• 应用纪要

使用MaxPeak Premier色谱柱提高多种液相色谱系统上金属敏感分析物的回收率

使用MaxPeak Premier色谱柱提高多种液相色谱系统上金属敏感分析物的回收率

  • Kenneth D. Berthelette
  • Jennifer M. Nguyen
  • Kim Haynes
  • Amit Patel
  • Waters Corporation
Transparent vials of medicine

摘要

金属吸附是LC分析中的一个严重问题,特别是对于磷酸化肽等高酸性探针或核苷酸等小分子。这些探针会与色谱金属表面相互作用,导致峰形不佳、峰面积减小,甚至导致回收率完全损失1。 采用MaxPeak高性能表面(HPS)技术可以缓解这个问题,该技术已应用于沃特世LC色谱柱和LC系统。但其他竞争厂商的LC系统尚未采用这项技术。在本文中,我们展示了在三种不同的非沃特世LC系统上使用MaxPeak Premier色谱柱分析金属敏感分析物5'-(α,β-亚甲基)二磷酸腺苷(AMPcP)的结果。该探针的金属敏感性很强,但比三磷酸腺苷或二磷酸腺苷等化合物更稳定2。 我们的研究结果表明,无论使用何种LC系统,MaxPeak Premier色谱柱与不锈钢色谱柱相比都能得到更高的峰面积,从而提高AMPcP的分析物回收率。这表明MaxPeak Premier色谱柱的优势与系统无关,该色谱柱几乎对所有系统配置都能发挥有利作用。

优势

  • 使用MaxPeak Premier色谱柱增加AMPcP的峰面积或回收率
  • 使用AMPcP/腺苷标准品在不同LC系统上表征金属相互作用的程度
  • 金属敏感分析物的回收率与系统无关

简介

LC系统中的金属表面(包括色谱柱硬件)可通过路易斯酸碱作用与酸性分析物相互作用,导致峰形和回收率不佳。碱性或中性化合物也可能通过其他反应机理发生相互作用,但这些相互作用在酸性探针中更常见。金属表面在中性和酸性pH值环境中带正电荷,因此可以使用高pH流动相尽可能减轻这种影响。但即使在高pH条件下,这种影响仍然会导致问题。为解决此问题,沃特世生产的许多色谱柱和一些LC系统(包括ACQUITY Premier系统)采用了MaxPeak高性能表面(HPS)。在ACQUITY Premier系统上使用MaxPeak Premier色谱柱,可以大幅减少金属相互作用,使酸性探针获得高回收率和良好峰形1,3-5。 虽然MaxPeak Premier色谱柱与ACQUITY Premier系统结合使用时可以发挥最大优势,但这种色谱柱也可用于任何LC系统,以提高酸性探针的回收率。

因此,针对该应用开展的工作表明,与传统的不锈钢色谱柱技术相比,XSelect Premier HSS T3色谱柱可以提高非沃特世LC系统上酸性探针的回收率。使用含等摩尔浓度AMPcP和腺苷的标准品评价Agilent 1290 Infinity I、Shimadzu Nexera-I LC2040和Thermo Vanquish UHPLC系统,以研究三种LC系统的金属相互作用。AMPcP是一种含有两个磷酸基团的化合物,对金属表面敏感,但不会发生水解,因此比核苷酸探针更稳定。腺苷是一种与之结构相似的化合物,但不含磷酸基团,可以测量类似的UV响应,不过没有潜在的金属相互作用。本研究的结果表明,无论使用何种系统,XSelect Premier HSS T3色谱柱的回收率都居于较高水平,在其中一个示例中,该色谱柱的回收率比测试的传统色谱柱高出50%以上。

实验

样品描述

将沃特世AMPcP和腺苷标准品(部件号:186009755)复溶于200 µL Milli-Q水中,然后在进样前将样品瓶涡旋10秒。在每套系统上进行分析之前,利用同一批标准品新制样品。 

方法条件

LC条件

LC系统:

Agilent 1290 Infinity I

Thermo Vanquish UHPLC

Shimadzu Nexera-I 2040

检测条件:

UV 260 nm

样品瓶:

N/A

色谱柱:

XSelect HSS T3 XP色谱柱, 2.1 x 50 mm, 2.5 µm(部件号:186006149)

XSelect Premier HSS T3色谱柱, 2.1 x 50 mm 2.5 µm(部件号:186009830)

Zorbax SB-Aq色谱柱, 2.1 x 50 mm, 3.5 µm

柱温:

40 °C

样品温度:

室温

进样体积:

1 µL(在Shimadzu Nexera-I系统上为3 µL)

流速:

