンプル(1 g)はアセトニトリル 5 mL を使用して同様の方法で抽出しました。

実験

UHPLC 分析法

UHPLC システム:

ACQUITY Arc

分離モード:

グラジエント

カラム:

CORTECS T3、2.7 µm、3.0×100 mm

移動相 A:

0.1% ギ酸水溶液

移動相 B:

メタノール

流速:

0.80 mL/分

カラム温度:

30 ℃

注入量:

0.5 ~ 2 µL

検出器:

2998 フォトダイオードアレイ(PDA)

PDA 検出:

210 - 400 nm

グラジエント:

0 分 0% B、0.5 分 0% B、2.2 分 2% B、6.0 分 95% B、8.0 分 99% B、9.0 分 99% B、初期条件に戻る

MS 条件

MS システム:

ACQUITY QDa

イオン化モード:

ESI+ および/または ESI-

キャピラリー電圧:

1.0 kV (+);0.8 kV (-)

コーン電圧:

10 V

脱溶媒温度:

600 ℃

ソース温度:

150 ℃

MS スキャン範囲:

100 - 600 m/z

サンプリングレート:

5 Hz

結果および考察

図 2 は、本実験で PDA 検出器を接続した ACQUITY Arc システムで検出された 12 種の標準化合物混合溶液の分析により得られたクロマトグラムを示します。実験によって決定した各標準化合物の保持時間(tR)を使用して分析種を同定するために、Empower 3 解析メソッドを作成しました。防腐剤として使用される 4 種のパラベンは化粧品サンプルの大半において検出されました(図 2、ピーク 4、6、7、8)13

標準化合物混合溶液(1 µL 注入)の ACQUITY Arc UV クロマトグラム(254 nm)
図 2.標準化合物混合溶液(1 µL 注入)の ACQUITY Arc UV クロマトグラム(254 nm)、CORTECS T3 カラムを使用

化粧品サンプル中に含まれるプロピオン酸クロベタゾールの同定

図 3(下)は、米国のオンライン販売業者から入手した美白ゲルサンプル抽出物の分析によって得られたクロマトグラムです。サンプルには、Empower 3 解析メソッドで設定した 4 種のパラベンの他、アルブチンおよび副腎皮質ステロイドのプロピオン酸クロベタゾールを含有していることが判明しました。ピークの保持時間(tR)は各標準物質のピークを用いて決定しました(図 3 上)。

美白ゲルサンプルの分析により得られた ACQUITY Arc クロマトグラム
図 3. CORTECS T3 カラムを使用した美白ゲルサンプルの分析によって得られた ACQUITY Arc クロマトグラム(254 nm)(下)。保持時間決定用の標準化合物溶液のクロマトグラム(100 µg/mL、0.5 µL の注入)(上)。サンプル中のプロピオン酸クロベタゾールは矢印で表示しました。

PDA 検出以外に質量検出を使用することは本分析において相補的な情報をもたらしました。図 4 は、ゲルサンプルおよび標準混合溶液中のプロピオン酸クロベタゾールに関する UV スペクトルとマススペクトルの比較です。プロピオン酸クロベタゾールは [M+H]+ に相当する m/z 467 において検出され、この m/z を Empower 3 解析メソッドでプロピオン酸クロベタゾールとして設定し、サンプル中の成分を同定しました。プロピオン酸クロベタゾールの同位体パターンは化学構造に塩素が存在することを反映しており、更なる確証が得られたことから、同定に関する信頼性も向上しました。標準混合溶液とサンプル溶液の UV スペクトルおよびマススペクトルは完全に同等でした。化粧品サンプルの製品ラベルにはプロピオン酸クロベタゾールは表示されていませんでした。

プロピオン酸クロベタゾールの PDA とマススペクトルの比較
図 4. 標準混合溶液およびサンプル溶液中のプロピオン酸クロベタゾールの PDA とマススペクトルの比較。同一の UV スペクトルと m/z、および塩素の存在を示す同位体パターンが観測されました。

