작은 입자에 대한 약속

작은 입자에 대한 약속

분리능과 컬럼 내 띠 넓어짐의 관계

분리능과 컬럼 내 띠 넓어짐의 관계

크로마토그래피 분리능의 가장 기본적인 의미는 단순히 두 피크 사이의 거리[tR,2–tR,1]에 상대적인 두 피크의 너비[w]입니다. 피크를 더 좁게 하거나 더 멀리 떨어뜨릴 수 있다면, 분리능을 향상시킬 수 있습니다.

그림 14: 기본 분리능 방정식. [N]은 플레이트 수, [α]는 선택성, [k]는 머무름 계수입니다.
그림 14: 기본 분리능 방정식. [N]은 플레이트 수, [α]는 선택성, [k]는 머무름 계수입니다.

분리능은 기본 분리능 방정식의 형태로 수학적으로 보다 관련성 있는 항으로 표현될 수 있습니다. 분리능 방정식은 크로마토그래피 분리능에 영향을 미치는 물리적 및 화학적 변수인 효율성[N], 선택성[α] 및 머무름 계수[k]로 구성됩니다. 선택성과 머무름 계수는 분리능을 향상시키기 위해 보다 쉽게 조작할 수 있는 화학적 요인입니다. 이러한 변수는 온도, 용리 용매, 이동상 구성 요소 및 컬럼 케미스트리 등의 변화로 인해 영향을 받을 수 있습니다. 효율성은 분리능에 대한 제곱근으로 환산되는 영향 때문에 더욱 조작하기 어려운 물리적[기계적] 변수입니다. 입자 크기가 매우 작으면 효율성이 분리능에 큰 영향을 미칠 수 있습니다. UPLC 기술은 시스템 효율성 향상을 위해 sub 2µm 입자를 활용하여 분리능을 향상시키는 데 중점을 둡니다.

이러한 세 항이 크로마토그래피로 어떻게 나타나는지 고려한다면, 해당 변수가 분리능에 어떻게 영향을 미치는지 보다 쉽게 파악할 수 있습니다[그림 15]. 머무름 계수[k]와 선택성[α]은 피크가 상대적으로 이동하게 하는 화학적 요소로, 분석물과 고정상 및 이동상의 상호작용을 측정하는 척도입니다. k를 증가시키면 분리능이 향상됩니다. 그러나 머무름 시간이 길어지면 선택성이 낮아지며 피크 너비가 넓어집니다. α가 증가하면 분리능이 증가하며, 유사한 시간 내에 동일한 피크 용리 순서가 나타나거나, 용리 순서의 변화가 발생할 수 있습니다. 효율성[N]은 분리에서 띠 넓어짐에 대한 물리적 척도입니다. 충전제의 입자 크기를 줄임으로써 효율성[N]이 개선된다고 가정할 경우, 중심 간 피크 거리는 변하지 않습니다. 또한 입자 크기가 줄어들면 크로마토그래피 피크가 좁아지고 효율성이 높아져 분리능과 선택성이 향상될 수 있습니다.

그림 15: 분리능에 대한 개별적인 화학적 요인 및 기계적 요인의 영향.
그림 15: 분리능에 대한 개별적인 화학적 요인 및 기계적 요인의 영향.

분리능, 효율성, 입자 크기의 관계

UPLC 기술은 기기 띠 넓어짐을 최소화함으로써 분리능에 대한 물리적[기계적] 영향을 높힘으로써, 더 높은 효율성을 얻고 더 작은 입자 컬럼[1.7μm–1.8μm]을 사용할 수 있습니다. 간단한 크로마토그래피 예시와 기본적인 산술 연산을 이용하면 UPLC 기술에 적용되는 크로마토그래피 원리를 더 잘 이해할 수 있습니다.

기본 분리능 방정식에서 설명한 바와 같이 분리능은 효율성의 제곱근에 정비례합니다.

그림 16: 분리능[Rs]은 효율성[N]의 제곱근에 정비례합니다.
그림 16: 분리능[Rs]은 효율성[N]의 제곱근에 정비례합니다.

또한 효율성은 입자 크기에 반비례합니다. 즉, 충전제의 입자 크기가 작아지면 분리 컬효율성이 높아집니다. 예를 들어, 충전제의 입자 크기가 5μm에서 1.7μm[3배]로 감소하면, 이론상으로 효율성이 3배 증가하여 분리능이 1.7배 증가[3의 제곱근]하는 것으로 예측됩니다.

그림 17: 일정한 컬럼 길이에서 효율성[N]은 입자 크기[dp]에 반비례합니다.
그림 17: 일정한 컬럼 길이에서 효율성[N]은 입자 크기[dp]에 반비례합니다.

