小顆粒的前景

小顆粒的前景

解析度與柱內譜帶擴散的關係

解析度與柱內譜帶擴散的關係

如果從最基本的意義來思考層析分離解析度,可以簡單視作兩個波峰的寬度[w]相對於波峰之間距離[tR,2–tR,1]的比值。若能讓這些波峰變得更窄或彼此相距更遠,就能提高解析度。

圖14:基本解析度方程式。[N]是平板計數,[α]代表選擇性,[k]是滯留因子。
圖14:基本解析度方程式。[N]是平板計數,[α]代表選擇性,[k]是滯留因子。

解析度能以基本解析度方程式的形式用更相關的數學用語來表示。解析度方程式由影響層析分離解析度的物理和化學參數組成;分別是效率[N]、選擇性[α]和滯留性[k]。選擇性和滯留性屬於化學因子,歷來較容易操控以提高解析度。這些參數會受到溫度、洗脫溶劑、移動相組成和管柱充填材料等因素的影響。效率是物理[機械]參數,由於它是以平方根的形式影響解析度,因此較難操控。不過,若粒徑非常小,效率就會大大影響解析度。UPLC技術著重於以sub-2 µm顆粒來提高解析度,進而提高系統效率。

如果搞清楚這三個參數在層析分離中的表示方式,就不難理解它們是如何影響解析度的[圖15]。滯留性[k]和選擇性[α]是讓波峰相對移動的化學因子,也是分析物與固定相和移動相交互作用的量度。增加k可以提高解析度,但會導致滯留時間延長、靈敏度降低,且峰寬變寬。增加α也可以提高解析度,讓相似時間內的波峰洗脫順序相同,和/或洗脫順序有變化。效率[N]是分離中譜帶擴散的物理量度。假設縮減填充材料的粒徑來提高N,波峰中心到中心的距離並不會改變。與此同時,粒徑減小會讓層析峰變窄、效率更高,進而提高解析度和靈敏度。

圖15:各化學和機械因素分別對解析度的影響。
圖15:各化學和機械因素分別對解析度的影響。

解析度、效率和粒徑大小之間的關係

UPLC技術能透過最大限度降低儀器譜帶擴散,使用更高效率、更小顆粒的管柱[1.7 µm–1.8 µm],發揮最大的物理[機械]解析度。利用簡單的層析分離範例和基本算法,更好地瞭解UPLC技術背後的層析分離原理。

如基本解析度方程式所述,解析度與效率的平方根成正比。

圖16:解析度[Rs]與效率[N]的平方根成正比。
圖16:解析度[Rs]與效率[N]的平方根成正比。

此外,效率與粒徑大小成反比。也就是說,如果填充材料的粒徑變小,分離效率就會提高。例如,如果填充材料的粒徑大小從5 µm減小到1.7 µm [3倍],理論上效率應該增加3倍,解析度增加1.7倍 [3的平方根]。

圖17:在柱長不變的情況下,效率[N]與粒徑大小[dp]成反比。
圖17:在柱長不變的情況下,效率[N]與粒徑大小[dp]成反比。

為了讓效率和解析度增益達到理論預測值,必須根據粒徑大小運作最佳流速。最佳流速[Fopt]與粒徑大小成反比。也就是說,如果粒徑大小從5 µm減小到1.7 µm [3倍],則運作該顆粒的最佳流速會增加3倍,分析時間按同等程度縮短[3倍],由此增加樣品通量。

圖18:在柱長不變的情況下,流速[Fopt]與粒徑大小[dp]成反比,導致分析時間[T]縮短與粒徑減小成正比。
圖18:在柱長不變的情況下,流速[Fopt]與粒徑大小[dp]成反比,導致分析時間[T]縮短與粒徑減小成正比。

更改層析分離流速後,層析分離人員首先要做的就是觀察所發生的變化。如果流速增加,分析運作時間就會縮短。此外,波峰的寬度也會減小。隨著峰寬變窄,波峰高度會按比例增加。波峰越窄越高,就越容易偵測並與基線雜訊區分[S/N變高],獲得更高的靈敏度。

圖19:峰寬越窄,效率和峰高越高。效率[N]與峰寬[w]的平方成反比。此外,隨著峰寬減小,峰高按比例增加。
圖19:峰寬越窄,效率和峰高越高。效率[N]與峰寬[w]的平方成反比。此外,隨著峰寬減小,峰高按比例增加。

