• Applikationsbericht

Comparing Mobile Phase Additives for the Separation of mAb Tryptic Peptides: A Case Study on Formic, Difluoroacetic, and Trifluoroacetic Acid

Comparing Mobile Phase Additives for the Separation of mAb Tryptic Peptides: A Case Study on Formic, Difluoroacetic, and Trifluoroacetic Acid

  • Jennifer M. Nguyen
  • Xiaoxiao Liu
  • Matthew A. Lauber
  • Waters Corporation
Human antibody (immunoglobulin)

Abstract

This application note expands upon the noted advantages of DFA. With this work, we have explored the use of purified DFA (IonHance DFA) for peptide mapping and found value in its unique selectivity and ability to afford low adduct mass spectra. Moreover, we have compared the performance of DFA peptide mapping against traditional approaches based on FA and TFA.

Benefits

  • Alternative chromatographic selectivity with DFA versus FA or TFA
  • High peak capacity separations
  • Improved MS sensitivities versus TFA
  • MS-grade purity to facilitate the acquisition of high-quality mass spectra

Introduction

Peptide mapping is an important technique for the characterization of biopharmaceuticals. Peptide mapping can report on the primary structure of a protein through an examination of its amino acid sequence. The separations underlying this approach are based upon reversed-phase liquid chromatography and are readily coupled to mass spectrometry (RP LC-MS). Separations  using spectroscopic detection often employ trifluoroacetic acid (TFA) in the mobile phase, a strong, hydrophobic acid and an effective ion pair for minimizing chromatographic secondary interactions. Conversely, to avoid ion suppression, LC-MS analyses are often performed with a weaker ion pairing modifier, like formic acid (FA), but with a compromise to chromatographic resolution.

An alternative mobile phase modifier, difluoroacetic acid (DFA), might also be worth consideration.1,2 DFA is less acidic and less hydrophobic than TFA and it lowers the surface tension of droplets during electrospray, which confers notable gains in MS sensitivity. Additionally, DFA has been shown to sometimes yield higher resolution separations when used in place of FA and TFA for protein separations.3 However, it has also been shown that it is necessary to use a purified form of DFA if high quality mass spectra are to be obtained.3

This application note expands upon the noted advantages of DFA. With this work, we have explored the use of purified DFA (IonHance DFA) for peptide mapping and found value in its unique  selectivity and ability to afford low adduct mass spectra. Moreover, we have compared the performance of DFA peptide mapping against traditional approaches based on FA and TFA.

Experimental

Sample preparation

A reduced and alkylated tryptic digest of NIST Reference Material 8671 (NIST mAb) was acquired in the form of the Waters mAb Tryptic Digest Standard (p/n: 186009126). Each vial of this standard contains approximately 40 μg of peptides and was reconstituted in 80 μL of 0.1% (v/v) formic acid (FA) in 18.2 MΩ water.

Method conditions

LC system:

ACQUITY UPLC H-Class Bio coupled to a Xevo G2-XS QToF

Data management:

MassLynx Software v4.1

UNIFI Scientific Information System v1.8

Columns:

ACQUITY UPLC Peptide BEH C18, 130 Å, 1.7 μm, 2.1 × 150 mm (p/n: 186003556)

ACQUITY UPLC Peptide CSH C18, 130 Å, 1.7 μm, 2.1 × 150 mm (p/n:186006938)

Mobile phase A:

0.1% FA, DFA, or TFA (v/v) in water

Mobile phase B:

0.1% FA, DFA, or TFA (v/v) in acetonitrile

Column temp.:

80 °C

Detection (UV):

210 nm (separations using FA)

214 nm (separations using TFA)

219 nm (separations using DFA)

Injection volume:

10 μL

Gradient:

Initial gradient starts at 1.0% B (BEH column)

Initial gradient starts at 0.5% B (CSH column)

Time

Flow

%A

%B

Curve

Initial

0.200

99.0 or 99.5

0.5 or 1.0

Initial

10.00

0.200

99.0 or 99.5

0.5 or 1.0

6

75.00

0.200

60.0

40.0

6

76.00

0.200

20.0

80.0

6

80.00

0.200

20.0

80.0

6

81.00

0.200

99.0 or 99.5

0.5 or 1.0

6

100.00

0.200

99.0 or 99.5

0.5 or 1.0

6

Data treatment and analysis

Effective peak capacity (Pc*) was calculated from Eq. 1, where Δt is the retention time difference between the HC:T2 and LC:T15 peptides of the tryptic digest standard. Additionally, Eq. 2 was used to judge the relative abundance of unmodified versus modified peptide species.

