• 应用纪要

有效利用Xevo TQ-XS的探测扫描功能对中草药样品进行定性分析

有效利用Xevo TQ-XS的探测扫描功能对中草药样品进行定性分析

  • Bheeshmacharyulu S
  • Dilshad Pullancheri
  • Padmakar Wagh博士
  • Waters Corporation
Herbal supplement pills in wooden bowl

摘要

本应用简报介绍如何提高中草药提取物等复杂样品定性分析的效率和生产率。

简介

当今环境迫切需要开发有效的选择性方法来促进复杂样品的研究。复杂样品通常包含多种组分混合物,若未进行有效分离,将对鉴定和表征过程造成巨大挑战。质谱是一种强大的分析技术,可用于鉴定未知化合物、定量分析已知化合物并剖析分子的结构和化学性质。

使用串联四极杆仪器对复杂样品(例如中草药提取样品)进行典型的定性分析可能需要多次进样。分析过程包括在MS扫描模式下运行样品,然后以子离子模式进一步进样。分析复杂样品时,创建子离子方法可能较为费力。分析人员需要手动鉴定每个母离子,并为每个母离子创建单独的子离子扫描。探测扫描功能无需进行二次采集,它能够根据不同用户定义的触发器在两种扫描类型之间自动切换。为提高灵敏度,探测扫描功能还可以将ScanWave用于MS和DS模式。

 配备ACQUITY UPLC I-Class Plus的Xevo TQ-XS MS
图1.配备ACQUITY UPLC I-Class Plus的Xevo TQ-XS

实验

系统:

配备ACQUITY UPLC I-Class/SM-FTN的Xevo TQ-XS

色谱柱:

ACQUITY UPLC HSS T3, 2.1 x 150 mm, 1.8 µm

检测器:

ACQUITY UPLC PDA检测器

流速:

0.4 mL/min

流动相A:

0.05%乙酸水溶液

流动相B:

0.05%乙酸的甲醇溶液

柱温:

40 ˚C

进样体积:

5 µL

样品浓度:

1 mg/mL

清洗溶剂和清除溶剂:

1:1(水:乙腈)

采集速率:

10点/秒

波长:

210~400 nm

梯度程序:

梯度程序

MS方法参数:

MS方法参数

MS探测扫描参数:

MS探测扫描参数

用于选择母离子和子离子数量及强度的Survey Scan Switch(探测扫描切换)选项卡功能参数:

Trigger Activation Delay(触发器激活延迟,min):定义仪器在两次扫描间切换之前的延迟时间(单位为min)。

Trigger Sensitivity(触发器灵敏度):设置触发switch-to(切换到)功能以检测母离子和子离子的峰高。选择high(高)、medium(中)、low(低)或选择custom(自定义)以输入阈值。

Trigger Threshold(触发器阈值):指定触发switch-to(切换到)功能以检测母离子和子离子响应的自定义阈值。可以将阈值设置为1~10,其中1 = 3.3e4、2 = 6.6e4、3 = 1.0e5、4 = 3.3e5、5 = 6.6e5、6 = 1.0e6、7 = 3.3e6、8 = 6.6e6、9 = 1.0e7、10 = 3.3e7。

Max. Masses of interest per survey scan(每次探测扫描的最大目标质量数):从switch-from(切换自)扫描中选择要检测的最大目标峰数(母离子峰和子离子峰)(最多8个)。我们通过指定该参数定义每次切换时仪器探测的质量数,例如,当3个质量数的强度超过阈值时,设置为2将使仪器仅在两个最强的质量数上触发。

Total Time in Switched Scan Mode(切换扫描模式的总时间,s):定义switch-to(切换到)扫描模式下所用的最短总时间。经过指定的时间后,switch-to(切换到)功能将切换回switch-from(切换自)功能。

Re-include after Time(在指定的时间之后重新包括,s):定义在某一质量数上切换之后软件排除该质量数的时间(单位为s)。经过这段时间后,再次包括该质量数。

Exclusion Window +/-(排除窗口+/-,Da):定义在某一质量数上切换之后,在该质量数周围触发所排除的范围(单位为Da)。

Isotope Cluster Range(同位素簇范围,Da):定义排除范围在质量标度上延伸的距离,以防触发末次触发质量数的同位素。

结果与讨论

利用Xevo TQ-XS对中草药提取物进行定性分析,经证明可有效使用探测扫描工具缩短分析时间,因此与常规MS和子离子扫描相比提高了分析效率。与通过多次运行采集的LC-MS和LC-MS/MS数据相比,探测扫描模式的分析时间明显减少。