這些理論原理已應用於層析分離作業中。如圖20所示,當ACQUITY UPLC儀器中的柱外譜帶擴散降至最低時,管柱就能達到理論效能。

圖20:理論對照現實。在兩支尺寸相同[2.1 x 50 mm]的管柱上進行分離。兩種分離使用的層析條件相同,只有流速是根據粒徑大小來調整。
圖20:理論對照現實。在兩支尺寸相同[2.1 x 50 mm]的管柱上進行分離。兩種分離使用的層析條件相同,只有流速是根據粒徑大小來調整。

以上討論證實了柱內譜帶擴散的重要性。若能進一步瞭解哪些過程會影響譜帶擴散,以及如何減少這種擴散,就能提高效率,進而提高解析度。

瞭解凡第姆特(van Deemter)曲線

如前所述,峰寬可視為分析物分子的統計分布[變異數,σ2]。峰寬與波峰行進的距離成正比線性增加。峰寬與波峰行進距離之間的關係是一種所謂「理論板相當高度」[HETP或H]的概念。H源自蒸餾理論,是管柱效能的一種量度,需要考慮多種譜帶擴散相關過程。用更熟悉的話來說,HETP越小,管柱中的平板數[N]就越多[圖21]。

圖21:測定HETP的簡化方程式。[L]是柱長,[N]是平板計數,[HETP]是理論板相當高度。
圖21:測定HETP的簡化方程式。[L]是柱長,[N]是平板計數,[HETP]是理論板相當高度。

如果搞清楚分析物分子在管柱內的情形[分析物分子與移動相和固定相交互作用的方式],就能進一步瞭解正在發生的不同擴散相關過程,這些過程會影響層析效能[圖22]。

有幾個同時發生的擴散相關過程:

  1. 分析物分子輸送到顆粒表面和顆粒週圍[渦流擴散]
  2. 分析物分子在大體積移動相中前後擴散[縱向擴散]
  3. 分析物分子擴散進出層析孔隙[質量傳遞]。
圖22:管柱內發生的擴散過程。
圖22:管柱內發生的擴散過程。

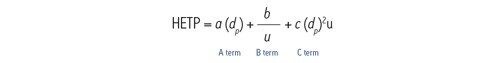
這些擴散相關過程可以用范第姆特方程式的數學形式來表示。

圖23:范第姆特方程式。
圖23:范第姆特方程式。

范第姆特方程式由三項組成:

  • A項[渦流擴散]主要與填充材料的粒徑大小有關,此值也取決於填充床的填充程度。同時還與顆粒上和顆粒週圍的流動均勻性或不均勻性有關。
  • B項[縱向擴散]與分析物在大體積移動相中和固定相上的擴散有關,會隨著移動相速度[線性速度]增加而減小。
  • C項[質量傳遞]與線性速度[移動相速度]和粒徑大小的平方有關。質量傳遞是分析物分子與固定相內表面的交互作用,以及擴散進出填充材料孔隙的距離。

這三項可以繪製在HETP與移動相線性速度[u]的對比圖上單獨觀察[圖24]。

圖24:范第姆特方程式中各參數項的繪製圖。
圖24:范第姆特方程式中各參數項的繪製圖。

A項繪製為一條水平線。它與粒徑大小和管柱的填充程度有關,與線性速度[移動相速度]無關。隨著填充材料粒徑減小,H值也會減小[效率更高]。

B項繪製為隨著線性速度增加而向下傾斜的曲線。此項與粒徑大小無關,表示如果移動相以較慢的線性速度移動,分析物分子就會在管柱中停留較長時間,因此有更大的機率發生管柱內譜帶縱向擴展[擴散]的現象。反之,如果移動相以較快的線性速度移動,擴散的時間就會縮短,因此譜帶擴散的時間也會縮短。

