• Application Note

Optimization of Source and Transmission Parameters for a Mix of Labile and Stable Per – Or Polyfluoroalkyl Substances (PFAS) Using the Xevo™ G3 QTof Mass Spectrometer

Optimization of Source and Transmission Parameters for a Mix of Labile and Stable Per – Or Polyfluoroalkyl Substances (PFAS) Using the Xevo™ G3 QTof Mass Spectrometer

  • Hania Khoury-Hollins
  • Isabel Riba
  • Jayne Kirk
  • Waters Corporation

Abstract

Labile compounds can be challenging to analyze by mass spectrometry due to their readiness to fragment. The fragmentation can occur during the ionisation process or during ion transmission. This undesirable fragmentation can impact the outcomes of an analysis and make the data interpretation more complex.1

In this work, the role of the different instrument parameters on the ion intensities of precursor and fragment ions (when present) of nine per- or polyfluoralkyl substances (PFAS) were studied. The standard mix included different subclasses of PFAS of diverse physical properties ranging from labile species such as the perfluoroalkyl carboxylic acids (PFCAs) and the more stable compounds with long carbon chain such as perfluoroalkane sulfonic acids (PFSAs).

Firstly, the influence of the electrospray ionisation (ESI) source parameters was investigated. Then the effect of different StepWave™ XS ion guide settings and the low collision energy were explored for each of the studied compounds. Finally, the parameters where the highest ion count and the lowest fragment-to-parent ion ratio (% ratio) were retained and tested on a wider range of PFCAs with carbon chain length varying from 4 to 18 (C4–C18).

When performing mass spectromtry, and across all mass spectrometer types' method optimization can improve sensitivity of the instrument. Herein, the optimized parameters significantly improved the ion transmission and reduced the decarboxylation of PFCAs. The extent of improvement varies depending on the chain length of PFCAs. The ion intensity of short chain length PFCAs such as PFBA (C4) and PFPeA (C5) increased by two-folds. Whereas longer chain length PFCAs such as PFOA (C8), the ion intensity improved by 1.2 fold.

Benefits

  • Role of different source parameters on the ionization and in-source fragmentation (ISF) of PFAS
  • Reduced in-source fragmentation (ISF) and improved ion transmission of labile compounds
  • Increase in transmission of different classes of PFAS and improve intact analyte to fragment ion ratio
  • The approach and methodology is applicable for labile/fragile classes of compounds

Introduction

Liquid chromatography coupled to high resolution mass spectrometry (LC-HRMS) is a powerful technique used for analysing small and large molecules, providing qualitative and quantitative information about the analytes. Electrospray ionisation (ESI) transforms the charged molecules eluting from liquid chromatography at atmospheric pressure into ions in the gaseous state. These molecular ions, then undergo a pressure and potential gradient that guides them towards the mass analyzer. Therefore, the source geometry and parameters are crucial as they control the evaporation of the semi volatile solvents. In addition, the potential gradient applied to the ion optics is crucial to the acceleration and transmission of the ions through the system.

Labile compounds can be challenging to analyze using LC-MS due to their readiness to fragment in the ion source causing in-source fragmentation (ISF) or during the ion transmission. The readiness of these compounds to fragment is linked to the unstable molecular bonds that can easily dissociate when analyzed under high temperature or with harsh ion acceleration conditions making their detection and identification more challenging. This undesirable fragmentation can hinder the quality of the analysis and reduce the methods’ sensitivity limits. In addition, in discovery workflows, these undesirable fragments increase the number of unknown peaks and make discovery workflows more challenging.1

PFAS are a class of man-made compounds, characterized by containing multiple fluorine atoms attached to a carbon backbone. There are more than 15000 compounds classified as PFAS.2 Within this class of compounds there are multiple sub-classes of PFAS such as perfluoroalkyl carboxylic acids (PFCAs), perfluoroalkane sulfonic acids (PFSAs), fluorotelomer carboxylic acid (FTCAs), perfluoroether carboxylic acids (PFECAs), etc.3 The perfluoroalkyl moiety of PFAS enhances their physical properties, giving them many desirable aspects. Therefore, PFAS are used in many aspects such as stain-resistant textiles, food-handling materials, firefighting foam, medical devices, paints, construction materials, personal care products, cosmetics…etc.4

In this study, the role of the ionisation source and ion transmission parameters of the Xevo G3 QTof were investigated on per- or polyfluoroalkyl substance (PFAS) and highlights the importance of optimization of the mass spectrometer for this challenging class of compounds. Figure 1 depicts a scheme of the Xevo G3 QTof. The highlighted four regions indicate the zones of the investigated parameters. The optimization was performed using a set of nine PFAS standards covering labile and stable compounds from different PFAS sub-classes. Finally, we have tested the optimized parameters on a wide range of PFCAs.