Equation 1
Effective peak capacity equation, where Δt is the difference in retention times for the first eluting peak and the last eluting peak (HC:T2 and LC:T15 peptides of the tryptic digest standard), and W50%, avg is the average peak width at half height for the analyte(s) under investigation.
Equation 2
Calculation for the relative abundance of a peptide species, where ΣEIC2 is the summed peak area of the extracted ion chromatogram of the secondary species and ΣEIC1 is the summed extracted ion chromatogram of the primary species.

Results and Discussion

Alternative Selectivity

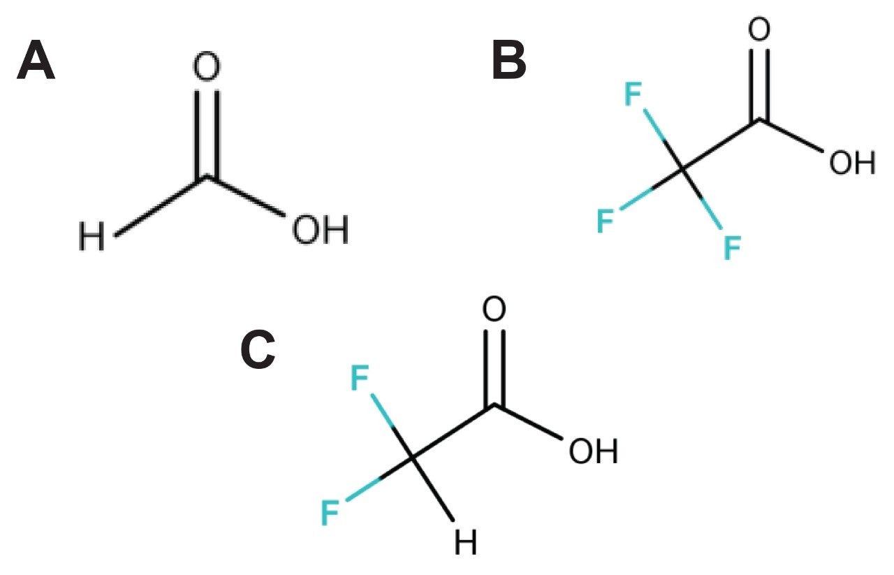
Recent work on the use of IonHance DFA for intact, subunit, and peptide levels of analysis has indicated that DFA is a promising alternative to FA or TFA.3,4,5 The structures of each acid are shown in Figure 1. The value of DFA as a mobile phase modifier for peptide separations has been previously reported using an eight-peptide standard.5,6 To further expand upon its potential in peptide mapping, the chromatographic and MS performance of DFA versus FA and TFA is further reviewed here.

Structures of formic acid, trifluoroacetic acid and difluoroacetic acid
Figure 1. Structures of (A) formic acid (FA), (B) trifluoroacetic acid (TFA), and (C) difluoroacetic acid (DFA).

Key to these experiments has been the availability of IonHance DFA, a purified, MS-grade form of DFA that is certified to contain no more than 100 ppb of sodium and potassium.

Using IonHance DFA as well as MS-grade FA and TFA, we have thoroughly investigated the peptide mapping of a reduced and alkylated tryptic digest of NIST reference material 8671 (NIST mAb). Two hybrid silica columns, an ACQUITY UPLC Peptide BEH C18 Column and an ACQUITY UPLC Peptide CSH C18 Column, were chosen for use because of their known capabilities for peptide mapping separations. The CSH particle technology differs from the BEH Technology in that its ligand density is slightly lower, and that it was designed with a low-level surface charge to improve sample loadability and peak asymmetry in low ionic strength mobile phases. This surface charge is the primary contributor to the different selectivities found between the BEH and CSH columns.7,8