定量

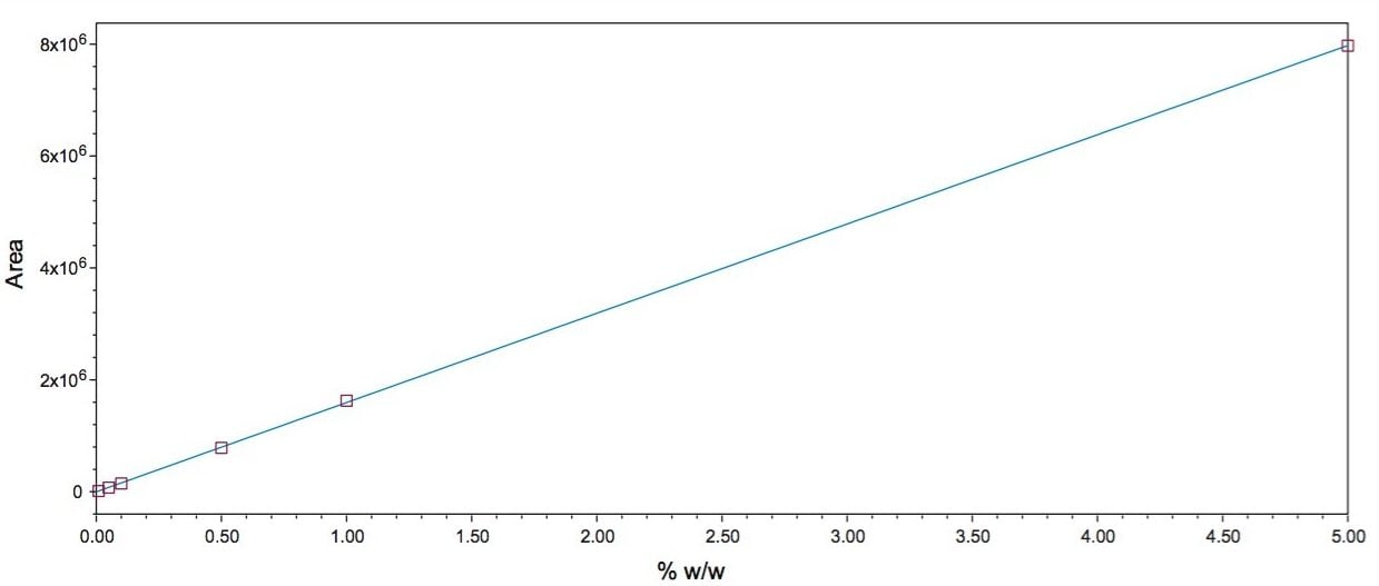
マトリックスマッチド検量線を作成するため、選択した美白剤をブランクのクリームまたはゲルの化粧品基剤にプレスパイクし実験方法セクションで説明した手順を用いて抽出しました。ゲルマトリックスからのプロピオン酸クロベタゾールとアルブチンの回収率は 93% 超、クリームマトリックスからのベタメタゾン-17-吉草酸エステル、ハイドロキノンおよびトレチノインの回収率は 98% 超でした。6 種のサンプル(表 1)を分析し、マトリックスマッチド検量線(R2 >0.999)を使用して 2D UV チャネンルにより定量しました(アルブチン = 280 nm;プロピオン酸クロベタゾール、ベタメタゾン-17-吉草酸エステルおよびベタメタゾン-21-吉草酸エステル = 238 nm;ハイドロキノン = 290 nm;トレチノイン = 352 nm)。ハイドロキノンをスパイクしたクリームマトリックスから作成した検量線の例を図 5 に示します。

ハイドロキノンの化粧品クリームマトリックスマッチド検量線
図 5.ハイドロキノン 0.01 - 5% w/w の化粧品クリームマトリックスマッチド検量線

表 1 の結果から、サンプルで検出された大半の成分濃度が AI の通常使用濃度内であったことが判明しました 2。NS サンプルを 1:1 で希釈にすることで、検出されたハイドロキノンを 0.01 - 5% の検量線範囲内に収めました。表 1 の結果は美白クリームサンプルおよび美白ゲルサンプルにプロピオン酸クロベタゾールが検出されたことを示しています。MJ-1 および MJ-2 サンプルは米国のオンライン販売業者から入手しました。この製品は、最適な美白効果を得るために両製品を同時に使用する皮膚トリートメント剤として市販されています。ハイドロキノン、ベタメタゾン-17-吉草酸エステルおよびトレチノインが MJ-1 サンプルから検出されました。第 2 のトリートメント剤 MJ-2 サンプルからはベタメタゾン-17-吉草酸エステルとその構造異性体のベタメタゾン-21-吉草酸エステル、およびトレチノインが検出されました。

選択された美白化合物の定量結果のまとめ
表 1. サンプル中の美白化合物の定量結果および通常使用濃度のまとめ 2

結論

米国のオンライン販売業者から購入した市販化粧品を対象とした本実験から、これらの製品には EU および米国で化粧品への使用が禁止されている副腎皮質ステロイドおよびトレチノインが含まれることが明らかになりました。ステロイド成分は 4 サンプルから検出されました。定量値は大体が通常使用範囲もしくはそれ以上でした。