The highlighted regions correspond to zones of the instrument linked the studied parameters
Figure 1. Scheme Waters Xevo G3 QTof. The highlighted regions correspond to zones of the instrument linked to the studied parameters. A: source parameters, B: source offset, C: StepWave XS, and D: collision cell.

Experimental

Sample Preparation

All PFAS standards were purchased from Wellington laboratories. In this experiment we have optimized the acquisition method first on nine standards (Table 1). A stock solution in methanol at 500 ng/mL was prepared from each individual standard. From which a working solution at 10 ng/mL was prepared in methanol:water (1:1) +0.1% Formic acid.

The method was then validated on a wider range of PFCAs (C4 to C18) by analysing a solution of 0.5 ng/L, prepared in methanol:water (1:1) +0.1% formic acid.

List of standards used for instrument acquisition method optimization
Table 1. List of standards used for instrument acquisition method optimization.

LC-MS Conditions

LC system:

ACQUITY™ Premier Liquid Chromatography System modified with PFAS Kit (p/n: 176004548)

Vials:

Polypropylene autosampler vial and sealed with a polyethylene cap (p/n: 186005230)

Column:

ACQUITY Premier BEH™ C18, 1.7 µm, 2.1 x 100 mm, 90 Å Column (p/n: 186009453)

Column temperature:

35 °C

Sample temperature:

6 °C

Injection volume:

10 µL

Flow rate:

0.3 mL/min

Mobile phase A:

95:5 water:methanol with 2 mM ammonium acetate

Mobile phase B:

100% methanol with 2 mM ammonium acetate

LC Gradient Table

MS Conditions

MS system:

Xevo G3 QTof

Ionization mode:

ESI-

Mass range:

m/z 50–1200

Acquisition rate:

4 spectra per second (Hz)

Lock mass:

Leucine enkephalin (m/z 554.2620)

Acquisition mode:

MSE a data independent acquisition method

Source Conditions

Capillary voltage:

0.8 kV

Cone voltage:

10 V

Source temperature:

100 °C

Desolvation temperature:

250 °C

Cone gas:

100 L/h

Desolvation gas:

600 L/h

Source offset:

0 V

Collision Energy

Low collision energy:

6 V

High collision energy:

ramp 10–70 V

Default Transmission Tune Settings

StepWave RF:

150 V

Body gradient:

10 V

Software Tools

Data acquisition was performed using waters_connect™ and data analysis performed within the UNIFI™ application (version 3.0.015).

Results and Discussion

During an LC-MS experiment, the analyte structure, the ionisation source geometry and parameters, and MS ion optics voltage gradient are all crucial for improving the analyte’s response. For a complex mixture of compounds with different chemical properties, the ideal instrument parameters (source parameters and transmission parameters) should be suitable for analysing both stable and labile compounds.

Among the different subclasses of PFAS,3 PFCAs is a subclass known to readily lose a carbon dioxide molecule during LC-MS analysis.5 In order not to compromise the transmission of more stable PFAS classes, the effect of source and transmission parameters on a mixture of nine PFAS representing the labile and stable classes was studied. The role of the source parameters and StepWave XS parameters on the decarboxylation of two PFCAs (PFHxDA and PFODA) and a PFECA (HFPO-TA) was investigated. Long chain PFSAs were used in this study for their known stability during the ionisation and transmission. By dissecting the Xevo G3 QTof into four regions (Figure 1), the effect of source and transmission parameters on the ion intensity and fragmentation (if any) were tested. The fragment-to-parent ion ratio (% ratio) was calculated as in equation 1:

Equation 1

The following paragraphs describe in detail the role of each of the tested parameters on the studied compounds.

