小粒子の明るい見通し

小粒子の明るい見通し

分離能とカラム内のバンドの広がりの関連性

分離能とカラム内のバンドの広がりの関連性

クロマトグラフィー分離能は、最も基礎的な意味では、単純に 2 つのピークの間の距離(tR,2–tR,1)に対するそれらの相対的なピークの幅(w)です。これらのピークを狭くする、またはさらに離すことができれば、分離能を改善できます。

図 14:基本的な分離能方程式。(N)は理論段数、(α)は選択性、(k)は保持係数です。
図 14:基本的な分離能方程式。(N)は理論段数、(α)は選択性、(k)は保持係数です。

分離能は、基本的な分離能方程式の形におけるより関連性のある項で数学的に表現できます。分離能方程式は、クロマトグラフィー分離能、効率(N)、選択性(α)、保持性(k)に影響する物理的パラメーターおよび化学的パラメーターによって構成されます。選択性および保持性は化学的要因であり、歴史的に、分離能向上のためにより簡単に操作できました。これらのパラメーターは、温度、溶出溶媒、移動相組成、カラムケミストリーなどの変化に影響される場合があります。効率は物理的(機械的)パラメーターで、分離能に対して平方根として影響するため、操作がより困難です。ただし、粒子径が非常に小さい場合、効率が分離能に著しい影響を及ぼします。UPLC テクノロジーでは、システム効率を改善するために、粒子径 2 µm 以下の粒子の使用による分離能の向上に焦点を合わせています。

これらの 3 つの項がクロマトグラフィーで何に対応するかを考えることで、これらのパラメーターが分離能にどのように影響するかの理解が容易になります(図 15)。保持性(k)および選択性(α)は化学的要因であり、これによってピークが互いに相対的に移動します。またこれらは、分析種の固定相および移動相との相互作用の尺度です。分離能は k を大きくすることによって改善できます。ただし、保持時間が長いほど感度が低く、ピーク幅が広くなります。α を大きくすると、分離能が良くなったり、同様の時間内でピークの溶出順序が同じになったり、および/またはピーク溶出順序が変わったりすることがあります。効率(N)は、分離におけるバンドの広がりの物理的尺度です。充塡剤の粒子径を減らすことによって N が改善されると仮定すると、ピークの中心間距離は変わりません。さらに、粒子径の減小により、クロマトグラフィーピークがより狭く、より効率的になり、分離能と感度が向上します。

図 15:分離能に対する個々の化学的要因および機械的要因の影響。
図 15:分離能に対する個々の化学的要因および機械的要因の影響。

分離能、効率、粒子径の関連性。

UPLC テクノロジーにより、装置でのバンドの広がりが最小化されて分離能に対する物理的(機械的)寄与が最大化し、より高効率でより小さい粒子(1.7 µm ~ 1.8 µm)の使用が可能になります。単純なクロマトグラフィーの例と基本的な算術により、UPLC テクノロジーの背後にあるクロマトグラフィー原理をよりよく理解できます。

基本的な分離能方程式に示されているように、分離能は効率の平方根に正比例します。

図 16:分離能(Rs)は効率(N)の平方根に正比例します。
図 16:分離能(Rs)は効率(N)の平方根に正比例します。

さらに、効率は粒子径に反比例します。つまり、充塡剤の粒子径が減ると、分離効率が高まります。例えば、充塡剤の粒子径が 5 µm から 1.7 µm(1/3)に減ると、理論上、効率は 3 倍増大し、分離能は 1.7 倍(3 の平方根)増大することが予測されます。

図 17:カラム長が一定の場合、効率(N)は粒子径(dp)に反比例します。
図 17:カラム長が一定の場合、効率(N)は粒子径(dp)に反比例します。

理論上予測される効率および分離能の増大を達成するには、粒子径に関して最適な流量を用いる必要があります。最適流量(Fopt)は、粒子径に反比例します。つまり、粒子径が 5 µm から 1.7 µm(1/3)に減ると、その粒子に最適な流量は 3 倍増大し、結果として分析時間が同程度(1/3)短縮して、サンプルスループットが増大します。

