Targeted Omics and Biomarker Quantification

Targeted Omics and Biomarker Quantification

Transition from biomarker discovery to verification and quantification of biomarkers using high-throughput, high-sensitivity quantitative LC-MS/MS solutions. With Waters Targeted Omics Method Library, you can quickly and easily implement precise targeted quantification methods for endogenous proteins, lipids, and metabolic biomarkers while supporting optimum assay sensitivity and robustness.

Transition from biomarker discovery to verification and quantification of biomarkers using high-throughput, high-sensitivity quantitative LC-MS/MS solutions. With Waters Targeted Omics Method Library, you can quickly and easily implement precise targeted quantification methods for endogenous proteins, lipids, and metabolic biomarkers while supporting optimum assay sensitivity and robustness.

An incredibly compact, more sustainable tandem quadrupole mass spectrometer, the Waters Xevo TQ Absolute XR enables your lab to achieve and maintain high performance and productivity.
An incredibly compact, more sustainable tandem quadrupole mass spectrometer, the Waters Xevo TQ Absolute XR enables your lab to achieve and maintain high performance and productivity.

Overview

Translating biomarker discoveries into practical, quantitative assays can be complex, requiring considerations for throughput, reproducibility, scalability, and sensitivity. As demand grows for targeted assays in proteomics, metabolomics, and lipidomics, method development, and implementation become increasingly time-intensive and challenging.

Waters streamlines targeted omics analysis with innovative LC-MS/MS solutions that enhance your laboratory’s biomarker quantification with precision and accuracy, accelerating results, and improving efficiency. The Waters Targeted Omics Library offers ready-to-use, downloadable methods, reducing development time, and enabling your lab to stay ahead in biomarker discovery—without overextending your resources. With Waters, you can:


Applications

Discover how Waters LC-MS/MS solutions tackle common challenges in peptides MRM selection, method optimization, and sensitivity in targeted proteomics assays. With robust, high-throughput, and high-sensitivity technologies, Waters supports efficient quantitative method development implementation for high quality quantitation of peptide biomarkers.

Discover how Waters LC-MS/MS solutions tackle common challenges in peptides MRM selection, method optimization, and sensitivity in targeted proteomics assays. With robust, high-throughput, and high-sensitivity technologies, Waters supports efficient quantitative method development implementation for high quality quantitation of peptide biomarkers.


Molecular structure of a peptide, sequence of amino acids

When measuring changes in specific lipids within complex samples, method development can be challenging. Discover how the Waters free-to-download LipidQuan-R methodologies streamline the implementation of high-performance LC-MS/MS assays, maximizing the benefits of Waters chromatography and mass spectrometry technologies for lipid quantification through minimized non-specific binding and optimized negative ion MS sensitivity.

When measuring changes in specific lipids within complex samples, method development can be challenging. Discover how the Waters free-to-download LipidQuan-R methodologies streamline the implementation of high-performance LC-MS/MS assays, maximizing the benefits of Waters chromatography and mass spectrometry technologies for lipid quantification through minimized non-specific binding and optimized negative ion MS sensitivity.


Cell membrane, lipid bilayer

Address the challenges of monitoring low-mass, highly polar endogenous metabolites with Waters targeted metabolomics solutions, including free-to-download MetaboQuan-R methodologies and high-performance, low-binding chemistries paired with advanced LC-MS/MS technologies.

Address the challenges of monitoring low-mass, highly polar endogenous metabolites with Waters targeted metabolomics solutions, including free-to-download MetaboQuan-R methodologies and high-performance, low-binding chemistries paired with advanced LC-MS/MS technologies.


Small molecules floating

Solutions


With Waters systems, streamline analysis and accelerate sample throughput with solutions tailored to the needs of your laboratory.

With Waters systems, streamline analysis and accelerate sample throughput with solutions tailored to the needs of your laboratory.

Quantitate with Absolute Power and eXtreme Robustness

Quantitate with Absolute Power and eXtreme Robustness

Gain absolute confidence to make powerful decisions and reach lower limits of quantitation, maintaining optimum sensitivity for longer, with the Xevo TQ Absolute XR instrument.

