• 应用纪要

LC-MS法测定电子烟气溶胶中痕量水平的
单羰基化合物

LC-MS法测定电子烟气溶胶中痕量水平的
单羰基化合物

  • Jeff Zhu
  • Aaron Heredia
  • Emily R Britton
  • Narendra Meruva
  • ITG Brands LLC
  • Waters Corporation
E-cigarette selection for vaping

摘要

本应用纪要介绍了一种用于分析复杂气溶胶样品基质中低浓度单羰基化合物的简化解决方案,该方案将UPLC与单四极杆质谱仪(ACQUITY QDa质谱检测器)联用,具有良好的灵敏度和选择性。

优势

  • 使用单四极杆质谱仪(ACQUITY QDa质谱检测器),仅需进行简单的检测器设置,即可对复杂的气溶胶样品基质进行高灵敏度和高选择性检测
  • 简化样品前处理步骤,既无需向DNPH萃取溶液中添加磷酸,也无需使用内标
  • 方法耐用,每天可测试多达80份电子烟气溶胶样品并持续数周,仪器维护工作量非常少,没有方法性能指标(例如系统适应性、校准曲线和LOQ下的S/N)损失
  • 对于其他无羰基或羰基含量低的样品基质(例如电子烟油、加热不燃烧(heat-not-burn)产品和无烟烟草制品)具有潜在应用价值

简介

电子烟设备由电池供电,通过加热化学成分已知(通常含有丙二醇和/或甘油,也可能含有尼古丁和调味香料)的电子烟油将气溶胶输送给用户。在加热过程中,可能会形成低浓度的热降解产物,例如单羰基化合物(甲醛、乙醛、丙烯醛和巴豆醛)。根据FDA-CTP的最新指南,这些单羰基化合物即为电子蒸气产品测试的目标化合物1。 近年来,针对低浓度条件下的上述分析物,已报道数种LC-MS、LC-MS/MS和GC-MS分析方法2-4。 本文介绍一种简单耐用的LC-MS方法,专为定量分析电子烟气溶胶中低浓度的单羰基化合物而开发,并且经过验证。该方法会在气溶胶收集阶段将溶液中的游离羰基转化为DNPH衍生物。分析采用UPLC系统结合单四极杆质谱仪(ACQUITY UPLC H-Class PLUS系统结合ACQUITY QDa质谱仪)进行。

传统纸烟烟雾中羰基化合物的分析测定方法(例如CORESTA CRM 74)采用高效液相色谱-紫外检测联用法(HPLC-UV)。虽然UV检测法在分析传统纸烟中的羰基化合物时具有稳定耐用、经济有效且操作简单的特点,但在检测电子烟中痕量水平的羰基化合物时灵敏度和选择性有限。

本文采用的全新UPLC-MS方法能够将样品基质中上述四种羰基化合物与干扰物色谱分离,进行质量选择检测,从而实现高准确度分析,无需使用内标。本方法已根据2005年国际协调会议(ICH)指导原则《分析方法验证:正文和方法学Q2 (R1)》(Validation of Analytical Procedures: Text and Methodology Q2(R1))5完成验证,所有验证结果均符合内部可接受标准。通常情况下,全部四种分析物的总校准范围均为2~400 ng/mL,涵盖了接受测试的大多数市售电子烟样品,不过,需要时也可以扩展至1 ng/mL。全部四种分析物的方法定量限为2 ng/mL(根据验证期间的加标水平定义)或2.9 ng/抽吸(50次抽吸),相比现有方法有较大改善(文献报道中的限值范围为5~15 ng/mL)。

实验

材料

DNPH(2,4-二硝基苯肼)衍生物形式的单羰基化合物标准品纯物质购自Chem Service。UPLC流动相采用LC-MS级乙腈(Optima),购自Fisher。标准品/样品前处理和UPLC清洗溶液采用B&J无羰基乙腈,购自Fisher Scientific。乙酸铵(HPLC级)购自Fisher Scientific,DNPH盐酸盐购自TCI。三羟甲基氨基甲烷(Trizma碱)购自Sigma Aldrich。