1. The Role of Source Parameters on In-Source Fragmentation (ISF) of Labile PFAS

ESI is considered as a soft ionisation method, however, fragile compounds can still undergo in-source fragmentation (ISF). Harsh ionisation parameters (such as high voltages and temperature) can induce ISF of labile compounds. For instance, it is very common for certain compounds during the ionisation process to lose a molecule of water (-H2O). To improve the signal of labile PFAS the role of different source parameters on the ISF were investigated on a mix containing both labile and stable PFAS standards. This was done by monitoring the changes in the ion intensities of the standards and the fragment ions. Figure 2A depicts the change in the ion response of the different standards as a function of the source parameters. Figure 2B illustrates the % fragment-to-parent ion ratio (% ratio) of the labile PFAS (HPFO-TA, PFHxDA, and PFODA).

Log10 of the parent ion intensities of the nine studied standards
Figure 2. Log10 of the parent ion intensities of the nine studied standards (A) and fragment-to-parent ion ratio (% ratio) of labile PFAS (B) as function of the different source parameters. The values are representative of an average of two consecutive measurements per condition. 

Lowering the capillary voltage increases the ion intensities of all nine studied standards, while keeping the fragment-to-parent ion ratio (% ratio) of the labile compounds at a constant level. The cone voltage and the desolvation gas flow have no effect on the ion intensity. However, by increasing the desolvation gas the % ratio of PFODA and PFHxDA significantly increased (Figure 2B). The desolvation gas flow has less effect on the % ratio of HFPO-TA which can be attributed to HFPO-TA being a different class of compounds (Figure 2B).

By gradually increasing the cone gas flow from 50 to 300 L/h, the ion intensity for all nine tested compounds varies over the measurement. The intensities are at their highest when the cone gas flow is at 100 L/h. The % ratio increased with the increase of the cone gas flow from 50 L/h to 300 L/h. Different behaviour patterns can be observed. For long chain PFODA, the % ratio at 200 L/h is comparable to the % ratio at 300 L/h, whereas the overall ion intensity of PFODA decreased (Figure 2 B and A, respectively). The % ratio of PFHxDA and HFPO-TA correlates directly with the increase in cone gas flow (Figure 2B). Increasing the cone gas flow, increased the ISF of PFHxDA and HFPO-TA and therefore reduced their overall ion intensities. This suggests that for lower molecular weight and labile compounds cone gas flow is an important parameter affecting the ISF (Figure 2 A and B). 

Another critical parameter affecting the ISF is the source temperature. Four different source temperatures were tested: 85 °C, 100 °C, 120 °C, and 150 °C. By increasing the source temperature from 85 °C to 100°C, the ion intensities for most of the compounds increased or remained at a comparable value (Figure 2A). However, source temperatures greater than 100 °C caused a drop the ion intensity. The % ratio followed a similar trend. Changing the source temperature from 85 to 100 °C significantly increased the % ratio for HFPO-TA, PFHxDA, and PFODA, with a more drastic increase for HFPO-TA (Figure 2 A and B). A minimum source temperature of 100 °C ensures efficient desolvation, while maintaining minimal fragmentation of the labile moity of the component.

The desolvation gas temperature promotes efficient solvent evaporation. Typically, higher LC flow rates require higher desolvation temperatures. Here, desolvation temperatures between 200 °C and 250 °C were evaluated. The ion intensity increased significantly by increasing the desolvation temperature from 200 °C to 250 °C for all tested compounds (Figure 2A). While increasing the desolvation temperature almost has no effect on the % ratio of HFPO-TA, this led to an increase in the % ratio of PFODA and PFHxDA, the stable and longer chain PFAS (Figure 2B).

Systematic optimization of source parameters, to improve the ion intensities of PFAS, showed that decreasing the capillarity voltage from 0.8 V to 0.5 V, and the desolvation gas flow from 600 L/h to 400 L/h provided optimum solvent desolvation whilst minimising the IFS. In addition, depending on the compounds of interest, a source temperature between 85 °C and 100 °C reduced ISF. If the study is focused on specific compound types for short chain PFCAs a source temperature of 85 °C is advised, whereas, for longer chain PFAS, a source temperature 100 °C is optimal. For the cone voltage, cone gas flow, and desolvation temperature the initial settings were maintained (10 V, 100 L/h, and 250 °C, respectively). 

2. StepWave XS Parameters Optimization

A series of ion optics help ion transmission through the system. In this section the role of three different parameters on the ion intensity and fragmentation of labile PFAS were tested, these include the source offset and the StepWave XS body gradient and StepWave RF voltage (Figure 1 B and C, respectively).