이론에 의해 예측된 효율성과 분리능 향상 효과를 얻기 위해서는 입자 크기에 대한 최적 유량에서 실행되어야 합니다. 최적 유량[Fopt]은 입자 크기에 반비례합니다. 따라서 입자 크기가 5μm에서 1.7μm[3배]로 감소하면 해당 입자를 수행할 최적 유량이 3배 증가하여 분석 시간이 [3배]의 범위로 감소하므로 샘플 처리량이 증가합니다.

그림 18: 일정한 컬럼 길이에서 유량[Fopt]은 입자 크기[dp]에 반비례하므로 입자 크기가 감소함에 따라 시간[T]이 비례적으로 감소합니다.
그림 18: 일정한 컬럼 길이에서 유량[Fopt]은 입자 크기[dp]에 반비례하므로 입자 크기가 감소함에 따라 시간[T]이 비례적으로 감소합니다.

크로마토그래피 전문가로써 우리가 가장 먼저 관측하는 것 중 하나는 크로마토그래피 유량이 변화할 때 발생하는 상황입니다. 유량이 증가하면 분석 실행 시간이 감소합니다. 또한, 피크 너비도 감소합니다. 피크 너비가 좁아질수록 해당 피크의 높이는 비례적으로 증가합니다. 더 높고, 좁은 피크는 검출하기 쉽고, 바탕선 잡음과 구별하기 쉬우므로[더 높은 S/N], 선택성이 높아집니다.

그림 19: 피크 너비가 좁아질수록 효율성과 피크의 높이가 높아집니다. 효율성[N]은 피크 너비[w]의 제곱에 반비례합니다. 피크 너비가 감소하면 피크 높이가 비례적으로 증가합니다.
그림 19: 피크 너비가 좁아질수록 효율성과 피크의 높이가 높아집니다. 효율성[N]은 피크 너비[w]의 제곱에 반비례합니다. 피크 너비가 감소하면 피크 높이가 비례적으로 증가합니다.

이러한 이론적 원리가 크로마토그래피에 적용되었습니다. 그림 20에서 확인된 것처럼 ACQUITY UPLC 기기에서 컬럼 외 띠 넓어짐이 최소화될 때, 컬럼의 이론적 성능을 달성할 수 있습니다.

그림 20: 이론과 현실의 부합. 동일한 치수[2.1 x 50mm]의 두 컬럼에 대해 분리가 수행되었습니다. 두 분리에 모두 유량을 제외하고 동일한 크로마토그래피 조건이 사용되었으며, 입자 크기에 따라 크기가 조정되었습니다.
그림 20: 이론과 현실의 부합. 동일한 치수[2.1 x 50mm]의 두 컬럼에 대해 분리가 수행되었습니다. 두 분리에 모두 유량을 제외하고 동일한 크로마토그래피 조건이 사용되었으며, 입자 크기에 따라 크기가 조정되었습니다.

위에서 설명한 내용은 컬럼 내 띠 넓어짐의 중요성을 보여줍니다. 어떤 프로세스가 띠 넓어짐에 영향을 미치는지, 그리고 어떻게 감소시킬 수 있는지를 보다 잘 이해한다면, 효율성의 향상과 그에 따른 분리능을 달성할 수 있을 것입니다.

van Deemter 곡선에 대한 이해

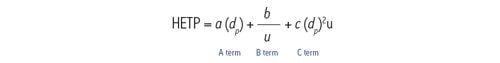
앞에서 설명한 바와 같이, 피크 너비는 분석물 분자의 통계적 분포[분산, σ2]로 고려될 수 있습니다. 피크 너비는 해당 피크가 이동한 거리에 비례하여 선형적으로 증가합니다. 피크 너비와 해당 피크가 이동한 거리 사이의 관계는 이론적인 플레이트[HETP 또는 H]와 동등한 높이라고 불리는 개념입니다. 증류 이론에서 비롯된 H는 여러 띠 넓어짐 관련 프로세스를 고려한 컬럼 성능에 대한 측정치입니다. 보다 친숙한 용어로 표현하면, HETP가 작을수록 컬럼에 플레이트[N]가 더 많아집니다[그림 21].

그림 21: HETP를 측정하기 위한 간단한 방정식. [L]은 컬럼 길이, [N]은 플레이트 수, [HETP]는 이론적 플레이트에 해당하는 높이입니다.
그림 21: HETP를 측정하기 위한 간단한 방정식. [L]은 컬럼 길이, [N]은 플레이트 수, [HETP]는 이론적 플레이트에 해당하는 높이입니다.

