Einführung in die Hydrolyse

Einführung in die Hydrolyse

1.1 ARTEN DER HYDROLYSE

1.1 ARTEN DER HYDROLYSE

Peptide und Proteine bestehen aus vielen Aminosäuren, die über Peptidbindungen miteinander verbunden sind. Diese Biomoleküle bilden wiederum viele verschiedene Proben wie Biotherapeutika, Nahrungsmittel und Futtermittel. Um die in diesen Biomolekülen enthaltenen Aminosäuren zu analysieren, ist es entscheidend, dass die Bindungen zu freien Aminosäuren hydrolysiert werden. Während dieses Vorgangs können jedoch die unterschiedlichen chemischen Eigenschaften der konjugierten Aminosäurebindungen sowohl die Effizienz der Spaltung der Aminosäurebindungen als auch die Wiederfindung der einzelnen Aminosäuren beeinflussen. Beispielsweise kann die Wiederfindung der Aminosäuren während der Hydrolyse durch spezifische chemische Reaktionen, Störungen der Reagenzienmatrix und die Stabilität der Aminosäuren selbst beeinflusst werden.

Angesichts der großen Unterschiede in den chemischen und physikalischen Eigenschaften von Proben und Aminosäuren wurden im Laufe der Jahre verschiedene Hydrolyseverfahren entwickelt. Die Vorgehensweisen unterscheiden sich je nach Art der Reaktion (chemisch oder enzymatisch), der Art der chemischen Reaktion (Säure oder Base) und dem Aggregatzustand der Reaktion (Flüssigkeit oder Dampf). Die Unterschiede können sich auf die Wiederfindung spezifischer Aminosäuren, die durch spezifische Reagenzien zerstört werden können, oder auf die für die Hydrolyse erforderliche Effizienz und Zeit auswirken. In einigen Fällen können mehrere Hydrolyseverfahren erforderlich sein, um den Gesamtaminosäuregehalt einer Probe zu bestimmen. Die gebräuchlichen Arten chemischer Hydrolysereaktionen und die Hydrolysemodi werden unten beschrieben.

Hinweis: Die enzymatische Hydrolyse, ein selten angewandtes Verfahren, wird in diesem Dokument nicht behandelt.

Beachten Sie auch, dass die vielen chemischen Hydrolysereaktionen mit unterschiedlichen Geräten durchgeführt werden können. Historisch wurde bei Hydrolyseverfahren eine Wärmequelle unter Vakuum verwendet, um den Abschluss der Reaktion sicherzustellen, aber mit moderneren Geräten hat sich die durch Mikrowellen induzierte Hydrolyse ebenfalls weit verbreitet. Die Vorteile jeder Methode sind unterschiedlich und Sie sollten diese vor der Auswahl des Geräts untersuchen.

1.1.1 Säurehydrolyse

Die Säurehydrolyse ist die gebräuchlichste Methode zur Hydrolyse einer Proteinprobe und kann entweder in der Dampf- oder in der Flüssigphase durchgeführt werden. Obwohl eine Reihe verschiedener Säuren für diese Reaktion verwendet werden können, ist die gebräuchlichste 6 M HCl. Da die HCl verdampft, kann sie auch zur Rückgewinnung des Hydrolysats in kleineren Puffermengen verwendet werden, was besonders bei kleinen Probenmengen nützlich ist. Darüber hinaus ermöglicht die Vielseitigkeit von HCl den Einsatz in der Flüssig- oder Dampfphasenhydrolyse.