図 18:カラム長が一定の場合、流量(Fopt)は粒子径(dp)に反比例し、結果として粒子径の減少に比例して分析時間(T)が短縮します。
図 18:カラム長が一定の場合、流量(Fopt)は粒子径(dp)に反比例し、結果として粒子径の減少に比例して分析時間(T)が短縮します。

最初に観察することの一つは、クロマトグラフィー流量が変わったときに何が起こるかです。流量が増大すると、分析時間が短縮します。さらに、ピーク幅も減小します。ピーク幅が狭くなるにしたがって、ピーク高さがそれに比例して増大します。ピークが高く、幅が狭いほど検出しやすくなり、ベースラインノイズからの区別が容易になって(S/N が高い)、感度が高くなります。

図 19:ピーク幅が狭いほど、効率およびピーク高さが高くなります。効率(N)はピーク幅(w)の二乗に反比例します。さらに、ピーク幅が減少すると、ピーク高さが比例して増加します。
図 19:ピーク幅が狭いほど、効率およびピーク高さが高くなります。効率(N)はピーク幅(w)の二乗に反比例します。さらに、ピーク幅が減少すると、ピーク高さが比例して増加します。

これらの理論的原理が、クロマトグラフィーに適用されました。図 20 に見られるように、カラム外のバンドの広がりが ACQUITY UPLC 装置でのように最小限に抑えられると、カラムの理論的性能が達成できます。

図 20:理論を実際に一致させる。分離を同じ寸法(2.1 × 50 mm)の 2 本のカラムで実施しました。粒子サイズに基づいて増減させた流量以外は、両方の分離で同じクロマトグラフィー条件を使用しました。
図 20:理論を実際に一致させる。分離を同じ寸法(2.1 × 50 mm)の 2 本のカラムで実施しました。粒子サイズに基づいて増減させた流量以外は、両方の分離で同じクロマトグラフィー条件を使用しました。

上記の説明により、カラム内のバンドの広がりの重要性がわかります。さらに、どのプロセスがバンドの広がりに影響し、どのようにしてそれを低減するかを理解できると、効率および分離能の向上が達成できます。

ファン・デームテル曲線を理解する

前述のように、ピークの幅は分析種分子の統計的分布(分散 σ2)と考えることができます。ピーク幅は、ピークが移動した距離に比例して直線的に増加します。ピーク幅とピークが移動した距離との関係は、理論段相当高さ(HETP または H)と呼ばれる概念です。蒸留理論に由来する H は、バンドの広がりに関連する複数のプロセスを考慮したカラム性能の尺度です。より馴染みのある用語に置き換えると、HETP が小さいほど、カラム内の段数(N)が多くなります(図 21)。

図 21:HETP を決定するための簡易方程式。(L)はカラム長、(N)は理論段数、(HETP)は理論段相当高さです。
図 21:HETP を決定するための簡易方程式。(L)はカラム長、(N)は理論段数、(HETP)は理論段相当高さです。

カラム内で分子レベルで何が起こっているか(分析種分子が移動相および固定相とどのように相互作用しているか)を考えると、そこで起こっているクロマトグラフィー性能に寄与するさまざまな拡散関連のプロセスをさらに深く理解できます(図 22)。

同時に起こる拡散関連プロセスが複数あります。

  1. 分析種分子が粒子の表面および周囲に運ばれます(渦拡散)。
  2. 分析種分子がバルクの移動相内を行ったり来たりして拡散(縦拡散)します。
  3. 分析種分子がクロマトグラフィーポアを出たり入ったりして拡散(質量移動)します。
図 22:カラム内で起こっている拡散関連のプロセス。
図 22:カラム内で起こっている拡散関連のプロセス。