컬럼 내 분자 수준에서 일어나는 현상[분석물 분자가 이동상 및 고정상과 어떻게 상호작용하는지]을 고려하면, 크로마토그래피 성능에 기여하는 다양한 확산 관련 프로세스를 보다 잘 파악할 수 있습니다[그림 22].

다음과 같이 여러 확산 관련 프로세스가 동시에 일어납니다.

  1. 분석물 분자는 입자 표면과 입자 주위로 이동합니다[와동 확산]
  2. 분석물 분자는 벌크 이동상에서 앞뒤로 확산됩니다[종방향 확산]
  3. 분석물 분자는 크로마토그래피 공극 내부와 외부로 확산됩니다[질량 이동]
그림 22: 컬럼 내에서 발생하는 확산 관련 프로세스.
그림 22: 컬럼 내에서 발생하는 확산 관련 프로세스.

이러한 확산 관련 프로세스는 수학적으로 van Deemter 방정식의 형태로 표현될 수 있습니다.

그림 23: van Deemter 방정식.
그림 23: van Deemter 방정식.

다음과 같이 van Deemter 방정식은 3개의 항으로 구성됩니다.

  • A항[와동 확산]은 주로 충전제의 입자 크기와 관련이 있습니다. 크로마토그래피 층이 얼마나 잘 충전되어 있는지에 따라 값이 결정되며, 입자와 입자를 둘러싼 흐름의 균일성 또는 불균일성과 관련이 있습니다.
  • B항[종방향 확산]은 벌크 이동상 및 고정상에서의 분석물 확산과 관련이 있으며 이동상[선속도]의 증가에 따라 감소합니다.
  • C항[질량 이동]은 선속도[이동상 속도]와 입자 크기의 제곱 모두와 관련이 있습니다. 질량 이동(Mass transfer)은 분석물 분자가 고정상의 내부 표면과 충전제 공극의 내부와 외부로 확산되는 거리와의 상호작용입니다.

HETP와 이동상 선속도[u]의 척도로 표시함으로써 이러한 항을 개별적으로 관측할 수 있습니다[그림 24].

그림 24: van Deemter 방정식의 개별적으로 플롯된 항.
그림 24: van Deemter 방정식의 개별적으로 플롯된 항.

A항은 수평선으로 플롯됩니다. 이는 입자 크기 및 컬럼의 충전 수준과 관련이 있으며 선속도[이동상 속도]와 무관합니다. 충전제의 입자 크기가 작아질수록 H 값 또한 감소합니다[높은 효율성].

B항은 선속도가 증가하면서 하향 구배 곡선으로 플롯됩니다. 이 항은 입자 크기와 무관하며 이동상이 더 느린 선속도로 이동할 경우 분석물 분자가 더 오랜 시간 컬럼에 머무르므로 컬럼 내에서 세로 방향으로 띠 넓어짐[확산]의 가능성이 더 증가한다는 것을 나타냅니다. 반대로 이동상이 더 빠른 선속도로 이동할 경우 확산 시간이 줄어들기 때문에 띠 넓어짐이 발생하는 시간이 줄어듭니다.

C항은 H와 u 사이의 증가하는 선형 관계로 플롯됩니다. 분자의 분포 중 어떤 분자는 고정상의 공극으로 들어가는 반면, 또 다른 분자는 다른 입자에 도달할 때까지 움직이는 이동상에 머무릅니다. 이는 고정화된 분자가 분리되어 크로마토그래피 베드에서 더 아래로 이동하는 역과정으로 이어집니다. 분자가 공극의 내부와 외부로 이동하는데 시간이 걸리기 때문에 분자가 한 입자에서 다음 입자로 이동하면서 해당 분자를 포함하는 분석물 띠는 컬럼의 길이를 따라 이동하면서 넓어집니다. 고정상 입자가 작을수록 분석물 띠가 확산되지 않도록 이러한 프로세스가 빠르게 일어납니다. 이동상이 빠르게 움직이면 고정화된 분자와 앞으로 이동하는 분자 간의 거리가 더 멀어집니다. 이는 분석물 분자의 모집단이 함께 존재하기 위해서는 이동상이 더 느린 선속도로 이동되어야 한다는 것을 나타냅니다. 이동상의 속도가 빨라질수록 분석물 분자의 모집단이 분산되어 띠 넓어짐이 증가합니다.

van Deemter 곡선은 A, B, C항을 더하여 구성됩니다[그림 25]. 곡선의 가장 낮은 지점이 발생하는 선속도로 분리를 수행하면 가장 높은 효율성과 크로마토그래피 분리능을 얻을 수 있습니다.