仪器

将Waters ACQUITY UPLC H-Class PLUS系统与ACQUITY QDa质谱检测器(高性能)联用进行分析。使用Cerulean CETI-8电子烟测试仪收集气溶胶。

标准品

首先配制储备液:准确称取各DNPH衍生物溶于无羰基乙腈中,浓度大约200 µg/mL(以游离羰基浓度计)。取等份的各储备液混合并稀释,制成中间溶液1和2,浓度分别约为5 μg/mL和0.2 μg/mL。使用上述中间溶液制备校准标准品,浓度范围约2~400 ng/mL(以游离羰基浓度计,包含8个不同浓度)。验证时将校准范围扩展至1 ng/mL,以定量LOQ (2 ng/mL)时的加标结果。

DNPH萃取溶液(6 mM)

本方法以CORESTA推荐方法CRM 74《HPLC法测定主流纸烟烟雾中的选定羰基化合物》(Determination of Selected Carbonyls in Mainstream Cigarette Smoke by HPLC)6为基准,在萃取溶液、HPLC色谱柱以及检测条件方面进行了调整,以满足电子烟气溶胶分析对灵敏度和选择性的更高要求7

通常情况下,纸烟烟雾中羰基化合物的含量高于电子烟气溶胶。因此,将DNPH萃取溶液的浓度从12 mM调整为6 mM,以减少DNPH的干扰。此外,加入市售DNPH盐酸盐,无需添加磷酸即可使最终溶液达到理想的pH值。使用DNPH盐酸盐还可以大幅降低萃取溶液中甲醛的背景水平。DNPH萃取溶液的制备方法是,将2,4-二硝基苯肼盐酸盐加入乙腈的加热溶液中搅拌,直至固体全部溶解。然后向所得溶液中加入等体积去离子水,稀释至最终体积。将溶液冷却至室温以备使用。

气溶胶样品前处理

使用Cerulean CETI-8电子烟测试仪将电子烟气溶胶直接收集到两个串联玻璃撞击器中,每个撞击器内均装有35 mL DNPH萃取溶液。一个CETI-8端口用于采集空气空白样品。空气空白样品是在采集端口内没有电子烟时采集的样品。空气空白样品的萃取和分析与研究样品同时进行,目的是确定检测环境中分析物的背景水平。气溶胶收集完成后,合并两个串联撞击器中含有衍生羰基化合物的溶液,取7 mL等份样品转移至闪烁样品瓶中,然后加入0.15 mL 3.9%的Trizma碱水溶液进行中和。随后,使用0.2 μm聚丙烯过滤器过滤,并将过滤后的等份样品转移到自动进样器样品瓶中进行分析。

LC-MS操作参数

LC-MS系统:

ACQUITY UPLC H-Class PLUS,结合ACQUITY QDa质谱检测器

软件:

Empower 3

柱温:

50 °C

色谱柱:

ACQUITY UPLC BEH Shield RP18, 1.7 µm, 2.1 x 100 mm

流速:

0.6 mL/min

流动相A:

1 mM乙酸铵:乙腈(4:1)水溶液

流动相B:

乙腈

流动相C:

含0.1%甲酸的1:1甲醇/水溶液(用于运行后清洗)

密封清洗液:

含5%乙腈的水溶液

样品管理器灌注液:

乙腈/水(25:75)

样品管理器清洗液:

乙腈/水(50:50)

离子源温度:

150 °C

探头温度:

600 °C

毛细管电压:

0.8 kV

电离模式:

电喷雾

极性:

采集速率:

5 pts/s

废液排放:

3.8 min前、9.5 min后

自动进样器温度:

设定值5 ℃

进样体积:

1 µL

*实际读数可能随仪器的制冷能力而变化。

流动相梯度
表1.流动相梯度
MS检测器设置
表2.MS检测器设置

数据计算

一级校准曲线(曲线1)由标准浓度1~6 (2~100 ng/mL)组成,采用二次回归拟合(不强制截距为零)和1/x权重。要定量更高浓度的样品,可以使用二级校准曲线(曲线2)。该曲线由标准浓度3~8(10~400 ng/mL)组成,采用线性或二次回归拟合(不强制截距为零)和1/x权重。在此情况下,可以使用Empower软件中的其他定量方法(用于曲线2)再次处理相同的样品。如果样品浓度高于校准范围,可以使用乙腈:水(1:1)溶液进行稀释。