Figure 2 presents the UV and BPI chromatograms of separations resulting from the BEH column, while Figure 3 depicts chromatograms obtained with the CSH column. Due to the variances in UV absorptivity between the acids, different wavelengths were found to optimize the baseline properties of the separation (Figures 2A and 3A). Additionally, since each stationary phase imparts a unique selectivity and retentivity to the separation, it was necessary to make slight adjustments to the gradient conditions depending on the employed combination of reagent and column technology.7

Representative UV and BPI chromatograms
Figure 2. Representative (A) UV and (B) BPI chromatograms from a peptide mapping separation of the mAb Tryptic Digestion Standard using 0.1% FA, IonHance DFA, or TFA-modified mobile phases and an ACQUITY UPLC Peptide BEH C18 , 130 Å, 1.7 μm, 2.1 × 150 mm Column.
Representative UV and BPI chromatograms
Figure 3. Representative (A) UV and (B) BPI chromatograms from a peptide mapping separation of the mAb Tryptic Digestion Standard using 0.1% FA, IonHance DFA, or TFA-modified mobile phases and an ACQUITY UPLC Peptide CSH C18 , 130 Å, 1.7 μm, 2.1 × 150 mm Column

Differences in selectivity and retentivity can be visualized by comparing separations using FA, DFA, and TFA. Peptide retentivity increases in the order of FA to DFA to TFA, which is due to the increase in ion pairing as the strength and hydrophobicity of the acid increases. More effective ion pairing helps to neutralize the basic sites on peptides or proteins and minimizes secondary interactions, reducing peak tailing and increasing retention. As DFA exhibits properties between FA and TFA, it offers an alternative to their conventional selectivity and retentivity. This could be advantageous to analysts needing to develop certain peptide maps and separations for resolving certain critical peptide species.

MS Sensitivity and Charge State Distributions

The BPI chromatograms in Figures 2B and 3B indicate that separations using DFA provide slightly lower MS sensitivity than separations using FA but higher sensitivity than separations with TFA. This can be further confirmed through the evaluation of the peak areas of eight peptides, which is shown in Figure 4. Duplicate runs from both the BEH and CSH columns were analyzed and the resulting data were averaged together to generate a comparison plot representing the use of each acid. The peptides were chosen to offer a broad distribution of size and hydrophobicity.

Average peak areas taken from the BPI chromatograms
Figure 4. Average peak areas taken from the BPI chromatograms of eight tryptic peptides from the separation of the mAb Tryptic Digestion Standard using 0.1% FA, IonHance DFA, or TFAmodified mobile phases and an ACQUITY UPLC Peptide BEH C18, 130 Å, 1.7 μm, 2.1 × 150 mm Column and ACQUITY UPLC Peptide CSH C18, 130 Å, 1.7 μm, 2.1 × 150 mm Column.

Table 1 lists the analyzed peptides and their weighted average charge states. The mass spectra corresponding to each data point are shown in Figure 5. Charge states observed with DFA tended to be between those observed with FA and TFA. With subunit separations, similar charge states have been seen between FA and DFA, suggesting that their ionization efficiencies may be more similar than DFA and TFA, at least for high(er) molecular weight regimes.3 Here, with peptide mapping, the most abundant charge state is generally the same between FA and DFA, with some exceptions.

List of the eight tryptic peptides
Table 1. List of the eight tryptic peptides from the mAb Tryptic Digestion Standard analyzed for peak area and peak capacity, where modification sites are labeled in red. Analyses were performed using 0.1% FA, IonHance DFA, or TF-modified mobile phases and an ACQUITY UPLC Peptide BEH C18 , 130 Å, 1.7 μm, 2.1 × 150 mm Column and ACQUITY UPLC Peptide CSH C18 , 130 Å, 1.7 μm, 2.1 × 150 mm Column. Charge states are reported based on weighted averages of observed ion intensities.
 Mass spectra of the eight tryptic peptides
Figure 5. Mass spectra of the eight tryptic peptides from the mAb Tryptic Digestion Standard analyzed for peak area and peak capacity. Analyses were performed using 0.1% FA, IonHance DFA, or TFA-modified mobile phases and an ACQUITY UPLC Peptide BEH C18 , 130 Å, 1.7 μm, 2.1 × 150 mm Column.