이 부분을 그림 23에 제시된 van Deemter 방정식과 연결하면, 입자 크기가 절반으로 줄어들 경우 H는 2의 인수만큼 감소합니다. 따라서, 보다 작은 입자를 이용하면 컬럼 내 띠 넓어짐을 줄일 수 있습니다.

그림 25: van Deemter 방정식의 3개 개별 항을 더하면 van Deemter 곡선이 산출됩니다.
그림 25: van Deemter 방정식의 3개 개별 항을 더하면 van Deemter 곡선이 산출됩니다.
그림 26: 10μm와 5μm 입자를 비교하는 van Deemter 플롯.
그림 26: 10μm와 5μm 입자를 비교하는 van Deemter 플롯.

그림 26은 10μm 입자와 5μm 입자의 van Deemter 플롯을 보여줍니다. 그림에서 관찰된 바와 같이, 10μm의 큰 입자는 선속도에 대한 최적 작동 범위가 매우 좁아서, 가장 낮은 H 값[18μm @ 0.7mm/sec]을 얻을 수 있습니다. 이동상의 속도가 너무 느리거나 빠를 경우, H의 증가[효율성 손실]가 관찰되어 크로마토그래피 분리능과 감도가 감소합니다. 그러나 5μm 입자는 더 높은 이동상 속도에서 훨씬 낮은 H 값[10μm @ 0.95mm/sec, 더 높은 효율성]을 보여줄 뿐 아니라 해당 H 값이 달성할 수 있는 선속도 범위도 더 큽니다. 즉, 10μm 크기의 입자로 충전된 컬럼보다 빠른 시간에 더 높은 효율성, 즉 분리능을 달성할 수 있습니다.

이 효과에 대한 좀 더 상세한 이해를 위해 입자 크기가 van Deemter 방정식의 개별 항에 미치는 영향을 알아보겠습니다.

입자 크기는 A항[와동 확산]과 관련되기 때문에 분석물 띠에 큰 영향을 미칩니다. 분석물 분자가 벌크 이동상에서 입자 표면 및 입자 주위로 이동하는 경로는 입자 크기가 작아질수록 시간이 적게 소요됩니다. 입자가 클수록 분석물 분자가 더 길고 간접적인 경로를 통해 이동하게 됩니다. 이러한 경로의 차이로 인해 모집단 내 분석물 분자의 이동 시간이 달라져 분석물 띠가 넓어지고 피크가 얻어집니다. 충전 입자 크기가 작아질 때 분석물 분자의 경로가 유사한 길이로 형성되는 것이 바람직합니다. 이 경우, 분석물 띠가 좁아져 피크는 좁아지고 효율성이 높아지며, 감도가 커집니다[그림 27].

그림 27: 입자 크기가 A항에 미치는 영향.
그림 27: 입자 크기가 A항에 미치는 영향.

종방향 확산인 B항은 입자의 크기에 직접적인 영향을 받지 않습니다. 그러나 입자 크기가 감소함에 따라 van Deemter 방정식의 다른 변수인 A항과 C항은 작아집니다. 결과적으로, 최적의 선속도[이동상 속도]가 증가하여 띠 넓어짐이 줄어듭니다. 느린 선속도는 분석물 분자의 띠가 더 긴 시간 동안 충전제와 상호작용할 수 있게 합니다. 이는 축 방향[세로]에 따라 이동상으로 확산할 시간이 더 많다는 것을 의미하며, 결과적으로 더 넓고 더 확산된 분석물 띠가 생성됩니다. 높은 선속도에서는 분석물 분자의 모집단이 더 짧은 시간 내에 컬럼을 지나가기 때문에 분석물 띠가 더 집중된 상태를 유지할 수 있으며, 결과적으로 종방향 확산 시간이 줄어 더 높은 효율성의 좁은 피크가 얻어집니다[그림 28].

그림 28: 선속도가 종방향 확산인 B항에 미치는 영향.
그림 28: 선속도가 종방향 확산인 B항에 미치는 영향.

C항[질량 이동]은 선속도와 입자 크기의 영향을 받습니다. 분석물 분자의 모집단은 이동상에서 입자 표면으로 이동합니다. 그런 다음, 분석물 분자는 공극 내의 이동상을 통해 결합 표면층(예: C18, C8 등)으로 이동하고, 결합된 상과 상호작용한 다음 공극 외부에서 벌크 이동상으로 다시 후퇴하여 이동합니다. 모집단 내의 분석물 분자는 다양한 범위에서 공극 내부와 외부로 이동합니다. 이는 분자가 벌크 이동상으로 돌아가면서, 각각의 분석물 분자가 이동한 경로의 길이가 다르기 때문에 분석물 띠가 퍼진다는 것[넓어짐]을 의미합니다[그림 29]. 띠 넓어짐의 양은 이동상의 속도에 따라 달라집니다[그림 30].