探测扫描法与常规MS扫描和子离子扫描法的分析效率计算
 表1.探测扫描法与常规MS扫描和子离子扫描法的分析效率计算

ScanWave MS色谱图

中草药样品分析获得的ScanWave MS(MS全扫描)色谱图如图2所示。从图中可以看出,在30分钟的运行时间内,ScanWave MS色谱图中检测到大量的峰,并自动选择峰进行ScanWave子离子扫描分析。

中草药样品的探测扫描(ScanWave MS)母离子色谱图
图2.中草药样品的探测扫描(ScanWave MS)母离子色谱图

Xevo TQ-XS质谱仪能够在MS和子离子扫描模式之间快速切换,从而准确鉴定窄UPLC峰。利用这种方法,能够无偏差地采集MS和子离子扫描数据,完成对中草药样品的定性分析。

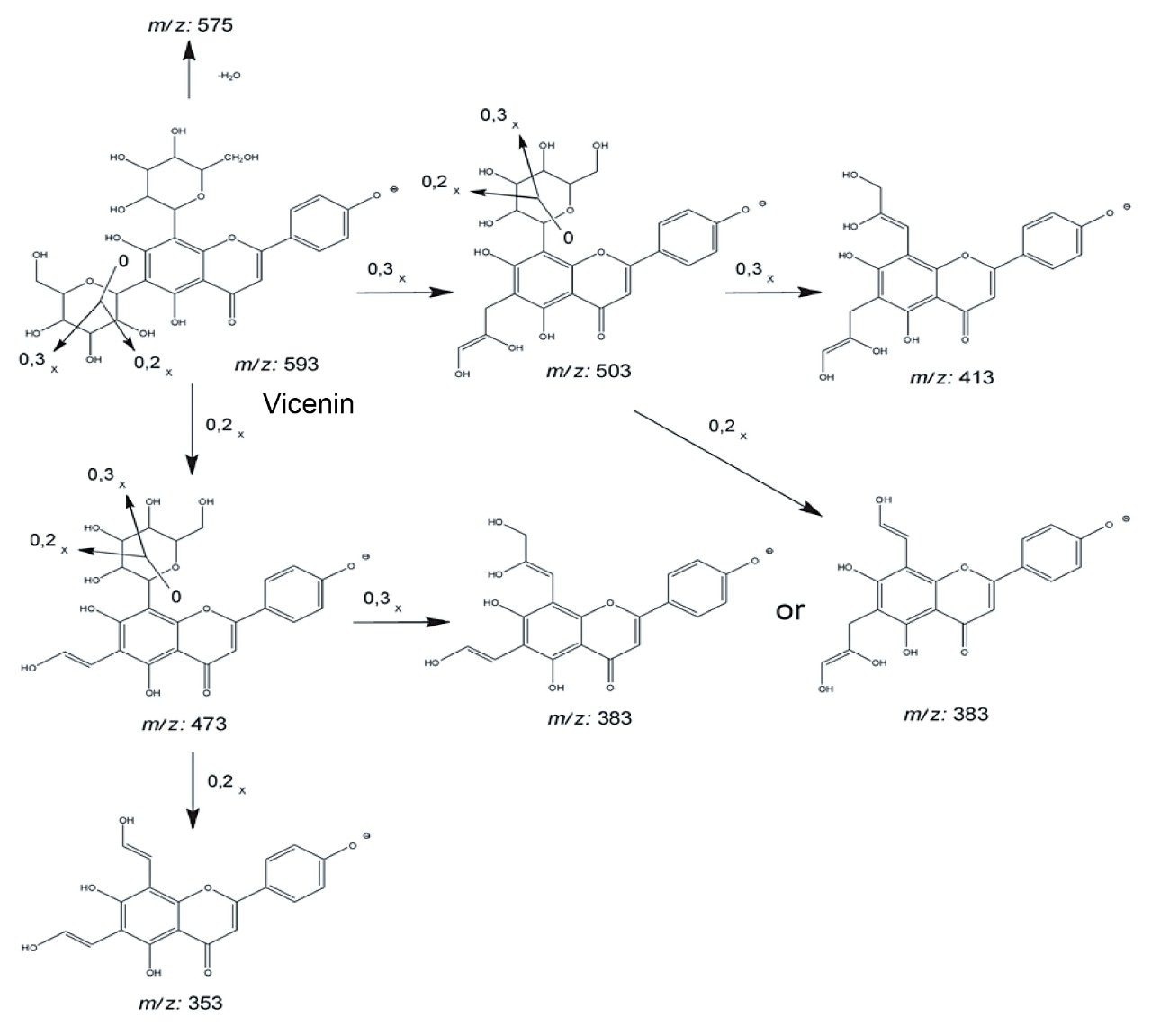
RT 14.77 min处色谱峰的ScanWave MS(MS全扫描)和ScanWave DS(MS/MS)谱图如图3所示。根据触发的灵敏度标准自动选择母离子m/z 592.86,并在子离子扫描谱图中显示碎片离子m/z 352.65、m/z 382.73、m/z 472.69和m/z 502.89。根据观察到的特征碎片离子m/z 592.86,将其鉴定为维采宁。