对于某些分析物(例如乙醛和丙烯醛),样品中存在DNPH衍生物(腙类)的E-和Z立体异构体,本方法的色谱条件可分离这些异构体,结果的第一个峰小于第二个峰。在这种情况下,取两个峰面积的总和用于定量。

结果与讨论

该方法已在ITG Brands, LLC(北卡罗来纳州格林斯伯勒)使用两套Waters ACQUITY UPLC H-Class PLUS-QDa系统进行验证,并已用于市售电子烟的常规分析。 

仪器精密度

仪器精密度定义为对相同样品的相同分析物进行多次独立测量的结果重现性程度。将6个系统适应性样品(SSS,作为中等浓度标准品之一)连续进样至同一仪器。关于仪器精密度的系统适应性数据(以浓度和保留时间表示)列于下方表3。

系统适应性数据
表3.系统适应性数据

所有分析物浓度的%RSD均在3%以内,保留时间%RSD均在0.1%以内,未超过相应的5%和0.3%标准范围,证明仪器精密度良好。

校准范围/线性

两条校准曲线的相关系数(R2)均大于0.999,符合内部可接受标准(大于0.990),因此认为相关性良好。

所有校准点与理论值的差异均在10%范围内,表明所有标准品的分析均具有较高的准确度。

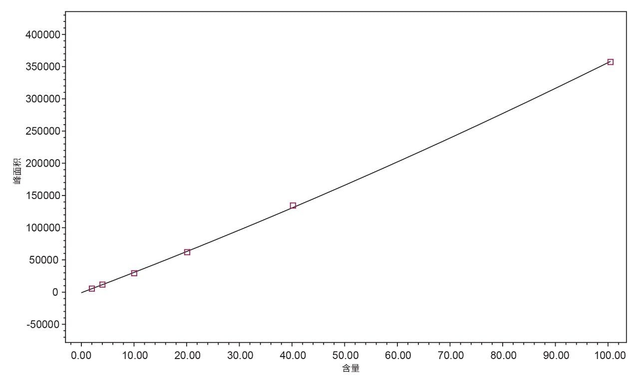
图1–4分别表示四种分析物的校准曲线1。

甲醛的校准曲线1
图1.甲醛的校准曲线1
乙醛的校准曲线1
图2.乙醛的校准曲线1
丙烯醛的校准曲线1
图3.丙烯醛的校准曲线1
巴豆醛的校准曲线1
图4.巴豆醛的校准曲线1

加标回收率

每个校准范围内均按低、中、高浓度以及LOQ浓度(2 ng/mL)对气溶胶样品溶液进行加标,一式三份。已知不同电子烟的气溶胶中羰基化合物浓度差异很大,因此在验证过程中将连接不同端口的撞击器中的溶液合并,然后再从这些溶液中取出等份样品处理为未加标和加标样品。在两种不同条件下收集气溶胶(标准条件参考CRM 818:55 mL(抽吸体积)–3 s(抽吸时间)–30 s(抽吸频率);剧烈条件:95-5-30),抽吸状态一致。关于样品重复精密度的加标回收率数据和%RSD见表4和表5:

在标准条件下收集气溶胶的回收率
表4.在标准条件下收集气溶胶的回收率
在剧烈条件下收集气溶胶的回收率
表5.在剧烈条件下收集气溶胶的回收率 

*使用其他校准曲线(包含额外的校准标准品作为亚浓度1(1 S,1 ng/mL))定量得到的结果。

**结果接近曲线1中的最高浓度标准品(浓度6)。在曲线1的校准范围内,仅两个重复样品可定量。

所有回收率均在92.1–119.1%的范围内,符合内部可接受标准(100 ± 30%),因此认为在受试样品基质中回收率良好。

MLOQ

方法定量限(MLOQ)的确定方法是:分析已知浓度样品,确定能够可靠定量的分析物最低浓度(符合S/N ≥ 10的标准)。下方表6表明标准品浓度1S/1的信噪比均大于10。