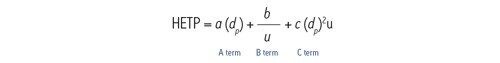
これらの拡散関連プロセスは、ファン・デームテル方程式の形で、数学的に表せます。

図 23:ファン・デームテル方程式。
図 23:ファン・デームテル方程式。

ファン・デームテル方程式は次記の 3 つの項で構成されます。

  • A 項(渦拡散)は、主に充填剤の粒子径に関連します。その値は、クロマトグラフィーベッドの充塡の仕方によっても決まります。また、粒子および粒子周囲への流れが均一か不均一かにも関連します。
  • B 項(縦拡散)は、バルク移動相中および固定相上での分析種の拡散に関連し、移動相の速度(線速度)が増加すると減少します。
  • C 項(質量移動)は、線速度(移動相の速度)および粒子径の二乗に関連しています。質量移動は、分析種分子と固定相の内部表面との相互作用であり、分析種分子が充塡剤のポアに入ったり出たりして拡散する距離です。

これらの項は、それらを HETP のスケールで移動相の線速度(u)に対してプロットすることによってわかります(図 24)。

図 24:ファン・デームテル方程式の個別にプロットした項。
図 24:ファン・デームテル方程式の個別にプロットした項。

A 項は横向き線としてプロットしています。この項は粒子径およびカラムの充塡の仕方に関連し、線速度(移動相速度)とは無関係です。充塡剤の粒子径が減小すると、H 値も減小します(高効率)。

B 項は、線速度の増加に伴って下向きに傾斜する曲線としてプロットされます。この項は粒子径とは無関係で、移動相が遅い線速度で移動すると、分析種分子がカラム内に長時間留まり、バンドがカラム内で長さ方向に広がる(拡散)確率が高くなることを示しています。逆に、移動相が速い線速度で移動すると、拡散する時間が少なくなり、バンドの広がりが起きる時間が少なくなります。

C 項は H と u の間の増加する直線関係としてプロットされます。分子の分布の中で、一部の分子は固定相のポアに入り、その他の分子は他の粒子に到達するまで移動している移動相中に留まります。これとは逆のプロセスがこれに続き、動かなくなった分子がクロマトグラフィーベッドから離れてさらに下に移動します。分子がポアに入ったり出たりするには時間がかかります。そのため、分子が 1 つの粒子から次の粒子に移動する際に、これらの分子を含む分析種のバンドは、カラムを長さ方向に移動する間に広がります。固定相粒子が小さいほど、このプロセスが速く起こり、分析種バンドの広がりが防げます。移動相が速く移動すると、動かなくなった分子と進んで行く分子の間の距離がより大きくなります。このことは、分析種分子の集団が集まったままにするためには、移動相は遅い線速度で移動する必要があることを示しています。移動相の速度が速くなると、分析種分子の集団の拡散が大きくなり、バンドの広がりが増大します。

A、B、C の各項を加算すると、ファン・デームテル曲線になります(図 25)。この曲線の最低点の線速度で分離すると、最高の効率(クロマトグラィー分離能)が得られます。

これを図 23 に示すファン・デームテル方程式と関連付けると、粒子径が半分になると H が 1/2 に減ります。したがって、小さい粒子を使用することでカラム内でのバンドの広がりを低減できます。

図 25:ファン・デームテル方程式の個別の 3 項を加算するとファン・デームテル曲線が得られる。
図 25:ファン・デームテル方程式の個別の 3 項を加算するとファン・デームテル曲線が得られる。
図 26:ファン・デームテルプロットでの 10 µm および 5 µm の粒子の比較。
図 26:ファン・デームテルプロットでの 10 µm および 5 µm の粒子の比較。

例えば、図 26 に、10 µm 粒子および 5 µm 粒子のファン・デムーテルプロットを示します。このプロットで見られるように、10 µm 粒子では、線速度に関して最低の H 値(18 µm @ 0.7 mm/秒)が得られる最適の動作範囲が非常に狭くなっています。移動相の速度が速すぎたり遅すぎたりすると、H が大きくなり(効率の低下)、クロマトグラィー分離能および感度が低下します。一方、5 µm 粒子では、より高い移動相速度(10 µm @ 0.95 mm/秒、高効率)ではるかに低い H 値を示し、この H 値が得られる線速度の範囲も広いことがわかります。つまり、高い効率およびこれによる良好な分離能が、大きい 10 µm 粒子を充塡したカラムより短い時間で得られます。