中草药样品定性分析中使用探测扫描的示例
图3.中草药样品定性分析中使用探测扫描的示例,在RT 14.77 min处的初始ScanWave MS探测功能中触发维采宁(m/z 592.86)并切换至ScanWave DS模式。

母体化合物维采宁在m/z 592.86处的提取离子流图见图4,该化合物在ScanWave MS色谱图的RT 14.77 min处洗脱。

由探测扫描ScanWave MS得到的提取母离子色谱图
图4.由探测扫描ScanWave MS得到的提取母离子(m/z 592.86)色谱图

由子离子扫描谱图中m/z 592.86得到的碎片离子m/z 502.89、m/z 472.69、m/z 382.72、m/z 352.64的提取离子流图见图5。

由探测扫描ScanWave DS中m/z 592.86得到的提取子离子m/z 502.89、m/z 472.69、m/z 382.72和m/z 352.64色谱图
图5.由探测扫描ScanWave DS中m/z 592.86得到的提取子离子m/z 502.89、m/z 472.69、m/z 382.72和m/z 352.64色谱图

维采宁m/z 592.86可能的碎片离子如图6所示。

维采宁可能的碎片离子
图6.维采宁可能的碎片离子

表2列出了中草药样品定性分析中使用的探测扫描示例,并且根据母离子和母离子鉴定出芥子醛、维采宁、反式-3'-异戊二烯基-3,5,4'-三羟基二苯乙烯(IPD)异构体2、3,4-O-二咖啡酰奎宁酸和反式-花生四烯酸甘油酯-3分子。为确认这些已知化合物的存在,对子离子进行文献调研,并与表2所列谱图数据进行匹配。

使用探测扫描鉴定母离子及相应的子离子以进行中草药样品定性分析
表2.使用探测扫描鉴定母离子及相应的子离子以进行中草药样品定性分析

结论

  • Xevo TQ-XS配备StepWave离子传输光学元件,可提高棘手样品分析的灵敏度。Xevo TQ-XS还采用ScanWave碰撞池技术,能够增强MS/MS光谱性能(子离子扫描),便于通过一次进样(运行)同时采集MS和MS/MS数据。
  • Xevo TQ-XS的扫描速度快(高达20000 Da/s),能够对整个峰上足够多的点进行探测扫描实验,该功能有利于数据导向型实验,此类分析可利用MS和MS/MS之间的实时切换通过单次进样采集更多信息。这样可减少开展单独实验的需求,并加快结构鉴定和未知化合物测定的过程。
  • 使用实时数据导向型切换在串联四极杆系统上进行定性分析可加快分析多个样品的采集,并缩短表征复杂样品所需的数据解析时间。

参考文献

  1. Development and validation of a LC-ESI-MS/MS method for the determination of phenolic compounds in honeydew honeys with the diluted-and-shoot approach.Food Research International.2016;87:60-67.
  2. LC-MS/MS analysis, antioxidant and anticholinergic properties of galanga (Alpinia officinarum Hance) rhizomes.Industrial Crops and Products.2015;74:712-721.
  3. LC-ESI/LTQOrbitrap/MS/MS and GC-MS profiling of Stachys parviflora L. and evaluation of its biological activities.Journal of Pharmaceutical and Biomedical Analysis.2019.
  4. LC-MS/MS profiles and interrelationships between the anti-inflammatory activity, total phenolic content and antioxidant potential of Kalasin 2 cultivar peanut sprout crude extract.2018;239:569-578.
  5. LC/ESI-MS/MS profiling.Journal of Functional Foods.2016;26:645-656.
  6. LC-MS/MS method validation for the quantitative investigation of 37 fingerprint phytochemicals in Achillea species: A detailed examination of A. coarctata and A. monocephala.J Pharm Biomed Anal. 2018;154:413-424.
  7. Marian Twohig, Andrew Aubin, Michael Jones, and Robert S. Plumb.Improving qualitative conformation using Xevo TQ MS with Survey Scanning.
  8. Extraction, Isolation, and Characterization of Natural Products from Medicinal Plants (International Journal of Basic Sciences and Applied Computing (IJBSAC) ISSN: 2394-367X, Volume-2 Issue-6, December 2018).
  9. Simplifying Qual/Quan Analysis in Discovery DMPK using UPLC and Xevo TQ MS.

720006932ZH,2020年5月

返回顶部 返回顶部