C項繪製為H和u之間的線性增加關係。在分子分布中,一些分子會進入固定相孔隙,而其他分子則留在流動的移動相中,直到抵達其他的固定相顆粒為止。隨後發生相反的過程,固定的分子會脫離固定相,進一步向填充床下端移動。分子進出孔隙需要時間,因此當分子從一個顆粒轉移到下一個顆粒時,含有這些分子的分析物譜帶在沿管柱長度向下移動時會變寬。固定相顆粒越小,這個過程就越快,以防止分析物譜帶擴散。如果移動相快速流動,則固定分子與向前移動的分子之間就會拉開距離。這表示,為了讓分析物分子群體保持在一起移動,移動相應以較慢的線性速度移動。隨著移動相速度增加,分析物分子群體會變得更加分散,導致譜帶擴散增加。

將A、B、C三項整合到一起即得到范第姆特曲線[圖25]。以曲線最低點對應的線性速度進行分離將得到最高的效率和層析分離解析度。

如果將其與圖23中所示的范第姆特方程式相關聯,若粒徑縮減一半,則H減少2倍。因此,可以透過減小粒徑來減少管柱內的譜帶擴散。

圖25:將范第姆特方程式的三個參數項整合在一起得到范第姆特曲線。
圖25:將范第姆特方程式的三個參數項整合在一起得到范第姆特曲線。
圖26:10 µm顆粒和5 µm顆粒的范第姆特對比圖。
圖26:10 µm顆粒和5 µm顆粒的范第姆特對比圖。

例如,圖26描繪了10 µm顆粒和5 µm顆粒的范第姆特圖。如圖所示,對於較大的10 µm顆粒,要達到最低H值[18 µm @ 0.7 mm/s],其線性速度的最佳運作範圍非常窄。移動相的速度過慢或過快都會觀測到H值增加[效率損失],層析分離解析度和靈敏度也會因此降低。然而,5 µm顆粒的H值低更多[10 µm @ 0.95 mm/s,效率更高],在較高的移動相速度,以及更大的線性速度範圍內,就會達到如此低的H值。這表示,與填充更大10 µm顆粒的管柱相比,可以在更快的時間內達到更高效率和解析度。

為了多加瞭解這種作用,我們可以進一步研究粒徑大小對范第姆特方程式各項的影響。

粒徑大小對分析物譜帶會有顯著影響,因為它與A項[渦流擴散]相關。隨著粒徑減小,分析物分子從大體積移動相轉移到顆粒表面和顆粒周圍只需較短的時間。較大的顆粒會導致分析物分子行進路徑更長、更曲折。路徑差異會讓群體內分析物分子的遷移時間不同,進而讓分析物譜帶和波峰變寬。隨著填料粒徑減小,就會誘使分析物分子的路徑在長度上更加相似。導致較窄的分析物譜帶轉化為更窄波峰,效率更高且靈敏度更高[圖27]。

圖27:粒徑大小對A項的影響。
圖27:粒徑大小對A項的影響。

縱向擴散(B項)不受粒徑大小的直接影響。可是隨著粒徑減小,范第姆特方程式的其他參數(A和C項),也會變得更小。因此,最佳線性速度[移動相速度]提高,會讓譜帶擴散的機會減少。線性速度較慢,能讓分析物分子譜帶與填充材料相互作用得更久。這表示會有更多的時間軸向[縱向]擴散到移動相中,進而讓分析物譜帶變得更寬、更擴散。在更高的線性速度下,分析物分子群體可在更短的時間內通過管柱,讓分析物譜帶保持得更為集中,因縱向擴散時間更短,形成更窄、效率更高的波峰[圖28]。

圖28:線性速度對縱向擴散(B項)的影響。
圖28:線性速度對縱向擴散(B項)的影響。

C項[質量傳遞]受線性速度和粒徑大小的影響。分析物分子群體從移動相傳輸到顆粒表面。然後分析物分子通過孔隙中的移動相,抵達鍵結表面層(例如C18、C8等),接著與鍵結相交互作用,最後從孔隙中回到大體積移動相。不過,群體中的分析物分子進出孔隙的程度不同。這表示,當分子返回大體積移動相時,每個分析物分子行經的路徑長度不同,就會讓分析物譜帶擴散[加寬][圖29]。譜帶擴散量取決於移動相的速度[圖30]。

圖29:進出層析孔隙的質量傳遞[擴散]。
圖29:進出層析孔隙的質量傳遞[擴散]。
圖30:線性速度對質量傳遞和分析物譜帶的影響[相同粒徑大小]。
圖30:線性速度對質量傳遞和分析物譜帶的影響[相同粒徑大小]。

