• Application Note

Structural Elucidation of Unknown Impurities in the Kinase Inhibitor Imatinib Using UHPLC and High-Resolution Mass Spectrometry

Structural Elucidation of Unknown Impurities in the Kinase Inhibitor Imatinib Using UHPLC and High-Resolution Mass Spectrometry

  • Peng Chen
  • Matthew A. Lauber
  • Waters Corporation

Abstract

A UHPLC-HRMS method has revealed previously unidentified impurities in the synthesis of the kinase inhibitor, imatinib. Four specific impurities were structurally elucidated by means of a combination of informatics tools and expert interpretation. In one case, where an unknown was not assigned to any match in the library data system, we performed additional interrogation, and our process is reported here as a case study. After a prospective structure was assigned, the chemical candidate was synthesized and used for structure confirmation. The synthetic standard showed spectroscopic and mass spectral features that match those of the unknown impurity.

Benefits

  • HR-MS/MS and ion-mobility-aligned MSE offer clean fragment ion spectra for structural elucidation
  • High sensitivity, high-resolution chromatography can be achieved with a UPLC™ separation using a charged surface phenylhexyl RPLC Column
  • The UNIFI™ Elucidation Tool supports formula generation, fragment assignment, in silico library searching, and the importing of custom structures
  • The workflow described here is applicable to the analysis of other pharmaceutical impurities and degradation products

Introduction

Structural elucidation of pharmaceutical impurities and degradation products is a crucial component of therapeutic product development since these undesirable chemical entities may have negative pharmacological or toxicological consequences on patients.1–2 For the structural study of chemical impurities and degradation products contained in active pharmaceutical ingredients, it has become a standard practice to employ UHPLC and high-resolution mass spectrometry.3 Because impurities and degradants are frequently present in trace amounts, collecting and enriching chromatographic fractions for further hybrid NMR analysis is time-consuming and challenging. It is essential therefore to have alternative approaches on hand for structural elucidation. One such alternative is to interrogate a newly discovered target chemical using a combination of chromatography (such as UHPLC), chemical formula generation by high-resolution mass spectrometry, MS/MS or MSE fragment ion matching (with library spectra or with in silico fragmentation), candidate list filtering with structure scrutiny, and final structure confirmation with an authentic standard. Putative structural assignments with high confidence scores are particularly useful in impurity assessment, but when the exact structural confirmation is required, this latter step to acquire or synthesize a top candidate for structural confirmation is essential.

Today, the majority of commercial mass spectrometers come with data systems that can apply MS/MS or MSE fragment-matching algorithms. They also generally come with in silico fragmentation programs.4 Searching against standard MS/MS spectral libraries is also available, but it should be understood that this approach is constrained by the sizes of the currently available libraries as well as the variability that comes with different acquisition methods and parameters. Nevertheless, these searches can be of help to an analyst because they provide a list of potentially similar compounds that can serve as a starting point for another algorithm or manual interpretation.5–6

Drug impurities and degradation products created during the synthesis, manufacturing, and storage of pharmaceuticals are frequently present in varying levels in finished products. It is possible that some contaminants and degradation product structures have never been recognized or recorded before. These substances can be divided into two categories: "known-unknowns" for well-known compounds that have not been linked to the medications under examination, and "unknown-unknowns" or "true-unknowns" for novel compounds that have not been identified before. Expert assistance is necessary for both scenarios to produce a candidate formula, identify fragmentation pathways, suggest the most likely structures, and obtain legitimate standards.

In a previous application note concerning a UHPLC imatinib analysis, we applied a charged surface hybrid phenyl column and MS-compatible mobile phases7 to achieve a high efficiency and high selectivity separation. With that work, we were able to rapidly separate imatinib and nine of its related impurities with an LC-MS compatible run. This modernized method has allowed us to visualize quite a few previously unidentified impurities that were present in quantities comparable to those already reported in the literature. In this report, we performed structural elucidation of four specific impurities using a combination of Waters’ elucidation tools and expert interpretation. Putative structures have been assigned to these four new impurities, one of which is used to provide a detailed case study on impurity identification (ID). The derived structure was specifically synthesized by a contract laboratory for follow-up structure confirmation. The chromatographic retention time, UV, MS, MSE, and MS/MS spectra of the authentic synthetic standard closely matched those of the unidentified impurity in the investigated batch of imatinib.