0.36 mL/min(在Shimadzu Nexera-I系统上为0.70 mL/min)

流动相A:

10 mM醋酸铵,pH 6.8,溶于99.8/0.2的水/乙腈溶液

流动相B:

8 mM醋酸铵,pH 6.8,溶于79.8/20.2的水/乙腈溶液

梯度:

参见下表

梯度表

梯度表

数据管理

色谱软件:

Empower 3 Feature Release 5(Agilent和Shimadzu系统)或Chromeleon软件7.2版(Thermo系统)

结果与讨论

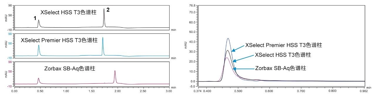
AMPcP之前已被用作质量控制标准品,来表征采用和不采用MaxPeak HPS技术的系统上金属相互作用的程度2。结合结构相似但无反应性的化合物(如腺苷),可以比较金属敏感的AMPcP和不敏感的探针的峰面积。本研究所用标准品为等摩尔浓度的腺苷和AMPcP,可以直接比较峰面积并计算峰面积比,以便评估系统中的金属相互作用。因此,我们使用该标准品来评价没有采用HPS技术的其他LC系统,以验证MaxPeak Premier色谱柱的性能优势与系统无关。为此,必须将记录的标准品LC条件转移到被测色谱柱的系统配置中。使用ACQUITY方法转换计算器更改方法,对新色谱柱应用正确的分析条件。开始测试前,将每根色谱柱在起始条件下平衡10分钟,然后执行空白进样。测试的第一套系统是配备四元泵和DAD检测器的Agilent 1290 Infinity I。图1显示了Agilent 1290系统上生成的第一张AMPcP腺苷标准品色谱图。 

色谱图
图1.三种被测色谱柱在Agilent 1290 Infinity I上获得的色谱图(在260 nm处进行DAD检测)。洗脱顺序:1) AMPcP,2) 腺苷。右侧插图是部分X轴的放大图,该叠加色谱图显示了三种色谱柱上的AMPcP峰高和峰形差异。

与其他两种色谱柱相比,使用XSelect Premier HSS T3色谱柱获得的AMPcP峰明显更高,这一结果的直接原因是色谱柱中的MaxPeak HPS硬件,因为XSelect HSS T3的固定相与之相同,但色谱柱硬件不同。Zorbax SB-Aq色谱柱获得的峰高略高于XSelect HSS T3色谱柱,但仍不及XSelect Premier HSS T3色谱柱。此外,如表1所示,使用XSelect Premier HSS T3色谱柱获得的AMPcP峰面积最大。

 三种色谱柱在Agilent 1290 Infinity I系统上获得的平均峰面积(n=10)和峰面积比(AMPcP/腺苷)。
表1.三种色谱柱在Agilent 1290 Infinity I系统上获得的平均峰面积(n=10)和峰面积比(AMPcP/腺苷)。

XSelect Premier HSS T3色谱柱得到的AMPcP平均峰面积比其他被测色谱柱高50%以上。同时,三种被测色谱柱得到的腺苷峰面积一致。不锈钢色谱柱上的金属相互作用导致分析物损失是AMPcP峰面积降低的直接原因。使用不锈钢硬件的两种色谱柱性能相似,峰面积比分别为0.34和0.35,而XSelect Premier HSS T3色谱柱的峰面积比为0.54,其峰面积比更高,表明每种色谱柱的金属吸附水平不同。峰面积比越高,检测到的吸附越少。 

我们接下来研究了配备四元泵和UV检测器的Shimadzu Nexera-I LC2040系统。在初始测试期间,腺苷的保留性高于预期,需要更改方法。该结果的原因可能是系统的梯度延迟差异以及系统配置不同。在Shimadzu系统上,将流速增加到0.7 mL/min。此外,该系统上腺苷和AMPcP的UV信号较低,因此将进样量增加到3 µL。使两种探针均获得良好UV信号对于测定峰面积比和评估色谱柱的金属相互作用至关重要。图2显示了在Shimadzu Nexera-I上使用三种色谱柱生成的色谱图。

色谱图
图2.三种被测色谱柱在Shimadzu Nexera-I 2040系统上获得的色谱图(在260 nm处进行UV检测)。洗脱顺序:1) AMPcP,2) 腺苷。右侧插图是部分X轴的放大图,该叠加色谱图显示了三种色谱柱上的AMPcP峰高和峰形差异。