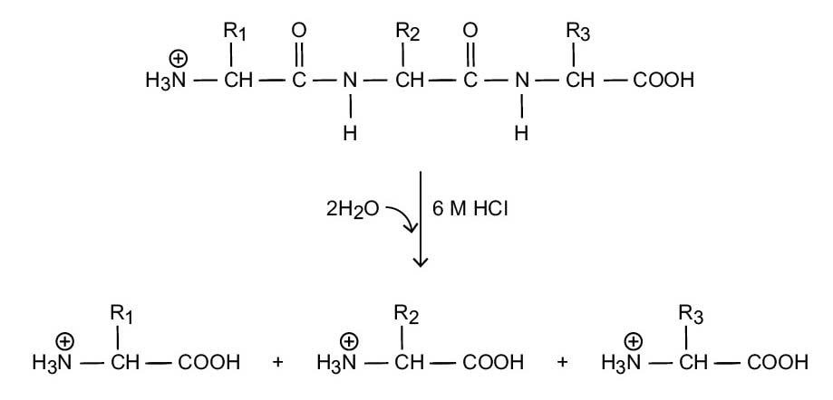
Die Säurehydrolyse mit 6 M HCl führt zur Anlagerung von Wasser an jede kovalente Peptidbindung, wodurch die gewünschten individuellen Aminosäuren erhalten werden (Abbildung 1). Jedoch werden bei der Hydrolyse mit HCl nicht alle Aminosäuren vollständig zurückgewonnen. Einige Aminosäuren werden zu ihren Säureformen wie Asparagin und Glutamin hydrolysiert, die Asparaginsäure bzw. Glutaminsäure bilden. Außerdem können andere Aminosäuren nicht zuverlässig gemessen werden. Zum Beispiel wird Tryptophan während der Reaktion zerstört, während schwefelhaltige Aminosäuren (z. B. Cystein, Methionin) aufgrund der teilweisen Zerstörung der Aminosäuren nicht zuverlässig gemessen werden können. Darüber hinaus können Aminosäuren wie Tyrosin, Serin und Threonin aufgrund der Natur der Säurehydrolyse eine geringere Wiederfindung aufweisen.

Abbildung 1. Säurehydrolyse von Proteinen.
Abbildung 1. Säurehydrolyse von Proteinen.

Einige der schwefelhaltigen Aminosäuren (z. B. Cystein, Methionin) können jedoch bei der Säurehydrolyse durch HCl konserviert werden, wenn eine Vorbehandlung durchgeführt wird. Um diese Aminosäuren genau zu quantifizieren, kann die Probe vor der Säurehydrolyse durch HCl oxidiert oder alkyliert werden. Zur Oxidation, typischerweise mit Perameisensäure, werden die schwefelhaltigen Aminosäuren vor der Säurehydrolyse durch HCl oxidiert. Dies führt zu einer genauen Quantifizierung dieser Aminosäuren in ihren oxidierten Formen. Alternativ ermöglicht die Alkylierung die Konservierung der schwefelhaltigen Aminosäuren (Cystein), um eine genaue Quantifizierung in ihren alkylierten Formen zu ermöglichen. Zwei der gebräuchlichsten Alkylierungsreagenzien produzieren Cystein in einer von zwei Formen, Pyridylethylcystein oder Carboxymethylcystein. Ein weiterer Vorteil dieses Alkylierungsverfahrens ist, dass es andere Aminosäuren nicht beeinflusst.

Schließlich gibt es angesichts der Schwierigkeiten bei der Quantifizierung einiger Aminosäuren durch HCl-Hydrolyse alternative Säurehydrolysetechniken, die für spezifische Aminosäuren angewendet werden können. Eine Technik verwendet Sulfonsäuren wie Methansulfonsäuren (MSA), um Tryptophan und Methionin (in der Sulfoxidform) zu quantifizieren. Dieses Reagenz ist zwar nicht flüchtig, konserviert jedoch Tryptophan und Methioninsulfoxid für die Quantifizierung.

1.1.2 Alkalische Hydrolyse

Während die Säurehydrolyse mit HCl bei weitem die gebräuchlichste Technik zur Hydrolyse von Proteinen und Peptiden ist, wird zur Messung von Tryptophan häufig eine alkalische oder basische Hydrolyse eingesetzt. Da Tryptophan unter basischen Bedingungen stabil ist, ermöglicht diese Technik eine genaue Quantifizierung von Tryptophan und wird häufig für eine Vielzahl von Proben verwendet, von Lebens- und Futtermitteln bis hin zu Peptiden und Proteinen. Bei der alkalischen Hydrolyse wird typischerweise NaOH oder KOH als Reagenz verwendet. Die alkalische Hydrolyse kann jedoch zur quantitativen Bestimmung aller Aminosäuren die Säurehydrolyse nicht ersetzen. Unter basischen Bedingungen werden Arginin, Cystein, Serin und Threonin zerstört und können nicht quantifiziert werden. Andere Aminosäuren sind ebenfalls betroffen, daher wird die alkalische Hydrolyse normalerweise nur für Tryptophan verwendet.