그림 29: 크로마토그래피 공극 내부와 외부로 질량 이동[확산].
그림 29: 크로마토그래피 공극 내부와 외부로 질량 이동[확산].
그림 30: 선속도가 질량 이동 및 분석물 띠에 미치는 영향[입자 크기 동일].
그림 30: 선속도가 질량 이동 및 분석물 띠에 미치는 영향[입자 크기 동일].

높은 선속도에서 입자 표면과 상호작용하는 분자와 이동상을 통해 전달되는 분자 사이의 시간은 더 길어집니다. 이동상의 속도가 빠를수록 분석물 분자가 컬럼을 통해 더 빠르게 이동하게 되고, 결과적으로 더 넓고 농도가 낮은 분석물 띠가 형성됩니다. 이는 더 넓은 크로마토그래피 피크와 낮은 감도로 이어집니다.

느린 선속도에서는 표면과 상호작용 간의 단계 길이가 짧아집니다. 이로 인해 분석물 띠의 농도가 높아져 더 좁고 효율적인 크로마토그래피 피크가 형성됩니다.

입자 크기의 제곱[dp2]으로 환산되는 관계로 인해 입자 크기가 작아질수록 질량 이동이 대폭 향상됩니다. 작은 입자의 경우, 분석물 분자가 공극으로 이동하여 크로마토그래피 표면과 상호작용하고 다시 이동상으로 이동하는 데 시간이 덜 소요됩니다. 따라서, 작은 입자 컬럼에서 분리된 분석물 분자는 훨씬 더 빨리 확산되어, 더 정확하고, 좁고, 효율적인 크로마토그래피 띠를 형성합니다[그림 31].

그림 31: 입자 크기[100Å 공극의 표현]와 관련된 질량 이동의 차이. 작은 입자일 때 더 좁은 분석물 띠가 형성됩니다.
그림 31: 입자 크기[100Å 공극의 표현]와 관련된 질량 이동의 차이. 작은 입자일 때 더 좁은 분석물 띠가 형성됩니다.

따라서 입자 크기를 줄이면 질량 이동이 개선되고, C항의 기울기가 효율적으로 감소하므로 현재 UPLC 기술이 제공하는 것과 같은 이점을 얻을 수 있습니다. 그림 32의 van Deemter 플롯에서 볼 수 있듯이, 1.7μm 입자는 3.5μm 입자보다 2-3배 낮은 HETP 값을 제공합니다. 이러한 낮은 H 값은 더 높은 선속도와 더 넓은 속도 범위에서 얻어집니다. 이는 입자가 작을수록 질량 이동이 극적으로 개선되어 효율성과 분리능이 향상되며 증가된 선속도 범위를 사용하여 향상된 성능을 얻을 수 있다는 것을 의미합니다. 더 빠른 선속도에서 분리가 수행될 수 있으므로 분리능의 저하 없이 분석 속도를 향상시킬 수 있습니다.

그림 32: 입자 크기를 비교해 보여주는 van Deemter 플롯.
그림 32: 입자 크기를 비교해 보여주는 van Deemter 플롯.

컬럼 외[기기] 띠 넓어짐이 van Deemter 플롯에 미치는 영향

UPLC 기술이 크로마토그래피 실험실에서 인기를 끌면서, van Deemter 플롯이 기존 HPLC 입자 크기와 비교한 sub 2µm 입자의 성능 향상 효과를 측정하는 대중화된 방식으로 떠올랐습니다. 컬럼 외 띠 넓어짐의 영향을 최소화하는 기기 장치에 대해 이러한 비교 측정이 수행되지 않을 경우 잘못된 결론을 내릴 수 있습니다.

성능 측정에 대한 컬럼 외 띠 넓어짐의 중요성을 입증하기 위해 기존 HPLC 기기[띠 넓어짐 = 7.2μL]에서 1.7μm 입자와 2.5μm 입자를 비교하여 van Deemter 플롯을 생성했습니다[그림 33]. 두 컬럼의 입자 기질 및 결합상 케미스트리는 동일합니다. 언뜻 보기에 van Deemter 플롯에서는 해당 두 컬럼의 성능에 현저한 차이가 없는 것으로 보입니다. 어떻게 이런 일이 가능할까요?