初看这三种色谱柱获得的峰高相似,性能相当,但XSelect Premier色谱柱得到的峰高略高一些,与在Agilent系统上的结果相似。这可能是由于Shimadzu系统上的标准品进样量有所增加,是实现合理峰高所需的进样量。以前的分析结果已经表明,载样量(即进样到色谱柱上的分析物质量)不同,吸附的影响不同1,3,7。虽然三种色谱柱之间的色谱结果差异很小,但使用XSelect Premier HSS T3色谱柱仍观察到峰面积有所增加。表2显示了在Shimadzu Nexera-I系统上重复进样标准品得到的平均峰面积。

 三种色谱柱在Shimadzu Nexera-I系统上获得的平均峰面积(n=10)和峰面积比(AMPcP/腺苷)。
表2.三种色谱柱在Shimadzu Nexera-I系统上获得的平均峰面积(n=10)和峰面积比(AMPcP/腺苷)。

XSelect Premier HSS T3色谱柱得到的平均峰面积比其他两种色谱柱高10%,峰面积比高出近0.2个单位。这表明,虽然三种色谱柱之间的色谱性能相当,但XSelect Premier HSS T3色谱柱在分析物回收率方面仍具有优势。

最后要测试的系统是配备四元泵和UV检测器的Thermo Vanquish系统。使用Chromeleon 7.2进行软件控制。图3显示了在Thermo Vanquish系统上使用三种色谱柱分析AMPcP腺苷标准品得到的色谱图。

色谱图
图3.三种被测色谱柱在Thermo Vanquish系统上获得的色谱图(在260 nm处进行UV检测)。洗脱顺序:1) AMPcP,2) 腺苷。右侧插图是部分X轴的放大图,该叠加色谱图显示了三种色谱柱上的AMPcP峰高和峰形差异。
三种色谱柱在Thermo Vanquish系统上获得的平均峰面积(n=10)和峰面积比(AMPcP/腺苷)。
表3.三种色谱柱在Thermo Vanquish系统上获得的平均峰面积(n=10)和峰面积比(AMPcP/腺苷)。

在Thermo Vanquish系统上,XSelect Premier HSS T3色谱柱得到的峰面积比其他两种色谱柱高20%。XSelect Premier HSS T3色谱柱得到的峰面积比也比其他两种色谱柱高出近0.2个单位。 

结论

我们选用了三套LC系统来测试三种不同色谱柱的金属相互作用程度。为测试金属的相互作用,我们分析了金属敏感探针(AMPcP)和不敏感探针(腺苷)。将这两种探针一起分析时,可以比较两者的峰面积,获得峰面积比。该比值是衡量金属相互作用在系统中可能的影响程度的指标。峰面积比越高,表明金属相互作用越少。

本研究中获得的峰面积比表明,与不锈钢色谱柱相比,MaxPeak Premier色谱柱可提高酸性探针的峰回收率。无论使用何种LC系统,MaxPeak Premier色谱柱都可以帮助分析人员检测和定量酸性分析物,且无需使用钝化剂或专门的分离方法。使用MaxPeak Premier色谱柱可以使定量更准确,检测限可能更低,而这两点对于某些检测来说至关重要。  

参考资料

  1. Jung M, Lauber M. MaxPeak高性能表面(HPS)技术在改善灵敏度和动态范围方面的表现:关于核苷酸检测的案例研究.沃特世应用纪要.720007053ZH.
  2. Patel A, Simeone J, Delano M, Dyke J, Rzewuski S, Jung M, Shiner S. 使⽤Premier标准品研究⾊谱表⾯的惰性.沃特世应用纪要.720007105ZH
  3. DeLano M, Walter TH, Lauber M, Gilar M, Jung MC, Nguyen J, Boissel C, Patel AV, Bates-Harrison A, Wyndham K. Using Hybrid Organic-Inorganic Surface Technology to Mitigate Analyte Interactions with Metal Surfaces in UHPLC.Analytical Chemistry (2021) 5773–5781.
  4. Isaacs G, Plumb R. ACQUITY Premier液相色谱技术显著改善磷酸化和羧化脂质的灵敏度、峰形和回收率.沃特世应用纪要.720007092ZH.
  5. Smith K, Rainville P. 使用ACQUITY Premier系统解决方案改善人血浆中三羧酸(TCA)循环分析物定量分析的灵敏度和色谱峰形.沃特世应用纪要.720007107ZH
  6. AMPcP and Adenosine Standard.Waters Care and Use Manual.7200007059EN.
  7. Lauber M, Walter TH, Gilar M, Delano M, Boissel C, Smith K, Rainville P, Belanger J, Wnydham K. Low Adsorption HPLC Columns Based on MaxPeak High Performance Surfaces.Waters White Paper.720006930EN.

720007316ZH,2021年7月

返回顶部 返回顶部