1.2 HYDROLYSE-MODI

1.2 HYDROLYSE-MODI

Hydrolysatreaktionen werden entweder in der Flüssig- oder in der Dampfphase durchgeführt. Unabhängig vom Modus wird die Reaktion durch speziell für die Hydrolyse entwickelte Geräte erleichtert. In der Vergangenheit liefen viele Hydrolysatreaktionen bei hohen Temperaturen und unter Vakuum über einen Zeitraum von Stunden bis Tagen ab, aber mit dem Aufkommen von Mikrowellen-Hydrolysegeräten kann derselbe Prozess bei niedrigeren Temperaturen innerhalb von Minuten ablaufen.

1.2.1 Flüssigphasenhydrolyse

Bei der Flüssigphasenhydrolyse werden Probe und HCl zur Reaktion direkt in das Hydrolyseröhrchen gegeben. Bei diesem Verfahren müssen die Probe, der interne Standard und die Säure direkt in das Hydrolyseröhrchen gegeben werden. Das Röhrchen wird mit Stickstoff gespült, dann verschlossen und so lange erhitzt, bis die Hydrolyse abgeschlossen ist. Die Flüssighydrolyse kann Stunden bis Tage dauern. Dieses Verfahren wird normalerweise für komplexere Proben verwendet.

1.2.2 Dampfphasenhydrolyse

Bei der Dampfphasenhydrolyse reagiert die Probe nur mit HCl in der Dampfphase. Hierzu müssen die Probe und der interne Standard (falls verwendet) in Hydrolyseröhrchen gegeben werden. Die Probe wird dann getrocknet und jedes Röhrchen wird offen in einen Hydrolysebehälter gegeben. Die Säure (6 M HCl) wird auf den Boden eines Gefäßes gegeben, das die Röhrchen enthält. Das Gefäß wird dann verschlossen, evakuiert und mit Stickstoff gespült. Das Gefäß wird so lange erhitzt, bis die Hydrolyse abgeschlossen ist. Dieser Modus reduziert Kontaminationen durch unreine Reagenzien wie HCl. Die Dampfphasenhydrolyse erfolgt typischerweise schneller als die Flüssigphasenhydrolyse. Bei der Dampfphasenhydrolyse müssen die Proben in der Regel von hoher Reinheit sein.

Verwandte Themen

Ermöglichen Sie es Ihrem Labor, mithilfe herkömmlicher HPLC- oder UHPLC-Geräte eine genaue Aminosäurezusammensetzung aus Protein-/Peptidhydrolysaten, physiologischen Flüssigkeiten, Futtermitteln, Nahrungsmitteln, pharmazeutischen Präparaten und zahlreichen anderen Proben zu erhalten.

Trennen, identifizieren und quantifizieren Sie Aminosäuren in Zellkulturen, Proteinhydrolysaten, Nahrungsmitteln und Futtermitteln mit den Waters ACQ Tag und AccQ Tag Ultra Aminosäureanalyse-Standards und -Kits für HPLC, UHPLC und UPLC.

Waters bietet drei ausgesprochen zuverlässige Methoden für genaue Aminosäureanalysen an. Alle drei verwenden Vorsäulen-Derivatisierungsmethoden, gefolgt von Umkehrphasenchromatographie mit Online-Detektion gut aufgelöster Peaks entweder mithilfe von UV-Absorption oder Fluoreszenzdetektion.

Mit den Waters Probenvorbereitungskits können Sie das volle Potenzial Ihrer automatisierten Workstations ausschöpfen und Ihren Waters Workflow automatisieren, um die Effizienz Ihres Labors zu steigern.
Zurück zum Seitenanfang Zurück zum Seitenanfang