Experimental

Imatinib was a product of Sigma (Cat. No. CDS022173). 4-[[4-[[4-[[4-methyl-3-[(4-pyridin-3-ylpyrimidin-2-yl)amino]phenyl]carbamoyl]phenyl]methyl]piperazin-1-yl]methyl]benzoic acid (shorthand name: imatinib benzoic acid) was specifically synthesized at Toronto Research Chemicals. While the batch of imatinib investigated in this report was synthesized by a chemical vendor and not a pharmaceutical manufacturer, it is believed that the synthesis and purification procedures are still likely of relevance to the overall pharmaceutical industry.

Sample Preparation

Imatinib was prepared in methanol at a 1 mg/mL concentration.

UPLC Method Conditions

UPLC system:

ACQUITY™ UPLC I-Class

Detection:

UV detection at 267 nm

Vials:

Total Recovery 12 x 32 mm glass screw neck vials (p/n: 186000384C)

Column:

ACQUITY Premier UPLC CSH Phenyl-Hexyl 1.7 µm Column, 130 Å, 2.1 mm x 100 mm (p/n: 186009475).

Column temperature:

35 °C

Sample temperature:

10 °C

Injection volume:

1.0 µL

Flow rate:

0.40 mL/min

Mobile phase A:

0.1% (v/v) Formic acid and 10 mM ammonium formate in water.

Mobile phase B:

0.1% (v/v) Formic acid in acetonitrile.

MS Conditions

MS system:

Vion IMS QTof

Ionization mode:

ESI positive and negative, resolution

Acquisition range:

50–1000 m/z

Capillary voltage:

2.5 kV

Sampling cone voltage:

40 V

HDMSE collision energy:

6 eV (low energy), and 20–50 eV ramp (high energy)

Source temperature:

150 °C

Desolvation temperature:

600 °C

Desolvation gas:

1000 L/h

Data Management

UPLC and MS software

UNIFI 1.9.4 for data acquisition and analysis

Results and Discussion

An ACQUITY Premier CSH 130 Å, 1.7 µm Phenyl-Hexyl Column was used in our earlier application note to improve selectivity towards the N-containing heterocyclic structures of the imatinib impurities. Imatinib and its nine associated impurities were subsequently baseline-separated. Figure 1 displays several new, unknown contaminants that have been discovered under these improved UPLC conditions. Along with multiple known peaks representing 1-Oxide (through comparison with the standard) and EP impurities F, C, J, and D8, four substantial unknown peaks (Unknowns 1 to 4) were also found. HDMSE (High Definition MSE with ion mobility alignment) was used to acquire fragmentation spectra of these peaks. The Waters™, UNIFI Elucidation Tool produced high-score candidates for Unknowns 1 and 2, but low-score entries for Unknowns 3 and 4, indicating that the structures of Unknowns 3 and 4 are likely not contained in the library database. Through expert-driven fragmentation analysis, putative structures were proposed and imported to the custom Scientific Library in the database. Subsequently, the actual High Definition MSE fragments of compounds 3 and 4 were searched against the Scientific Library, and high confidence match scores (i-Fit confidence >95%) were obtained, strongly corroborating the elucidated structures. The proposed structures for all four unknowns are tabulated in Table.

Separation of imatinib and related impurities with MS-compatible mobile phases
Figure 1. Separation of imatinib and related impurities with MS-compatible mobile phases and an ACQUITY Premier CSH Phenyl-Hexyl column (2.1 mm x 100 mm C18 1.7 µm, 130 Å). Detection: 267 nm. Flow rate: 0.4 mL/min. Gradient: 0.5% B to 100% B in 10 minutes with a linear gradient. Upper chart: TIC traces of imatinib and methanol blank. Lower chart: UV 267 nm traces of imatinib and methanol blank.
List of proposed structures for Unknowns 1–4
Table 1. List of proposed structures for Unknowns 1–4.