ファン・デームテル方程式の個々の項に対する粒子径の影響をさらに詳細に調べることで、この効果についてさらに深く理解することができます。

粒子径は、A 項(渦拡散)に関連していることから、分析種のバンドに著しい影響を及ぼします。分析種分子がバルク移動相から粒子の表面および粒子の周囲まで移動する経路では、移動にかかる時間が、粒子径が減小するにつれて短くなります。粒子が大きいと、分析種分子の移動距離が長くなり、より曲がった経路をたどります。これらの経路の差により集団内の分析種分子の移動時間が多様になり、分析種のバンドおよびピークが広くなります。充塡剤の粒子径が小さくなると、分析種分子の経路長が同じになるように仕向けられます。その結果、分析種のバンドが狭くなり、狭いピーク、高効率、高感度につながります(図 27)。

図 27:A 項に対する粒子径の影響。
図 27:A 項に対する粒子径の影響。

縦拡散(B 項)は粒子径の影響を直接には受けません。ただし、粒子径が減小すると、ファン・デームテル方程式の A 項および B 項が小さくなります。その結果、最適な線速度が速くなり、バンドが広がる可能性が減少します。線速度が遅いと、分析種分子のバンドが充塡剤とより長時間相互作用するようになります。つまり、移動相への軸方向(縦方向)の拡散の時間が長くなり、より広い拡散した分析種バンドになります。線速度が速いと、分析種分子の集団はカラム中を短時間で流れ、これによって分析種バンドの濃縮された状態が維持される結果、縦拡散の時間が短いことにより、幅が狭く高効率のピークになります(図 28)。

図 28:縦拡散に対する線速度の影響(B 項)。
図 28:縦拡散に対する線速度の影響(B 項)。

C 項(質量移動)は、線速度および粒子径の両方の影響を受けます。分析種分子の集団は移動相から粒子表面に移動します。分析種分子は、移動相を通って結合表面層(C18、C8 など)のポア中に移動して結合相と相互作用し、ポアからバルク移動相中に流し戻されます。一方、集団内の分析種分子は、さまざまな程度でポアに入ったりポアから出たりして移動します。つまり、分子がバルク移動相に戻る際に各分析種分子が移動する経路長がさまざまになり、それが分析種バンドの広がり(拡大)になります(図 29)。発生するバンドの広がりの程度は、移動相の速度によって異なります(図 30)。

図 29:クロマトグラフィーポアへの、およびクロマトグラフィーポアからの質量移動(拡散)。
図 29:クロマトグラフィーポアへの、およびクロマトグラフィーポアからの質量移動(拡散)。
図 30:線速度が質量移動および分析種バンドに及ぼす影響(同じ粒子径)。
図 30:線速度が質量移動および分析種バンドに及ぼす影響(同じ粒子径)。

線速度が大きいと、粒子表面での分子の相互作用と、移動相を介した移動にかかる時間が長くなります。移動相の速度が速いほど、分析種分子がカラムを通って流れる速度が速くなり、その結果幅広い濃縮されていない分析種バンドになります。その結果、幅広いクロマトグラフィーピークおよび低感度につながります。

線速度が遅いと、表面との相互作用の間のステップの長さが短くなります。その結果、分析種バンドがより濃縮され、狭く高効率のクロマトグラフィーピークが得られます。

粒子径が減少すると、質量移動は、粒子径の二乗(dp2)に比例して大幅に改善します。小さな粒子では、分析種分子がポア内に移動し、クロマトグラフィー表面と相互作用し、移動相内に流し戻されるのにかかる時間が短くなります。したがって、より小さな粒子のカラムで分離された分析種分子は、はるかに速く拡散し、より鋭く狭い高効率のクロマトグラフィーバンドが得られます(図 31)。

図 31:粒子径に関連する質量移動の差(100 Å ポアで代表)。より小さな粒子はより狭い分析種バンドになります。
図 31:粒子径に関連する質量移動の差(100 Å ポアで代表)。より小さな粒子はより狭い分析種バンドになります。