To investigate the role of the source offset on the ion transmission and resulting response, 10 V increments for the source offset voltages, from 0 V to 40 V, were investigated. The default source offset value on the Xevo G3 QTof instrument is 30 V. Two main parameters tested for the StepWave XS were the Body gradient voltage and the StepWave RF voltage. The effect of reducing the body gradient voltage from the default value 10 V to 5 V was evaluated. The default value for the StepWave RF is 150 V, with two other voltages 50 V and 100 V evaluated. The role of these parameters on the ion intensity and % ratio is depicted in figure 3 A and B, respectively.

The effect of the source offset and StepWave XS parameters on the parent ion intensity
Figure 3. The effect of the source offset and StepWave XS parameters on the parent ion intensity (A) and fragment-to-parent ion ratio (% ratio) of labile PFAS (B). The y-axis of the ion intensities is in Log10 scale. The values are representative of an average of two consecutive measurements.

Changing the source offset value from 0 V to 10 V significantly increased the ion intensities of all the tested standards. Higher source offset values than 10 V induced a minor decrease in the ion intensities (Figure 3A). The effect of the source offset on the fragmentation of labile PFAS standards followed the same trend (Figure 3B). By increasing the source offset from 0 V to 10 V, both the ion intensities and fragmentation of the labile compounds increased. A source offset value of 10 V induced the highest % ratio. With further increases in the source offset, a minor drop in the % ratio was observed (Figure 3B). The drop in fragmentation is more important than the drop in ion intensities. Herein, a source offset value of either 20 V or 30 V, is an acceptable compromise between optimal ion transmission, and minimal in-source fragmentation.

As for the two parameters related to the StepWave XS, lowering the body gradient voltage from 10 V to 5 V has a positive effect on the ion intensity. The intensities of all nine tested compounds increased when the body gradient voltage set to 5 V. The % ratio was, however, compound dependent. The % ratio of HFPO-TA remained comparable between a body gradient voltage of 5 V or 10 V (10.7% and 10.5%, respectively), suggesting there was little effect on the fragmentation of HFPO-TA when changing the body gradient voltage. The % ratio of PFHxDA and PFODA, however, followed a different pattern. Decreasing the body gradient voltage from 10 V to 5 V increased the ion intensity of PFHxDA by approximately 30% (Figure 3A) and consequently increased the PFHxDA % ratio from 6.5% to approximately 10%. This implies that a lower body gradient voltage improves PFHxDA ions transmission, with no improvement on the fragmentation (Figure 3). Conversely, the transmission of PFODA increased by 35% when decreasing the body gradient to 5 V while the % ratio dropped from 5.0% to 4.2% (Figure 3B). This implies that the improvement is in the ion transmission of PFODA with minor improvement on the fragmentation. The difference in % ratio between the two PFCAs could be attributed to the carbon chain length. PFHxDA is composed of 16 carbon atoms whereas PFODA is composed from 18 carbon atom. The difference in behaviour between the PFHxDA and PFODA points out the importance of the body gradient voltage on different carbon chain lengths of PFAS in general and on PFCAs in particular. Herein, a body gradient voltage of 5 V is sufficient for an optimum ion transmission of all the tested PFAS classes. In addition, lowering the body gradient voltage generates enough ion acceleration to move the ions towards the analyzer with compound dependent effect on fragmentation. The effect of decreasing the body gradient voltage on the % ratio was tested on short chain length PFCAs (paragraph 4).

On optimizing the StepWave RF voltage, factors such as a high RF voltage may induce ion heating and thus trigger labile ion fragmentation. The default StepWave RF (SW RF) is 150 V. Lower values SW RF voltages were tested. Ion intensities slightly increase when changing the SW RF value from 50 to 100 V, and then plateau at 150 V for eight out of the nine studied compounds, the exception being 3:3 FTA. 3:3 FTA is the smallest compound in the mix with a molecular weight (MW) of 242.02 Da (Figure 3A).

As for the labile compounds, the % ratio for both PFHxDA and PFODA (PFCAs) follows the same pattern where the fragmentation increases by increasing the SW RF value. Indeed, high SW RF values may increase the ion acceleration and therefore, induce additional fragmentation. As for HFPO-TA, surprisingly, the % ratio slightly drops by increasing the SW RF from 50 V to 150 V from 11% to 10.7%, respectively (Figure 3B).

In conclusion, a source offset value between 20–30 V, body gradient of 5 V and SW RF of 100 V are recommended for PFAS analysis. These values ensure an optimum transmission of both labile and stable compounds, between long chain and short chain PFAS.