An example of this can be seen in the mass spectra of the HC:T14 peptide that are shown in Figure 6. As can be seen, charge state abundances differ significantly with separations using TFA versus FA and DFA. Here, the relative abundances of the 3+ and 2+ charge states are very similar with FA and DFA, but when using TFA, the 2+ charge state becomes much more prominent. For all but one of the analyzed peptides, FA and DFA share the same most abundant charge state. However, in terms of weighted average charge state, DFA can sometimes yield charge states closer to those seen with TFA. An example is the early eluting peptides of NIST mAb. Interestingly, many of these peptides show charge states that are lowest using DFA followed by TFA, as exemplified by the HC:T2 peptide in Figure 5. This suggests that FA, DFA, and TFA may differ in how their charge state distributions are affected by certain characteristics of peptides or gradient conditions.

Mass spectra of the HC:T14 peptide
Figure 6. Mass spectra of the HC:T14 peptide from a peptide mapping separation of the mAb Tryptic Digestion Standard using 0.1% FA, IonHance DFA, or TFA-modified mobile phases and an ACQUITY UPLC Peptide BEH C18 , 130 Å, 1.7 μm, 2.1 × 150 mm Column.

Finally, the properties of peptides containing modifications were also evaluated between each acid modifier. An example of one type of modified peptide is shown in Figure 7. The peptide under review is LC:T37 and it was found that it has a deamidated counterpart. To estimate the relative abundance of the deamidated species to the primary species, the peak areas from the extracted ion chromatograms of both were taken. For separations using FA or DFA, the relative abundances of deamidated LC:T37 peptide were calculated to be 2.6% while for separations with TFA, it was 2.5%. The similarity in these results suggests that each method is capable of yielding the relative abundances of modified peptide species.

 Extracted ion chromatograms
Figure 7. Extracted ion chromatograms of the unmodified and deamidated species of LC:T37 from the mAb Tryptic Digestion Standard using 0.1% FA, IonHance DFA, or TFA-modified mobile phases and an ACQUITY UPLC Peptide BEH C18 , 130 Å, 1.7 μm, 2.1 × 150 mm Column.

Resolution

When assessing LC resolution, we found that DFA offers high peak capacities nearer those obtained with TFA (Figure 8). These peak capacities were calculated from Eq. 1 with peak widths at half height taken from the extracted ion chromatograms of the eight peptides.

The results in Figure 8 fall into place in a predictable way. The strongest acid and most hydrophobic ion pairing reagent, TFA, provided the highest resolution while the weakest and least hydrophobic, FA, gave the lowest. It can also be seen that, for this separation, the CSH column produced higher peak capacities than the BEH column. This is likely due to favorable contributions from its positively charged stationary phase. However, it is worth noting that separations combining DFA or TFA with the BEH column can show higher resolution than the CSH column coupled with FA modified mobile phases.

 Effective peak capacities based on eight tryptic peptide
Figure 8. Effective peak capacities based on eight tryptic peptides from the mAb Tryptic Digestion Standard. Analyses were performed using 0.1% FA, IonHance DFA, or TFA-modified mobile phases and either an ACQUITY UPLC Peptide BEH C18 , 130 Å, 1.7 μm, 2.1 × 150 mm Column or ACQUITY UPLC Peptide CSH C18 , 130 Å, 1.7 μm, 2.1 × 150 mm Column. Reported averages are based on duplicate analyses.

Yet another important observation is one related to the distribution of peptides across the chromatogram and corresponding separation space. Although FA separations show comparatively low peak capacities, they appear to give the most appealing distribution of peptides across the chromatograms, with somewhat fewer clusters of peptides. TFA seems to produce the poorest distribution. This distribution and apparent selectivity can be advantageously exploited when needingto separate particular groups or characteristics of peptides.