したがって、粒子径を小さくすると質量移動が改善し、C 項の傾きが効果的に減小します。これが UPLC テクノロジーの現在につながります。図 32 のファン・デームテルプロットでわかるように、1.7 µm 粒子により、HETP 値が 3.5 µm 粒子より 2 ~ 3 倍低くなります。さらに、これらの低 H 値が、高い線速度で、そして広い速度範囲にわたって得られます。つまり、質量移動は、粒子を小さくすることによって大幅に改善し、効率と分離能が向上します。また、線速度の範囲が拡がったことにより、性能の向上も得られます。より速い線速度で分離が行え、分析の速度が改善し、分離能を損なうこともありません。

図 32:ファン・デームテルプロットによる粒子径の比較。
図 32:ファン・デームテルプロットによる粒子径の比較。

ファン・デームテルプロットにおけるカラム外(装置)のバンドの広がりの影響

UPLC テクノロジーがクロマトグラフィーラボで勢いと人気を得るのにともなって、粒子径 2 µm 以下の粒子による性能向上を既存の HPLC の粒子径と比較するための測定によく使用される方法としてファン・デームテルプロットが登場しました。これらの比較測定は、カラム外のバンドの広がりの寄与が最小限に抑えられた装置で行わないと、間違った結論になる可能性があります。

性能測定におけるカラム外のバンドの広がりの重要性を実証するため、ファン・デームテルプロットを生成して、従来の HPLC 装置を(バンドの広がり = 7.2 µL)、1.7 µm 粒子および 2.5 µm 粒子と比較しました(図 33)。2 つのカラムの粒子基材と結合相ケミストリーは同じでした。一見したところ、ファン・デームテルプロットからは、これら 2 本のカラムに認識できる差はないように思えます。どういうことでしょうか?

この場合、HPLC 装置のバンドの広がりは、性能測定の結果において、2.5 µm 粒子の HPLC カラムとの比較における 1.7 µm 粒子 UPLC カラムと同程度でした。1.7 µm 粒子 UPLC カラムではピーク幅がより狭いため、より大きな粒子(例えば 2.5 µm)が充塡されたカラムよりカラム外のバンド拡大の影響を大きく受け、判断を誤らせる結果につながっています。

図 33:HPLC 装置で粒子径 3 µm 以下の粒子を比較したところ、同様の性能および線速度範囲が得られました。XBridge™ HPLC C18 2.1 × 50 mm、2.5 µm カラムおよび ACQUITY UPLC BEH C18 2.1 × 50 mm、1.7 µm カラムでのアセナフテンのファン・デームテル曲線。
図 33:HPLC 装置で粒子径 3 µm 以下の粒子を比較したところ、同様の性能および線速度範囲が得られました。XBridge™ HPLC C18 2.1 × 50 mm、2.5 µm カラムおよび ACQUITY UPLC BEH C18 2.1 × 50 mm、1.7 µm カラムでのアセナフテンのファン・デームテル曲線。

同じ実験を、ACQUITY UPLC 装置(バンドの広がり = 2.8 µL)で行いました。ACQUITY UPLC 装置では、HPLC 装置よりシステム容量が約 84% 低く、バンドの広がりが 60% 低くなっています。

図 34 に示すように、ACQUITY UPLC 装置を用いると、これら 2 種類のカラムの性能に顕著な差が見られます。HETP に見られたこの差に加えて、最適な線速度が 3.0 mm/秒(2.5 µm 粒子)から 10.0 mm/秒(1.7 µm 粒子)に増加し、UPLC テクノロジーに関連して低 HETP(高効率)および高線速度(これによるスループット)が得られており、性能の向上が実証されました。

図 34:ACQUITY UPLC 装置での粒子径 3 µm 以下の粒子を比較したところ、粒子径の減小により性能および線速度範囲の向上が得られました。XBridge HPLC C18 2.1 × 50 mm、2.5 µm カラムおよび ACQUITY UPLC BEH C18 2.1 × 50 mm、1.7 µm カラムでのアセナフテンのファン・デームテル曲線。
図 34:ACQUITY UPLC 装置での粒子径 3 µm 以下の粒子を比較したところ、粒子径の減小により性能および線速度範囲の向上が得られました。XBridge HPLC C18 2.1 × 50 mm、2.5 µm カラムおよび ACQUITY UPLC BEH C18 2.1 × 50 mm、1.7 µm カラムでのアセナフテンのファン・デームテル曲線。