  • Targeted Proteomics Applications
  • Targeted Lipidomics Applications
  • Targeted Metabolomics Applications

Delivering performance and speed without compromise

Delivering performance and speed without compromise

Whether you’re in academia or industry, achieve exceptional science 100% of the time with the Xevo MRT Mass Spectrometer. This state-of-the-art QTof delivers 100K FWHM resolution at 100 Hz with sub-ppm mass accuracy for confident identification and greater productivity in your lab.

  • Targeted Metabolomics Applications
  • Targeted Lipidomics Applications

Increasing robustness and sample throughput with sensitivity and speed

Increasing robustness and sample throughput with sensitivity and speed

The Evosep Eno is an easy-to-use, robust and reliable chromatographic solution for high performance and standardized proteomics, preparing for next generation workflow integration. It is fully compatible with the Waters Xevo TQ Absolute XR and the Xevo MRT Mass Spectrometers, ensuring seamless performance across advanced analytical platforms.

  • Targeted Proteomics Applications

Achieve more with less

Achieve more with less

Nanoflow ESI combines the benefits of ESI with the high sensitivity of a low flow source, saving valuable sample while still achieving LOQs.

  • Targeted Proteomics Applications
  • Targeted Metabolomics Applications
  • Targeted Lipidomics Applications

Complex chromatography challenges, solved

Complex chromatography challenges, solved

Enhance the quantitative performance of your LC-MS/MS assay and minimize the impact of non-specific binding with Waters ACQUITY Premier UPLC System.

  • Targeted Proteomics Applications
  • Targeted Metabolomics Applications
  • Targeted Lipidomics Applications

Let your LC inlet do the work for your nano- to micro-scale separations

Let your LC inlet do the work for your nano- to micro-scale separations

Achieve the sensitivity of micro- and nanoflow liquid chromatography with UPLC technology with the ACQUITY UPLC M-Class System, accommodating overflow rates from 200 nL/min to 100 µL/min and column inner diameters (I.D.) from 75 µm to 1.0 mm.

  • Targeted Proteomics Applications

Compliance-ready, networkable applications-based software to streamline LC-MS data acquisition, processing, and reporting.

Compliance-ready, networkable applications-based software to streamline LC-MS data acquisition, processing, and reporting.

Delivering market-leading versatility and flexibility for all application areas

Delivering market-leading versatility and flexibility for all application areas

Add flexibility in converting sample data into valuable knowledge using Waters MassLynx Mass Spectrometry Software with improved performance while acquiring, analyzing, managing, and sharing mass spectrometry information.

  • Targeted Proteomics Applications
  • Targeted Lipidomics Applications
  • Targeted Metabolomics Applications

Streamline quantitative data acquisition and processing

Streamline quantitative data acquisition and processing

Eliminate complex time-consuming manual data review and increase your laboratory productivity by converting data into useful information using Waters MassLynx Quantitation Applications, optimizing your data analysis and processing requirements.

  • Targeted Proteomics Applications
  • Targeted Lipidomics Applications
  • Targeted Metabolomics Applications

Quality consumables to support your targeted omics success.

Quality consumables to support your targeted omics success.

Speed. Sensitivity. Resolution. Confidence. You can have it all.

Speed. Sensitivity. Resolution. Confidence. You can have it all.

Reduce the risks associated with unpredictable chromatography with ACQUITY Premier Columns with MaxPeak High Performance Surfaces (HPS) Technology, which allows you to see and do more by reducing analyte/surface interactions.

  • Targeted Proteomics Applications
  • Targeted Lipidomics Applications
  • Targeted Metabolomics Applications

Achieve testing efficiencies and accurate results using streamlined Waters services and support.

Achieve testing efficiencies and accurate results using streamlined Waters services and support.

Your success is just a click away

Your success is just a click away

Optimize your laboratory's productivity and success with Waters Global Services. Maintain peak system performance, minimize downtime, address application challenges, and support stringent compliance requirements.

  • Targeted Proteomics Applications
  • Targeted Lipidomics Applications
  • Targeted Metabolomics Applications

Make science more accessible with Waters Capital

Make science more accessible with Waters Capital

Maximize your lab resources and minimize risk with payment options from Waters Capital, which includes innovative solutions to upgrade aging instruments, customized support, and flexible options to bundle your complete laboratory solution in one easy monthly payment – everything you need to advance your science.