이 경우 HPLC 기기의 띠 넓어짐은 2.5μm 입자 HPLC 컬럼과 1.7μm 입자 UPLC 컬럼에서 유사합니다. 1.7μm 입자 UPLC 컬럼에 의해 생성된 더 작은 피크 너비는 큰 입자[예: 2.5μm]로 충전된 컬럼보다 컬럼 외 띠 넓어짐에 의해 많은 영향을 받으므로 문제가 있는 결과를 생성합니다.

그림 33: HPLC 기기의 Sub 3µm 입자 비교에 따른 유사한 성능 및 선속도 범위. XBridge™ HPLC C18 2.1 x 50mm, 2.5µm 컬럼 및 ACQUITY UPLC BEH C18 2.1 x 50mm, 1.7µm 컬럼에서 acenaphthene에 대한 van Deemter 곡선.
그림 33: HPLC 기기의 Sub 3µm 입자 비교에 따른 유사한 성능 및 선속도 범위. XBridge™ HPLC C18 2.1 x 50mm, 2.5µm 컬럼 및 ACQUITY UPLC BEH C18 2.1 x 50mm, 1.7µm 컬럼에서 acenaphthene에 대한 van Deemter 곡선.

ACQUITY UPLC 기기에서 동일한 실험을 수행했습니다[띠 넓어짐 = 2.8µL]. ACQUITY UPLC 기기는 HPLC 기기보다 시스템 볼륨이 약 84% 낮고 띠 넓어짐이 60% 낮았습니다.

그림 34에서 볼 수 있듯이 ACQUITY UPLC 기기에서 작동할 때 해당 두 컬럼의 성능에서 눈에 띄는 차이가 관찰됩니다. HETP에서 관찰된 차이 외에도, 최적의 선속도는 3.0mm/sec[2.5μm 입자]에서 10.0mm/sec[1.7μm 입자]로 증가하여, UPLC 기술의 낮은 HETP[높은 효율성]와 더 빠른 선속도[및 그 결과 처리량]와 같은 성능 향상 효과를 보여줍니다.

그림 34: ACQUITY UPLC 기기의 Sub 3µm 입자 비교 결과, 입자 크기가 감소하면서 성능 및 선속도 범위가 개선되었습니다. XBridge HPLC C18 2.1 x 50mm, 2.5µm 컬럼 및 ACQUITY UPLC BEH C18 2.1 x 50mm, 1.7µm 컬럼에서 acenaphthene에 대한 van Deemter 곡선.
그림 34: ACQUITY UPLC 기기의 Sub 3µm 입자 비교 결과, 입자 크기가 감소하면서 성능 및 선속도 범위가 개선되었습니다. XBridge HPLC C18 2.1 x 50mm, 2.5µm 컬럼 및 ACQUITY UPLC BEH C18 2.1 x 50mm, 1.7µm 컬럼에서 acenaphthene에 대한 van Deemter 곡선.

절충안 없이 분리 무결성 유지

이제 컬럼 외 띠 넓어짐 및 컬럼 내 띠 넓어짐의 함수에 대한 기본적인 이해가 확립되었으므로, 이제 이러한 용어[HETP vs. 선속도]의 측정치를 보다 실용적인 기준, 즉 플레이트 수 대 유량과 연관지을 수 있습니다.

앞서 설명한 것처럼, 선속도는 이동상이 컬럼을 통과할 때의 속도로, 컬럼 내경과 무관하게 이동상의 유량을 정상화하여 치수가 다른 컬럼의 성능을 측정하고 비교할 수 있게 해줍니다. 최적의 선속도는 최적 유량과 직접적인 관련이 있습니다[그림 35]. 기존의 HPLC 컬럼은 최적의 성능을 달성하기 위해 좁은 유량 범위에서만 작동할 수 있습니다. 해당 범위를 벗어나 작동할 경우 성능 저하가 예상됩니다.

그림 35: 최대 성능을 달성하기 위한 최적 유량에 해당하는 최적의 선속도. 1.7μm 입자로 충전된 2.1mm ID x 50mm 길이의 컬럼에 대해 산출된 값입니다.
그림 35: 최대 성능을 달성하기 위한 최적 유량에 해당하는 최적의 선속도. 1.7μm 입자로 충전된 2.1mm ID x 50mm 길이의 컬럼에 대해 산출된 값입니다.

기존의 HPLC에서 분석 시간을 단축하는[처리량 향상] 일반적인 접근법은 단순히 유량을 증가시키는 것입니다. 입자가 클수록 유량이 증가하면 HPLC 입자에 대한 최적의 선속도 이상으로 작동하기 때문에 효율성이 크게 저하되어 분리능이 크게 낮아지는 경우가 많습니다[압축된 크로마토그래피]. 이는 HPLC와 관련된 크로마토그래피 성능과 분석 속도를 상당히 절충한 방식입니다[그림 36].