在線性速度很高的情況下,分子與顆粒表面交互作用並通過移動相轉移的時間會更久。移動相的速度越快,分析物分子通過管柱的速度就越快,讓分析物譜帶變得更寬、更不集中。如此一來就會讓層析峰變寬,靈敏度降低。

在線性速度較慢的情況下,與表面交互作用之間的步驟會較短。這會讓分析物譜帶更集中,形成更窄、更有效的層析峰。

由於質量傳遞與粒徑大小平方[dp2]的關係,當粒徑減小時,質量傳遞會顯著提高。顆粒較小的話,分析物分子進入孔隙、與層析分離顆粒表面交互作用並返回移動相所需的時間就會更短。因此,在較小顆粒管柱上進行分離處理的分析物分子會擴散得更快,產生更尖銳、更窄和更有效的層析分離譜帶[圖31]。

圖31:與粒徑大小相關的質量傳遞差異[代表100Å孔隙]。顆粒越小,形成的分析物譜帶越窄。
圖31:與粒徑大小相關的質量傳遞差異[代表100Å孔隙]。顆粒越小,形成的分析物譜帶越窄。

因此,粒徑減小能提高質量傳遞,進而有效降低C項的斜率,達到現今利用UPLC技術所能發揮的效能。如圖32中的范第姆特圖所示,1.7 µm顆粒的HETP值比3.5 µm顆粒低2-3倍。此外,線性速度提高和速度範圍更寬會得到更低的H值。也就是說,使用更小顆粒可以顯著改善質量傳遞,達到更好的效率和解析度。這也表示,可以使用更大範圍的線性速度來改進效能。分離處理能以更快的線性速度進行,不僅提高了分析速度,也不會讓解析度大打折扣。

圖32:粒徑大小的范第姆特對比圖。
圖32:粒徑大小的范第姆特對比圖。

柱外[儀器]譜帶擴散對范第姆特圖的影響

隨著UPLC技術在層析分離實驗室日益獲得重視和普及,范第姆特圖已成為一種很普遍的方法,用於量測sub-2 µm顆粒相對於現有HPLC粒徑大小的效能增益。如果不是在能徹底降低柱外譜帶擴散現象的儀器上進行這些比較測量,就可能會得出錯誤的結論。

為了證明柱外譜帶擴散對效能量測的重要性,我們在傳統HPLC儀器[譜帶擴散=7.2 µL]上產生范第姆特圖,來比較1.7 µm和2.5 µm顆粒[圖33]。兩種管柱的顆粒基質和鍵結相化學性質相同。乍看之下,范第姆特圖推論這兩種管柱的效能沒有明顯差異。怎麼會這樣?

此例中,HPLC儀器的譜帶擴散導致1.7 µm顆粒的UPLC管柱與2.5 µm顆粒的HPLC管柱在效能測量上結果相似。1.7 µm顆粒的UPLC管柱會產生較小的峰寬,柱外譜帶擴散對其的影響比對填充較大顆粒[例如2.5 µm]的管柱更大,因此會產生這種誤導性結果。

圖33:在HPLC儀器上比較sub-3 µm顆粒,得出相似的效能和線性速度範圍。乙烷合萘在XBridge™ HPLC C18 2.1 x 50 mm, 2.5 µm管柱和ACQUITY UPLC BEH C18 2.1 x 50 mm, 1.7 µm管柱上的范第姆特曲線。
圖33:在HPLC儀器上比較sub-3 µm顆粒,得出相似的效能和線性速度範圍。乙烷合萘在XBridge™ HPLC C18 2.1 x 50 mm, 2.5 µm管柱和ACQUITY UPLC BEH C18 2.1 x 50 mm, 1.7 µm管柱上的范第姆特曲線。

然後在ACQUITY UPLC儀器[譜帶擴散= 2.8 µL]上進行相同的實驗。ACQUITY UPLC儀器的系統體積比HPLC儀器小84%,譜帶擴散少60%。

如圖34所示,在ACQUITY UPLC儀器上運作時,這兩種管柱的效能出現顯著差異。除了觀測到的HETP差異外,最佳線性速度從3.0 mm/s [2.5 µm顆粒]提高到10.0 mm/s [1.7 µm顆粒],證明了HETP較低[效率更高]和線性速度更快的效能增益[以及因此而有的通量]與UPLC技術相關。