While the match score-based methodology along with a logical study of the fragmentation pathways can produce highly accurate and confident structural assignments, the MS-based method alone cannot unambiguously distinguish structurally similar isomers. Therefore, other complementary sources of information are necessary (including chromatographic retention time and UV spectra at least). Better still, authentic chemical standards should be purchased or synthesized for direct spectral and chromatographic comparison. This report uses Unknown 3 as a case study to show how informatics-driven and expert-driven methodologies can be used in concert to structurally elucidate an unidentified structure using UHPLC-HRMS and chemical verification. These actions include the following but are not limited to:

1. Identifying adduct patterns, isotopic patterns, and molecular ions, where commonly observed adducts in the positive mode can include (M+H)+, (M+NH4)+, (M+Na)+, and (M+K)+, and (M-H2O+H)+
2. Generation of a chemical formula based on the high-resolution MS data
3. Calculation of the degree of unsaturation (double bond equivalence)
4. Analysis of major fragments and conjecturing logical fragmentation pathways
5. Proposing a molecular structure
6. Importing the putative molecular structure to the UNIFI Elucidation Tool for matching scores and fragment analysis, where a high score increases confidence in the putative structural assignment
7. Purchasing the corresponding standard, if available, or having it custom synthesized
8. Comparing chromatographic retention times and UV/MS/MSE/MS/MS spectra
9. Performing a spiking experiment

HDMSE fragmentation spectra of the ions of interest (m/z 614.28) in positive mode
Figure 2. HDMSE fragmentation spectra of the ions of interest (m/z 614.28) in positive mode.

Figure 2 shows the MSE fragmentation spectra of the ion of interest (m/z 614.28) in positive mode. The presence of (M+H)+ and (M+Na)+ adduct patterns suggested that M may be the exact molecular weight of this unknown molecule. This observation was further supported by the MSE experiment in the negative mode, as shown in Figure 4, where (M-H)- was detected.

The m/z values of the fragments in both positive and negative modes were also utilized in the elucidation tool for formula generation and a DBE (double bond equivalent) calculation. The fragment ion signal of 394.165 in Figure 3 indicated a connection to imatinib, because it too produced an identical fragment ion m/z value. The presence of the strong (M-H)- signal implied the presence of a carboxylate group in the molecule. In light of the information available, a hypothetical structure was proposed. Corresponding fragmentation pathways are illustrated in Figure 4 (positive mode) and Figure 5 (negative mode).

HD-MSE fragmentation spectra of the ions of interest (m/z 612.27) in negative mode
Figure 3. HDMSE fragmentation spectra of the ions of interest (m/z 612.27) in negative mode.
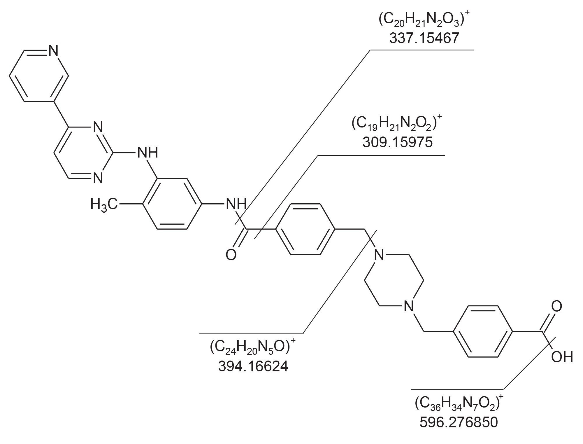
Fragmentation pathway of the proposed molecule for Unknown 3
Figure 4. Fragmentation pathway of the proposed molecule for Unknown 3 (positive mode).
Fragmentation pathway of the proposed molecule for Unknown 3
Figure 5. Fragmentation pathway of the proposed molecule for Unknown 3 (negative mode).