  • Targeted Proteomics Applications
  • Targeted Lipidomics Applications
  • Targeted Metabolomics Applications

The data speaks for itself

The data speaks for itself
Overlay of extracted MRM chromatograms
Overlay of extracted MRM chromatograms for each of the light and heavy stable isotope labeled peptides in the mixture for a 0.5 μL injection in the presence of E. coli background matrix. Red indicates the light and blue the heavy labeled analogue.
Variation in bile acid abundance
Variation in bile acid abundance following dosing with methapyrilene at 50 and 150 mg/kg in Rodent Toxicology Study.
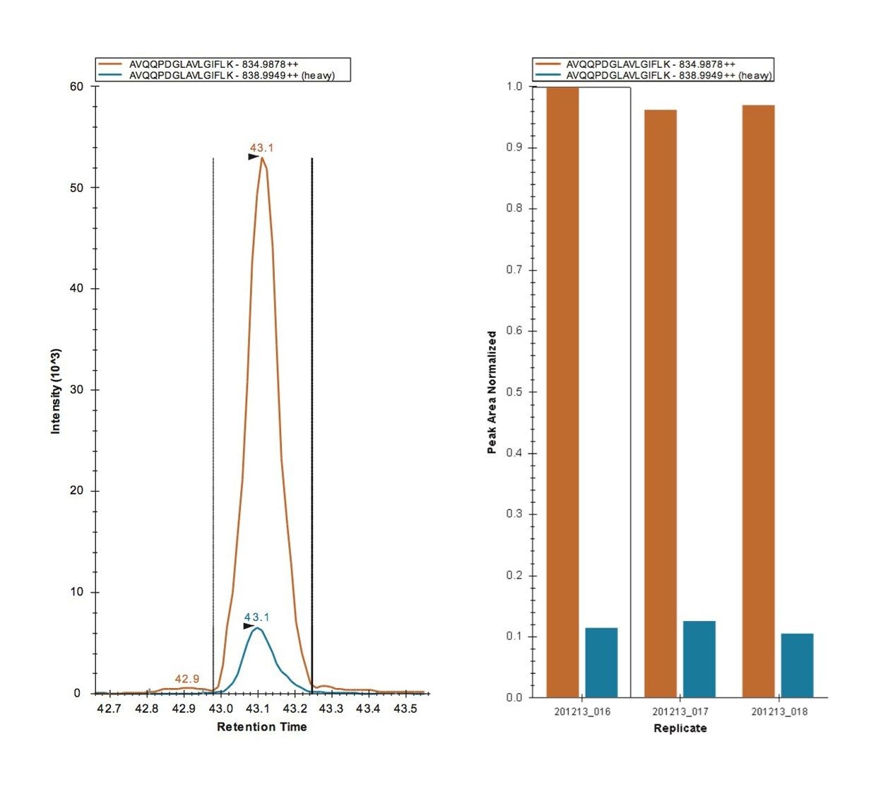
Quantitative measurement consistency
Quantitative measurement consistency for peptide AVQQPDGLAVLGIFLK, where brown indicates the light peptide analogue analyzed by ionKey/MS System.
Negative ion mode chromatogram representing HILIC separation of different lipid classes in plasma
Negative ion mode chromatogram representing HILIC separation of different lipid classes in plasma. The inset chromatogram shows a zoom of the different lipid classes.

Webinars and Resources



  • Application Notebook

Peptide and Protein Bioanalysis

Peptide and Protein Bioanalysis
  • Infographic

Targeted Omics Method Library

Targeted Omics Method Library

Related

Waters proteomics solutions and expertise are leading resources for proteomics discovery research. Our MS-based systems maximize efficiency and provide unique tools for protein discovery, characterization, quantification, and validation.

Combine deep coverage of cellular lipids and the robustness and precision for large studies with Waters lipidomics solutions.

Enhance your workflows for discovery and targeted metabolomics with Waters solutions.

Learn more about Targeted Omics and Biomarker Quantification Solutions.

Learn more about Targeted Omics and Biomarker Quantification Solutions.

An incredibly compact, more sustainable tandem quadrupole mass spectrometer, the Waters Xevo TQ Absolute XR enables your lab to achieve and maintain high performance and productivity.
Back To Top Back To Top