• Application Note

Polar and Non-Polar Compounds Test Mix

Polar and Non-Polar Compounds Test Mix

  • Waters Corporation
Blue, yellow, and green-white capsules pills in plastic tray

This is an Application Brief and does not contain a detailed Experimental section.

Abstract

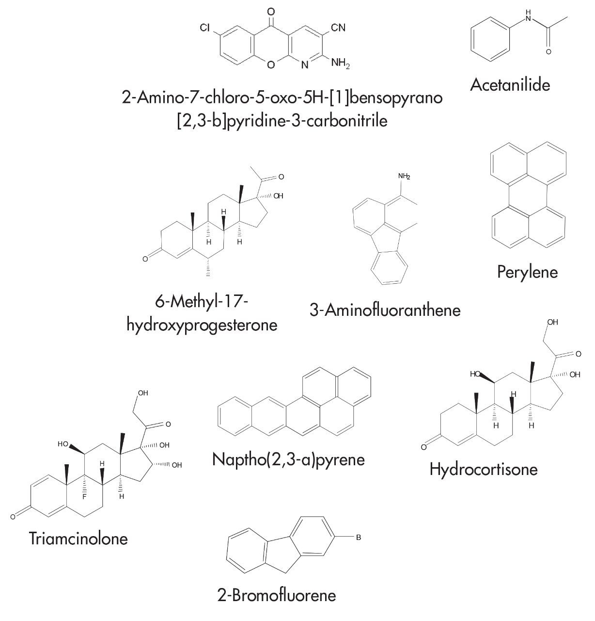
This application brief highlights the analysis of polar and non-polar compounds test mix using XTerra C18 columns.

Introduction

Polar and non-polar compounds are analyzed in this application brief.

Experimental

Conditions

Column:

XTerra MS C18 4.6 x 20 mm, 3.5 μm (p/n: 186001891)

Mobile phase A:

0.1% HCOOH in H2O

Mobile phase B:

0.1% HCOOH in ACN

Flow rate:

3.0 mL/min

Injection volume:

10 μL

Sample Concentration:

10 μg/mL

Temperature:

30°C

Detection:

UV @ 254 nm

Instrument:

Alliance HT 2795, 2996 PDA

Gradient

Results and Discussion

Featured Products

WA20738.089, June 2002

Back To Top Back To Top