3. Low Transfer Energy

The collision cell is located between the quadrupole and transfer lens (Figure 1 D). The default low collision energy value within the software is 6 V, as part of the optimization voltages ranging from 2 V to 8 V were evaluated (Figure 4).

The effect of low transfer energy on the parent ion transmission and % ratio of labile PFAS
Figure 4. The effect of low transfer energy on the parent ion transmission and % ratio of labile PFAS. A: Log10 of the parent ion intensity, B: Fragment-to-parent ratio (% ratio). Each value is an average of two consecutive measurements.

The ion intensities of all tested nine PFAS standards increased with the increase of low CE voltage from 2 V to 4 V. However, different profiles of intensities can be observed when this voltage is increased from 4 V to 6 V then 8 V. The ion intensities of long chain PFAS increases when increasing the low CE value from 2 V to 8 V. These include PFDoDS (C12), PFTrDS (C13), PFHxDA (C16), and PFODA (C18). As for 5:3 FTA (C8), 7:3 FTA (C10), HFPO-TA (C9), and PFUnDS (C11) the parent ion intensities are optimal at 6 V, then decrease at 8 V (Figure 4A). A 25% decrease in intensity was observed for the lower MW compounds, including 5:3 FTA (Figure 4A). For 3:3 FTA (C6), the lowest MW compound in the mix, the ion intensity was at its maximum at 4 V then dropped by 12% at 6 V (Figure 4A).

When investigating the effect of low CE on labile PFAS, the % ratio of HFPO-TA, PFHxDA, and PFODA increases exponentially with the increase of low CE, with a steeper curve for PFHxDA (Figure 4B). This implies that a low CE has an important effect on the fragmentation of short chain PFCAs. (Figure 4B). Herein, changing the low CE value from 6 V to 4 V reduces fragmentation without compromising the transmission of long chain and stable PFAS classes.

4. Comparison Between the Initial Method and the Labile Method for the Analysis of PFCAs

To confirm the above findings, further investigations were carried out on a larger set of PFCAs with varying carbon backbone chain length (from 4 to 18). During the experiment the initial method settings (described in the method paragraph) were compared to the labile method. The latter consisted of a labile acquisition setting where all the source and transmission parameters were modified according to the above results (paragraphs 1 to 3). A summary of the tested parameters is in table 2, in bold are the optimized settings.

Source and transmission parameters of the initial and labile acquisition method
Table 2. Source and transmission parameters of the initial and labile acquisition method.

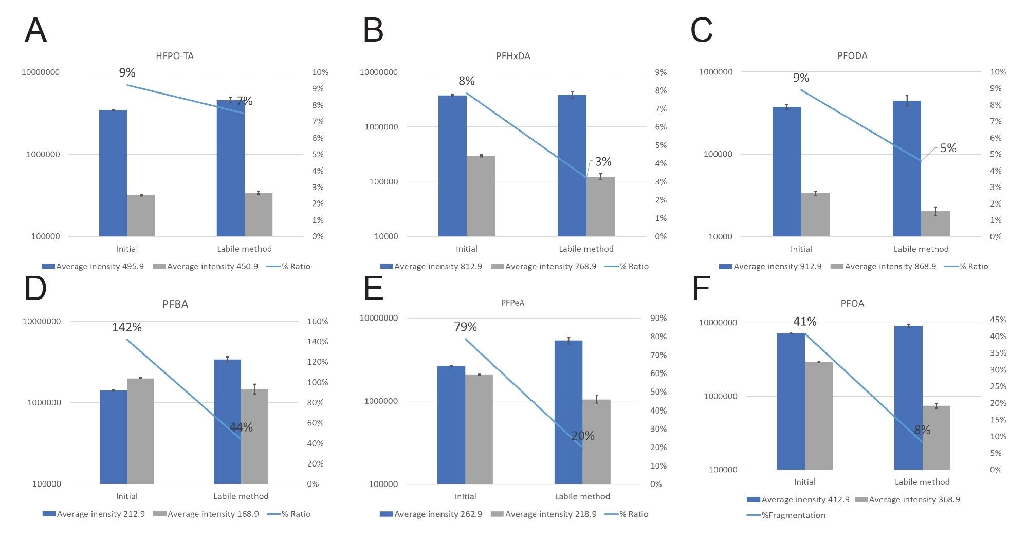
Figure 5 illustrates the ion intensities for six PFAS standards. Figure 5 A, B, and C correspond to HFPO-TA, PFHxDA, and PFODA, respectively. These three compounds were used during the optimization tests described in the previous paragraphs. Figure 5 D, E, and F, correspond to the short chain length PFCAs; PFBA (C4), PFPeA (C5), and PFOA (C8), respectively, selected to confirm the improvement in ion response on short chain PFCAs. The blue bars represent the precursor ion intensity, the grey bars represent the corresponding decarboxylated ion intensity. The blue lines (secondary y-scale) represent the % ratio. The values are an average of three consecutive measurements, the error bars correspond to the standard deviation.