标准品浓度1S/1的信噪比
表6.标准品浓度1S/1的信噪比

图5–8展示了加标2 ng/mL标准品时市售电子烟样品的色谱图。

某市售电子烟样品加标2 ng/mL甲醛
图5.某市售电子烟样品加标2 ng/mL甲醛
某市售电子烟样品加标2 ng/mL乙醛
图6.某市售电子烟样品加标2 ng/mL乙醛
某市售电子烟样品加标2 ng/mL丙烯醛
图7.某市售电子烟样品加标2 ng/mL丙烯醛
某市售电子烟样品加标2 ng/mL巴豆醛
图8.某市售电子烟样品加标2 ng/mL巴豆醛

结论

本方法提供了一种用于分析复杂气溶胶样品基质中低浓度单羰基化合物的简化解决方案,该方案将UPLC与单四极杆质谱仪(ACQUITY QDa质谱检测器)联用,具有良好的灵敏度和选择性。  与CRM中指定的传统5 µm HPLC色谱柱相比,本方法采用的UPLC色谱柱(ACQUITY UPLC BEH Shield RP18, 1.7 µm, 2.1 mm x 100 mm)提高了分离度并缩短了运行时间。使用质谱检测器代替UV检测增加了灵敏度和选择性。改性剂(乙酸铵)的添加进一步提升了MS检测的灵敏度。ACQUITY QDa检测器中的分流阀可减少样品基质对质谱检测器造成不必要负荷,从而减少日常维护。

初步结果表明,本方法可用于分析电子烟油,并且回收率良好,LOQ为2 ng/mL。对于同样含有痕量或不可检出浓度的单羰基化合物的无烟和加热烟草制品,本方法可能适用。

参考文献

  1. Premarket Tobacco Product Applications for Electronic Nicotine Delivery Systems - Guidance for Industry, FDA Center for Tobacco Products, June 2019.
  2. Flora, J. W.; Wilkinson, C. T.; Wilkinson, J. W.; Lipowicz, P. J.; Skapars, J. A.; Anderson, A.; Miller, J. H. Method for the Determination of Carbonyl Compounds in E-Cigarette Aerosols.J Chromatogr Sci, 2017, 55: 142–148.
  3. Qian, N.; Wilkins, J.; Seamans, A.; Adams, C. J.; Chouchane, S. Validated Method for the Quantitative Determination of Carbonyls in Electronic Cigarette Aerosol and Liquid.71st Tobacco Science Research Conference, Nov. 2017, Bonita Springs, FL.
  4. Bao, M.; Joza, P.; Rickert, W. Analysis of 21 Carbonyl Compounds in E-Liquids and E-Aerosols by Gas Chromatography-Mass Spectrometry after PFBHA Derivatization.70th Tobacco Science Research Conference, Sept. 2016, Palm Beach Gardens, FL.
  5. ICH.(2005) International Conference on Harmonisation of Technical Requirements for Registration of Pharmaceuticals for Human Use Guideline Q2(R1): Validation of Analytical Procedures: Text and Methodology Q2(R1), https://database.ich.org/sites/default/files/Q2_R1__Guideline.pdf.
  6. CORESTA (Cooperation Centre for Scientific Research Relative to Tobacco) Recommended Method No.74 – Determination of Selected Carbonyls in Mainstream Cigarette Smoke by HPLC, last updated in August 2019.
  7. Zhu, J.; Heredia, A. A Simplified Method for the Analysis of Mono-Carbonyl Compounds in E-Cigarette Aerosols by LC-MS.73rd Tobacco Science Research Conference, Sept. 2019, Leesburg, VA.
  8. CORESTA Recommended Method No.81 – Routine Analytical Machine for E-Cigarette Aerosol Generation and Collection - Definitions and Standard Conditions.

720006979ZH,2020年7月

返回顶部 返回顶部