3 サンプルからハイドロキノンが検出され、濃度は EU および米国の規制に違反する 3% w/w 超でした。

分析サンプルの一部では、有効成分の含有に関してラベルまたは添付の製品情報での説明がなされていませんでした。化粧品は一般に医師の指示なく長期にわたり使用されることから、化粧品の不正確または不十分なラベル表示は副作用を引き起こす可能性が高まります。

本実験では粒子径 3.0 - 5 µm を用いた HPLC 分析法に対応するだけでなく、粒子径 2.5 - 2.7 µm を用いて迅速かつ高効率の UHPLC 分離にも対応することでクロマトグラフィー分離の柔軟性を向上させ、生産性を最大限に高めることのできる、ACQUITY Arc システムを使用しました。

ACQUITY Arc システムでのクロマトグラフィー性能の最適化を目的に、極性、非極性の両分析種に対し最大限の効率と卓越した保持能力を引き出すようデザインされた CORTECS T3 カラムを、さまざまな種類の美白剤およびパラベンの分析を 1 回の分析で実施するために使用しました。

データインテグリティを保証するために、標準化合物を用いた Empower 3 による解析メソッドを作成し、試験化合物の同定および定量に使用しました。 

分析サンプル中の美白成分の同定についての検証では、Empower 3 ソフトウェアがもつ UV および マススペクトルのマッチング機能を活用しました。相補的な分析検出手法として質量分析を付加することで化合物の検出および同定の際の信頼性が向上しました。 

結論として、本アプリケーションノートで説明した分析方法は、化粧品のルーチン分析において化粧品が規制および安全性基準を満たしていることを保証するための美白剤のスクリーニングへの適用が可能であると考えられます。

参考資料

  1. Desmedt B, Courselle P, De Beer J O, Rogiers V, Deconinck E, De Paepe K. Illegal cosmetics on the EU market: a threat for human health? Arch Toxicol.88:1765–1766, 2014.
  2. Desmedt B, Van Hoeck E, Rogiers V, Courselle P, De Beer J O, De Paepe K, Deconinck E. Characterisation of suspected illegal skin whitening cosmetics.J Pharm Biomed Anal.90:85-91, 2014.
  3. Desmedt B, Courselle P, De Beer J O, Rogiers V, Grosber M, Deconinck E, De Paepe K. Overview of skin whitening agents with an INSIGHT into the illegal cosmetic market in Europe. JEADV, 30: 943–950, 2016.
  4. EU Regulation 1223/2009 [accessed on July 25th 2016].
  5. FDA: Hydroquinone Studies Under The National Toxicology Program (NTP).[accessed on July 25th 2016].
  6. Fiori J, Andrisane V. LC-MS Method for the Simultaneous Determination of Glucocorticoids in Pharmaceutical Formulations and Counterfeit Cosmetics Products.J Pharm Biomed Anal.91:185–192, 2014.
  7. Sik Nam Y, Kwon K I, Lee K B. Monitoring of Clobetasol Propionate andBetamethasone Dipropionate as Undeclared Steroids in Cosmetic Products Manufactured in Korea.Forensic Sci Intl.210:144–148, 2011.
  8. Gimeno P, Maggio A F, Bancilhon M, Lassu N, Gornes H, Brenier C, Lempereur L. HPLC–UV Method for the Identification and Screening of Hydroquinone, Ethers of Hydroquinone and Corticosteroids Possibly Used as Skin-Whitening Agents in Illicit Cosmetic Products.J Chrom Sci.54, 3: 343–352, 2016.
  9. Olumide Y M, Akinkugbe A O, Altraide D, Mohammed, T. Ahamefule N, Ayanlowo S, Onyekonwu C, Essen N. Complications of chronic use of skin lightening cosmetics.Intl J Dermatology.47: 344–353, 2008.
  10. Westerhof W, Kooyers T J. Hydroquinone and its analogues in dermatology – a potential health risk.J Cosmetic Dermatology.4:55–59, 2005.
  11. McGregor D. Hydroquinone: An Evaluation of the Human Risks from its Carcinogenic and Mutagenic Properties.Critical Reviews in Toxicology.37:10, 887–914, 2007.
  12. Al-Saleh I. Potential Health Consequences of Applying Mercury Containing Skin Lightening Creams During Pregnancy and Lactation Periods.Intl J Hygiene and Environmental Health.219:468–474, 2016.
  13. Cabaleiro N, de la Calle I, Bendicho C, Lavilla I. An overview of sample preparation for the determination of parabens in cosmetics.Trends in Analytical Chemistry.57:34–46, 2014.

ソリューション提供製品

 720005813JA、2016 年 11 月

トップに戻る トップに戻る