圖34:在ACQUITY UPLC儀器上比較sub-3 µm顆粒,隨著粒徑減小,效能提高,線性速度範圍擴展。乙烷合萘在XBridge HPLC C18 2.1 x 50 mm, 2.5 µm管柱和ACQUITY UPLC BEH C18 2.1 x 50 mm, 1.7 µm管柱上的范第姆特曲線。
圖34:在ACQUITY UPLC儀器上比較sub-3 µm顆粒,隨著粒徑減小,效能提高,線性速度範圍擴展。乙烷合萘在XBridge HPLC C18 2.1 x 50 mm, 2.5 µm管柱和ACQUITY UPLC BEH C18 2.1 x 50 mm, 1.7 µm管柱上的范第姆特曲線。

保持分離處理完整性,絕不妥協

既然已經大致瞭解了柱外和柱內譜帶擴散功能,就能以更實用的方式將這些專有名詞[HETP與線性速度]的量度聯繫起來,也就是平板計數與流速。

如前所述,線性速度是移動相流過管柱時的速度。這個專有名詞可用於標準化不受管柱內徑影響的移動相流速,以便量測和比較不同尺寸管柱的效能。最佳線性速度與最佳流速直接相關[圖35]。傳統HPLC管柱只能在較窄的流速範圍內運作,才能達到最佳效能。如果在此範圍之外運作,就可以預期效能會下降。

圖35:最佳線性速度對應於達到最高效能的最佳流速。數值是針對2.1 mm內徑 x 50 mm長,填充1.7 µm顆粒的管柱計算得出。
圖35:最佳線性速度對應於達到最高效能的最佳流速。數值是針對2.1 mm內徑 x 50 mm長,填充1.7 µm顆粒的管柱計算得出。

在傳統HPLC中縮短分析時間[提高通量],常見的做法就是提高流速。若顆粒較大,提高流速通常會導致效率和解析度大有損失,因為是在HPLC顆粒[壓縮層析分離]的最佳線性速度上運作。要在層析分離效能和分析速度之間採取折衷辦法,這就是HPLC連帶會有的問題[圖36]。

圖36:在HPLC中,解析度和速度之間必須採取折衷辦法。從此例中可觀察到,解析度損失了30%。
圖36:在HPLC中,解析度和速度之間必須採取折衷辦法。從此例中可觀察到,解析度損失了30%。

UPLC技術不太會有需要妥協的情況發生。分析時間可以縮短,又不必犧牲效能。當粒徑大小從3.5 µm減小成1.7 µm時,可以觀測到效率顯著提高[圖37]。這是由於1.7 µm顆粒的UPLC管柱能忽略柱內譜帶擴散,產生更窄的柱內譜帶。此外,流速提高也會提高效率[圖37]。這表示在柱長相同的情況下,能以更短的分析時間大大提高效率和解析度。

圖37:粒徑大小對最佳流速的依賴性。
圖37:粒徑大小對最佳流速的依賴性。

瞭解管柱解析能力[L/dp]

進行層析分離時,主要目標是將一種成分從另一種成分中解析開來,以便量測部分或全部的成分。管柱的最大解析能力可以用柱長[L]除以粒徑大小[dp]估算。在嘗試測定需要哪種粒徑大小填充材料和柱長來進行指定應用時,L/dp比率特別有用[圖38]。

圖38:計算L/dp比率。
圖38:計算L/dp比率。

這個比率也可以當成是在粒徑大小彼此之間轉移方法的工具。L/dp比率為30,000 [中等難度分離]的管柱是一種相當常見的選擇。如圖39所示,可產生30,000解析能力的典型HPLC管柱,長度為150 mm,填充5 µm顆粒。隨著粒徑減小,短一點的管柱也可達到相同的解析能力[也就是說,分析時間更快;亦即,填充1.7 µm顆粒、長50 mm的管柱可達到30,000的L/dp比率]。除了柱長較短之外,最佳流速也會隨著粒徑減小而提高,進一步縮短分析時間。

圖39:比較L/dp比率作為分離指數的函數[容易到極難]。L/dp比率相同的管柱將產生相同的解析能力。
圖39:比較L/dp比率作為分離指數的函數[容易到極難]。L/dp比率相同的管柱將產生相同的解析能力。