The proposed structure was imported to the Scientific Library of the UNIFI Elucidation tool and used in the search against the MSE spectra of the Unknown 3, resulting in excellent i-FiT Confidence scores (99.70 and 100.00% in positive and negative ion modes). With high confidence established for the proposed structure, the candidate molecule was custom synthesized by a contract lab. The UV, MSE, and MS/MS spectra of the synthetic candidate compared favorably to those of Unknown 3 in both ionization modes, as shown in Figures 6–10. Additionally, a spiking experiment confirmed there are matching RPLC retention times (Figure 11).

Comparison of UV spectra of imatinib benzoic acid
Figure 6. Comparison of UV spectra of imatinib benzoic acid (custom synthesized standard) and Unknown 3.
Comparison of positive ion mode HD-MSE spectra of imatinib benzoic acid and Unknown 3
Figure 7. Comparison of positive ion mode HDMSE spectra of imatinib benzoic acid and Unknown 3.
Comparison of positive ion mode MS/MS spectra of imatinib benzoic acid and Unknown 3
Figure 8. Comparison of positive ion mode MS/MS spectra of imatinib benzoic acid and Unknown 3.
Comparison of negative ion mode HD-MSE spectra of imatinib benzoic acid and Unknown 3
Figure 9. Comparison of negative ion mode HDMSE spectra of imatinib benzoic acid and Unknown 3.
Comparison of negative ion mode MS/MS spectra of imatinib benzoic acid and Unknown 3
Figure 10. Comparison of negative ion mode MS/MS spectra of imatinib benzoic acid and Unknown 3.
The overlay of UV chromatograms for imatinib and imatinib spiked with custom synthesized imatinib-4-benzoic acid standard
Figure 11. The overlay of UV chromatograms for imatinib and imatinib spiked with custom synthesized imatinib-4-benzoic acid standard.

Conclusion

The identification of an unknown chemical substance by mass spectrometry alone remains to be a challenging task. Thanks to the development of high-resolution, High Definition MSE (with ion mobility drift-time alignment), and an elucidation toolset developed and made available by Waters, it has become more straightforward to structurally elucidate known and unknown chromatographic peaks. In this study, a high-resolution LC separation was paired with HDMSE data acquisition to give a wealth of characterization data. Elucidation tools were applied to these data to reveal the chemical structures of four previously unidentified impurities in preparation of imatinib. Results from elucidation tools were expanded upon with quick manual interpretation to finalize putative identifications. An example case study on imatinib benzoic acid shows how to implement adduct pattern recognition, molecular ion determination, fragment interrogation, and structure assignments. This case study also shows how to import proposed structures to a custom library for confirmatory score matching. The analytical method provided here is intended to serve as a modern example of LC-MS being applied to the impurity ID in the pharmaceutical industry.

References

  1. Liu, Y. et al. Mass spectrometry-based structure elucidation of small molecule impurities and degradation products in pharmaceutical development. Trends in Analytical Chemistry 121, 115686 (2019).
  2. Pan, C. et al. Identification of Pharmaceutical Impurities in Formulated
  3. Dosage Forms. J Pharm Sci 100, 1228–1259 (2011).
  4. Li, M. et al. Application of LC–MSn in conjunction with mechanism-based stress studies in the elucidation of drug impurity structure: Rapid identification of a process impurity in betamethasone 17-valerate drug substance. Journal of Pharmaceutical and Biomedical Analysis 48, 1451–1456 (2008).
  5. Tian, Z. et al. Strategies for structure elucidation of small molecules based on LC–MS/MS data from complex biological samples. Computational and Structural Biotechnology Journal 20, 5085–5097 (2022).
  6. Kind, T. et al. Advances in structure elucidation of small molecules using mass spectrometry. Bioanal Rev 2, 23–60 (2010).
  7. Stein, S. Chemical Substructure Identification by Mass Spectral Library Searching. J Am Soc Mass Spectrum 6, 644–655 (1995).
  8. Chen, P. et al. Modernized Impurity Analysis of the Kinase Inhibitor Imatinib by High-Resolution LC with MS-Compatible Mobile Phases. Waters Application Note. 720007340 (2021).
  9. European Pharmacopoeia 10.0, 2926–2928.

720007848, January 2023

Back To Top Back To Top