그림 36: HPLC에서는 분리능과 속도를 절충해야 합니다. 이 경우 분리능의 30% 손실이 관찰됩니다.
그림 36: HPLC에서는 분리능과 속도를 절충해야 합니다. 이 경우 분리능의 30% 손실이 관찰됩니다.

UPLC 기술은 이러한 절충을 하지 않아도 됩니다. 성능 저하 없이 분석 시간을 단축할 수 있습니다. 입자 크기를 3.5μm에서 1.7μm로 감소시키면 효율성의 유의미한 증가가 관찰됩니다[그림 37]. 이는 1.7μm 입자 UPLC 컬럼에 의해 생성되는 좁은 크로마토그래피 띠로 인해 발생하는 것으로, 컬럼 내 띠 넓어짐은 무시할 수 있을 정도입니다. 또한, 이러한 추가적인 효율성은 더 높은 유량에서 발생합니다[그림 37]. 이는 동일한 컬럼 길이에 대해 효율성이 크게 향상되고 따라서 분리능이 더 짧은 분석 시간에 달성될 수 있다는 것을 의미합니다.

그림 37: 최적 유량에 대한 입자 크기의 의존성.
그림 37: 최적 유량에 대한 입자 크기의 의존성.

컬럼 분리능[L/dp]에 대한 이해

크로마토그래피 분리를 수행할 때, 주요 목표는 구성 요소의 일부 또는 전체를 측정할 수 있도록 한 구성 요소를 다른 구성 요소에서 분해하는 것입니다. 컬럼의 최대 분리능은 컬럼 길이[L]를 입자 크기[dp]로 나누는 방법으로 추정할 수 있습니다. L/dp 비율은 특정 응용 분야에 필요한 입자 크기 충전제와 컬럼 길이를 확인할 때 특히 유용합니다[그림 38].

그림 38: L/dp 비율 계산.
그림 38: L/dp 비율 계산.

이러한 비율은 한 입자 크기에서 다른 입자 크기로 분석법을 전환할 때도 사용될 수 있습니다. L/dp 비율이 30,000인 컬럼[적당히 까다로운 분리]은 매우 일반적인 선택 사항입니다. 그림 39에서 볼 수 있듯이 30,000의 분리능을 생성하는 일반적인 HPLC 컬럼은 길이가 150mm이고 5μm 입자로 충전되어 있습니다. 입자 크기가 작아지면 보다 짧은 컬럼에서도 동일한 분리능을 달성할 수 있습니다[보다 빠른 분석 시간을 의미하며, 1.7μm 입자로 충전된 50mm 길이의 컬럼에서 30,000의 L/d비율을 얻을 수 있음]. 컬럼 길이가 짧아지는 것뿐 아니라 입자 크기가 작아질수록 최적 유량이 증가하여 분석 시간을 더욱 단축할 수 있습니다.

그림 39: 분리 지수의 함수로 L/dp 비율 비교[쉬운 것부터 아주 어려운 것까지]. L/dp 비율이 동일한 컬럼은 동일한 분리능을 생성합니다.
그림 39: 분리 지수의 함수로 L/dp 비율 비교[쉬운 것부터 아주 어려운 것까지]. L/dp 비율이 동일한 컬럼은 동일한 분리능을 생성합니다.

이는 크로마토그래피로 명확하게 입증되었습니다[그림 40]. 1.7μm 입자로 충전된 50mm 길이의 UPLC 컬럼은 5μm 입자로 충전된 150mm 길이의 HPLC 컬럼과 동일한 분리능을 생성합니다. L/dp 비율을 일정하게 유지할 경우 분리능을 유지하면서 분석 시간을 10배 단축할 수 있습니다. 유량은 각 입자 크기에 반비례하여 조정됩니다. 주입 볼륨은 컬럼의 동일한 질량 로딩이 주입되도록 컬럼 볼륨에 비례하여 확장됩니다.

그림 40: 입자 크기를 줄이면서 L/dp를 일정하게 유지하면 분리 무결성을 유지하면서 더 빠른 분리가 가능합니다.
그림 40: 입자 크기를 줄이면서 L/dp를 일정하게 유지하면 분리 무결성을 유지하면서 더 빠른 분리가 가능합니다.

컬럼 길이와 입자 크기 비율[L/dp]의 역할을 이해하는 것은 UPLC 기술을 이해하는 데 있어 핵심적인 부분입니다. UPLC 기술은 작고 압력을 잘 견디는 입자를 짧은 컬럼[고처리량] 또는 긴 컬럼[고분리능]에 효율적으로 충전하는 것을 기반으로 합니다. 이러한 UPLC 컬럼은 최소한의 띠 넓어짐으로 입자에 대해 최적의 선속도[및 결과 압력]로 작동하도록 설계된 LC 기기에 사용됩니다.