Log10 of the parent ion intensities of six standards and their decarboxylated fragment ions
Figure 5. Log10 of the parent ion intensities of six standards and their decarboxylated fragment ions (Blue bars and grey bars, respectively). A: HFPO-TA, B: PFHxDA, C: PFODA, C: PFBA, E: PFHpA, and F: PFOA. The blue traces on the secondary y-axis represent the fragment-to-parent ion ratio (% ratio). The values are an average of three consecutive measurements, with the standard deviation indicated on the plot. 

The effect of source and transmission parameters were explored on a larger number of linear PFCA standards (C4 to C18). Figure 5 illustrates a selection of six standards tested, three of which were in the optimization mix (HFPO-TA, PFHxDA, and PFODA) and three short chain PFCAs PFBA (C4), PFPeA (C5), and PFOA (C8). Analysing PFCA mix with various carbon chain lengths using the labile and intermediate methods has improved the ion transmission and reduced the decarboxylation of all PFCA standards.

By modifying the source and tune parameters (labile method detailed in table 2), the ion intensities of HFPO-TA, PFHxDA, and PFODA and % ratio improved (Figure 5 A, B, and C, respectively) in comparison to the initial parameters. This improvement of ion transmission, observed as reduction in fragment-to-parent ratio is valid for all studied PFCAs. The labile acquisition parameters and tune method significantly improved the intensities and reduced the % ratio of all the tested PFCAs (C4 to C8). This improvement in the signal was greatest for the short chain PFCA, such as PFBA (C4) and PFPeA (C5) where the ion intensity of both compounds doubled and the % ratio reduced from 142% to 44%, and from 79% to 20%, respectively (Figure 5 D and E, respectively). Importantly when the initial method settings were employed the decarboxylated PFBA were more abundant than the deprotonated molecular ions, with the optimized labile method this trend was reversed (Figure 5D).

The intensity for the deprotonated of PFOA (C8) improved by 20%, with the ratio of fragment-to-parent ion dropped from 41% to 4%, showing the importance of optimizing source and transmission parameters on the fragmentation (Figure 5).

Conclusion

Perfluoroalkyl carboxylic acids (PFCAs) are a challenging class of compounds to analyze by mass spectrometry certain classes of PFAS they readily undergo fragmentation. This fragmentation can occur during the ionization process (in-source fragmentation) or during ion transmission. Therefore, careful attention to the source and transmission parameters reduces the undesired decarboxylation and increases the response of the precursor ion. The study highlighted the importance of optimizing source and transmission parameters to reduce the undesirable fragmentation. The improvement in parent ion intensities is class dependent. The decarboxylation of PFCAs decreased with labile settings. The greatest improvement with labile tuning was observed for the short chain length PFCAs such as PFBA (C4), PFPeA (C5), and PFHpA (C6). The approach highlighted in this study can be applied to other classes of compounds prone to fragmentation.

References

  1. Guo J., Shen S., Xing S., Yu H., and Huan T. ISFrag: De Novo Recognition of In-Source Fragments for Liquid Chromatography–Mass Spectrometry Data. Anal. Chem (2021) 93: 10243–10250.
  2. CompTox PFAS|EPA: PFAS structures in DSSTox. https://comptox.epa.gov/dashboard/chemical-lists/PFASSTRUCTV5 (update August 2022).
  3. Wang Z., DeWitt J.C., Higgins C.P, and Cousins I.T, A Never-Ending Story of Per- and Polyfluoroalkyl Substances (PFASs)? Environ. Sci. Technol. (2017) 51: 2508–2518.
  4. XiaoZhi Lim. Can the world leave ‘forever chemicals’ behind? Nature (2023) 620: 24–27.
  5. Voogt P. de and Saez M. Analytical chemistry of perfluoroalkylated substances. Trends in Analytical Chemistry (2006) 25: 326–342.

720008118, November 2023

Back To Top Back To Top