Low Adduct MS Spectra

Mobile phase quality will often correlate with mass spectral quality. This can be demonstrated through the use of commercial, reagent quality DFA versus MS grade FA and IonHance DFA, which has been purified to MS-grade specifications.6 Figure 9A indicates that while reagent grade DFA can give similar chromatography to purified DFA, it contains a high concentration of sodium that can readily complicate MS spectra with sodiated adducts (Figure 9B). Trace-level metal contaminants generally do not affect protein or peptide separations, but they can disrupt the interpretability of the mass spectra by distorting relative abundances of protonated species and causing spectral crowding. Using a reagent certified to have low metal content, such as IonHance DFA, it is possible to acquire high quality MS data.

Interestingly, a difference can be found when comparing the sensitivity of peptides versus protein subunits to the formation of sodium adducts. As exemplified in Figure 9B, peptide mass spectra can be populated with sodiated ions corresponding to as much as 20% of the main peak when an inferior quality of acid modifier is employed. In contrast, the sodiated ion of the light chain from NIST mAb tends to only approach a level of 4%.3 This suggests that certain analyte classes and properties might be more susceptible than others to the formation of ion adducts.

BPI chromatograms and mass spectra
Figure 9. (A) BPI chromatograms and (B) mass spectra of the LC:T37 peptide from a peptide mapping separation of the mAb Tryptic Digestion Standard using 0.1% IonHance DFA, reagent grade DFA, and FA-modified mobile phases and an ACQUITY UPLC Peptide CSH C18 , 130 Å, 1.7 μm, 2.1 × 150 mm Column.

Conclusion

Peptide mapping separations are typically run using FA- or TFA-modified mobile phases, with FA providing better MS sensitivity than TFA and TFA producing higher peak capacities than FA. However, an alternative mobile phase modifier, DFA, has been developed that can give a better balance between chromatographic and mass spectrometric performance. IonHance DFA, a stringently purified form of DFA containing less than 100 ppb of sodium and potassium, offers unique selectivity for peptide RPLC separations while also giving strong MS sensitivity gains over TFA and improved peak capacities over FA. Its low metal content is essential to minimizing adduct formation in peptide mass spectra. Ultimately, IonHance DFA provides analysts with a valuable ion pairing option for improving LC-MS separations of peptides given that it confers unique selectivity and sensitivity gains that can prove advantageous for method development.

References

  1. Monroe, M. E. The University of North Carolina at Chapel Hill, 2002.
  2. Wagner, B. M.; Schuster, S. A.; Boyes, B. E.; Miles, W. L.; Nehring, D. R.; Kirkland, J. J. Tools to Improve Protein Separations. LCGC North America 2015, 33, 856–865.
  3. Nguyen, J.M.; Smith, J.; Rzewuski, S.; Legido-Quigley, C.; Lauber, M.A. High sensitivity LC-MS Profiling of Antibody-Drug Conjugates with Difluoroacetic Acid Ion Pairing. mAbs. 2019, 11 (7), 1–9.
  4. De Cecco, M.; Espeso M. S.; Nguyen, J. M.; and Lauber, M. A. LC-MS Profiling of IgG2 Isoforms Using Difluoroacetic Acid and Reversed-Phase Chromatography. Waters Technology Brief, 720006473EN (2019).
  5. Kellett, J.; Birdsall, R.; Yu, Y. Application of Difluoroacetic Acid to Improve Optical and MS Performance in Peptide LC-UV/MS. (2018). Waters Technology Brief, 720006482EN (2018).
  6. Nguyen, J. M.; Liu, X.; Lauber, M. A. Low Adduct Peptide LC-MS Obtained with IonHance DFA and Certified LDPE Containers. Waters Application Note, 720006596EN (2019).
  7. Lauber, M. A.; Koza, S. M.; McCall, S. A.; Alden, B. A.; Iraneta, P. C.; Fountain, K. J. High-Resolution Peptide Mapping Separations with MS-Friendly Mobile Phases and Charge-Surface Modified C18. Anal. Chem. 2013, 85 (146), 936–6944.
  8. Koza, S. M.; Chambers, Erin E. Selecting a Reversed-Phase Column for the PeptideMapping Analysis of a Biotherapeutic Protein. Waters Application Note, 720005924EN (2017).

720006681, October 2019

Zurück zum Seitenanfang Zurück zum Seitenanfang