這在層析分離上得到了更明確的證明[圖40]。填充1.7 µm顆粒、長度50 mm的UPLC管柱產生的解析能力與填充5 µm顆粒、長度150 mm的HPLC管柱相同。靠著保持L/dp比率不變,分析時間縮短了10倍,同時解析度也保持不變。流速以與每個粒徑大小成反比進行調整。注射量會與管柱體積成比例調整,這樣就能在管柱上進樣相同的上樣量。

圖40:粒徑減小的同時保持L/dp不變,可以加快分離速度,同時保持分離的完整性。
圖40:粒徑減小的同時保持L/dp不變,可以加快分離速度,同時保持分離的完整性。

瞭解柱長與粒徑比率[L/dp]的作用,是瞭解UPLC技術的關鍵。UPLC技術所根據的是,有效地將耐壓小顆粒填充到短管柱[高通量]或長管柱[高解析度]。這些UPLC管柱可用於LC儀器,目的是在這些顆粒的最佳線性速度[和產生的壓力]下,最大限度減少譜帶擴散。

量測梯度分離效能[峰容量]

在等度條件下,平板計數[N]是儀器和管柱譜帶擴散累積的量度。由於與擴散相關的譜帶擴展現象,分析物譜帶的寬度增加,分析物譜帶滯留在固定相上的時間就越久。

在梯度運作中,移動相的洗脫強度會在分析過程中發生變化。導致滯留性更強的分析物譜帶會更快通過管柱[進而改變滯留時間],讓譜帶變得更集中[狹窄]。在逆相層析中,移動相洗脫強度會漸漸變強而制約所產生的譜帶寬度,讓譜帶在通過偵測器時產生相似的峰寬。由於移動相強度的變化會改變峰寬和滯留時間,因此平板計數[由於其與峰寬的關係]不是梯度分離的有效量測方法。

梯度的解析[分離]能力可以依其峰容量[Pc]來計算。因此,峰容量只是在指定梯度時間內可以分離波峰的理論數字。峰容量與峰寬成反比。因此,若要增加Pc,就必須減少峰寬。

圖41:峰容量[Pc]方程式,其中[tg]是梯度時間,[w]是平均峰寬。
圖41:峰容量[Pc]方程式,其中[tg]是梯度時間,[w]是平均峰寬。
圖42:將峰容量方程式應用於快速分離,其中0.37分鐘是梯度持續時間,0.01分鐘是平均峰寬,因此峰容量為38。在13.4%峰高[4σ]處量測峰寬。
圖42:將峰容量方程式應用於快速分離,其中0.37分鐘是梯度持續時間,0.01分鐘是平均峰寬,因此峰容量為38。在13.4%峰高[4σ]處量測峰寬。

使用UPLC技術可以大大提高峰容量。UPLC技術的解析能力很高,憑藉sub-2 µm顆粒在分散性極低的儀器[2.8 µL譜帶擴散]上運作的能力,就能在每次單位時間內產生成更多資訊。讓指定樣本可以收集到更多資訊。例如,使用填充5 µm顆粒的HPLC管柱,磷酸化酶b的胰蛋白酶分解物會產生約70個鑑定峰[圖43A]。使用UPLC技術,可鑑定峰的數量從70個增加到168個,進而提高了蛋白質鑑定的可信度[圖43B]。

圖43:HPLC與UPLC技術的峰容量比較。
圖43:HPLC與UPLC技術的峰容量比較。

相關資訊

感受極致的靈敏度、再現性和速度。ACQUITY Premier LC-MS用於分析分離時能發揮一流的靈敏度並呈現出最佳峰型。

ACQUITY I-Class PLUS系統能大幅降低分散性、發揮最高解析度,進樣週期快、樣品處理迅速又能減少交叉污染,對任何一款質譜儀而言,這些都是絕佳進樣端才有的特性。

ACQUITY UPLC H-Class PLUS系統能發揮四元溶劑或二元溶劑管理系統的彈性和精準度,也能讓UPLC分離處理發揮符合預期的進階效能:高解析度、靈敏度以及更高的通量。

使用sub-2-µm顆粒UPLC管柱在1241 bar的壓力下分離化合物,速度更快且解析度和靈敏度更高。
回到頁首 回到頁首