그래디언트 분리 성능 측정[피크 용량]

등용매 조건에서 플레이트 수[N]는 기기와 컬럼의 누적된 띠 넓어짐 영향을 측정하는 척도입니다. 확산과 관련된 띠 넓어짐으로 인해 분석물 띠가 고정상에 오래 유지될수록 분석물 띠의 너비는 증가합니다.

기울기 실행 시 이동상의 용리 강도는 분석 과정에서 변화합니다. 이로 인해 유지된 분석물 띠가 컬럼을 통해 더 빠르게 이동하게 되고[따라서 머무름 시간이 변경됨], 띠가 더 집중된[좁은] 상태를 유지할 수 있습니다. 역상 크로마토그래피에서 이동상의 용리 강도는 생성되는 띠의 너비를 제어하여 띠가 검출기를 통과할 때 유사한 피크 너비를 생성합니다. 이동상 강도의 변화에 따라 피크의 너비와 머무름 시간이 변화하기 때문에[피크 너비와의 관계로 인해] 플레이트 수는 그래디언트 분리에 유효한 측정값이 아닙니다.

그래디언트의 분리능[분리]은 피크 용량[Pc]으로 산출될 수 있습니다. 피크 용량은 단순히 주어진 그래디언트 시간에 분리될 수 있는 이론적인 피크 수입니다. 피크 용량은 피크 너비에 반비례합니다. 따라서 Pc가 증가하기 위해서는 피크 너비가 감소해야 합니다.

그림 41: 피크 용량[Pc] 방정식에서 [tg]는 그래디언트 시간, [w]는 평균 피크 너비입니다.
그림 41: 피크 용량[Pc] 방정식에서 [tg]는 그래디언트 시간, [w]는 평균 피크 너비입니다.
그림 42: 피크 용량 방정식을 빠른 분리에 적용하면, 0.37분이 그래디언트 지속 시간이고 0.01분이 평균 피크 너비이므로, 피크 용량은 38이 됩니다. 피크 너비는 피크 높이[4σ] 13.4%에서 측정되었습니다.
그림 42: 피크 용량 방정식을 빠른 분리에 적용하면, 0.37분이 그래디언트 지속 시간이고 0.01분이 평균 피크 너비이므로, 피크 용량은 38이 됩니다. 피크 너비는 피크 높이[4σ] 13.4%에서 측정되었습니다.

UPLC 기술을 사용하면 피크 용량을 극적으로 증가시킬 수 있습니다. UPLC 기술의 높은 분리능은 매우 낮은 분산 기기 장치[2.8μL 띠 넓어짐]에서 sub 2µm 입자를 활용하여 단위 시간당 더 많은 정보를 생성할 수 있으므로 특정 샘플에서 더 많은 정보를 수집할 수 있습니다. 예를 들어, phosphorylase b의 트립신 다이제스젼은 5μm 입자로 충전된 HPLC 컬럼을 사용하여 식별된 약 70개의 피크를 산출합니다[그림 43A]. UPLC 기술을 사용하면 식별 가능한 피크 수가 70개에서 168개로 증가하여 단백질 식별에 대한 신뢰도를 향상시킵니다[그림 43B].

그림 43: HPLC와 UPLC 기술의 피크 용량 비교.
그림 43: HPLC와 UPLC 기술의 피크 용량 비교.

관련 항목

향상된 감도, 재현성 및 속도를 경험하세요. ACQUITY Premier LC-MS는 분석물 분리에서 감도와 피크 모양을 개선했습니다.

ACQUITY I-Class PLUS 시스템은 높은 분리능, 빠른 주입 주기 및 낮은 캐리오버(carryover)와 샘플 처리량을 위해 피크 분산을 극적으로 감소시켰으며, 이는 어떤 질량 분석기보다 우수한 Inlet입니다.

ACQUITY UPLC H-Class PLUS 시스템은 유연하고 정밀한 Quaternary 또는 Binary 용매 혼합 방식을 통해 UPLC 분리 작업에서 기대하는 높은 분리리능, 고감도, 증가된 처리량 등의 우수한 성능을 제공합니다.

UPLC 컬럼으로 124bar 압력에서 2μm 미만 크기 입자를 사용하여 더 높은 분해능과 감도로 더 빠른 분리 성능을 얻으세요.
맨 위로 돌아가기 맨 위로 돌아가기