妥協なく分離の完全性を維持する

これまでの説明により、カラム外およびカラム内のバンドの広がりの機能に関する基本的理解が確立され、これらの項(HETP vs. 線速度)の尺度をより実用的な理論段数対流量と関連付けることができるようになります。

以前に説明したように、線速度とは移動相がカラムを通って流れる速度です。これは、寸法が異なるカラムの性能を測定および比較できるように、移動相の流量をカラム内径とは無関係に標準化するのに使用する用語です。最適な線速度は、最適な流量に直接関連します(図 35)。従来の HPLC カラムでは、最適な性能を得るには、狭い流量範囲でのみ使用する必要があります。この範囲外で使用すると、性能が低下することが予測できます。

図 35:最適な線速度は、最高の性能が得られる最適の流量に対応します。値は、1.7 µm 粒子が充塡された内径 2.1 mm、長さ 50 mm のカラムについて計算したものです。
図 35:最適な線速度は、最高の性能が得られる最適の流量に対応します。値は、1.7 µm 粒子が充塡された内径 2.1 mm、長さ 50 mm のカラムについて計算したものです。

従来の HPLC で分析時間を短縮する(スループットを向上させる)一般的なアプローチは、単に流量を増加させることです。大きな粒子では、流量を増加させると効率がかなり低下し、分離能が低下します。それは、この HPLC 粒子に最適な線速度を超える線速度を使用しているからです。これは、HPLC に関連するクロマトグラフィー性能と分析速度の間の大きな妥協です(図 36)。

図 36:HPLC では分離能と速度の妥協が必要です。この場合、分離能が 30% 低下しています。
図 36:HPLC では分離能と速度の妥協が必要です。この場合、分離能が 30% 低下しています。

UPLC テクノロジーでは、これらの妥協は必要ありません。性能を犠牲にせずに分析時間を短縮できます。粒子径を 3.5 µm から 1.7 µm に下げると、効率の有意な増加が見られます(図 37)。これは、1.7 µm 粒子の UPLC カラムでは、カラム内のバンドの広がりがほとんどないために、狭いクロマトグラフィーバンドが得られることによるものです。さらに、この効率の向上は、高流量で得られています(図 37)。つまり、同じカラム長の場合、効率そしてその結果である分離能の大幅な増大を、短い分析時間で達成できます。

図 37:最適流量における粒子径依存性。
図 37:最適流量における粒子径依存性。

カラムの分離能(L/dp)を理解する

クロマトグラフィー分離を行う際の、最上位の目標は、成分の一部またはすべてを測定できるように、ある成分を別の成分から分離することです。カラムの最大分離能は、カラム長(L)を粒子径(dp)で除算することによって推定できます。L/dp 比は、特定のアプリケーションに対して、どの粒子径の充塡剤およびカラム長が必要かを決定する際に有用です(図 38)。

図 38:L/dp 比の計算。
図 38:L/dp 比の計算。

この比率は、ある粒子径から別の粒子径に分析法を移行するためのツールとしても使用できます。L/dp 比 30,000(中等度に困難な分離)のカラムは、非常に一般的な選択です。図 39 に示すように、分離能 30,000 が得られる一般的な HPLC カラムは、長さ 150 mm で、5 µm 粒子が充塡されています。粒子径が減小すると、より短いカラムで同じ分離能が得られます(つまり、分析時間が短縮し、1.7 µm 粒子を充塡した長さ 50 mm のカラムで L/dp 比 30,000 が得られます)。短いカラム長だけでなく、粒子径が減小しても最適流量が増加し、さらに分析時間が短縮します。

図 39:分離指数(簡単から極めて難しいまで)の関数としての L/dp 比の比較。同じ L/dp 比のカラムでは同じ分離能が得られます。
図 39:分離指数(簡単から極めて難しいまで)の関数としての L/dp 比の比較。同じ L/dp 比のカラムでは同じ分離能が得られます。

このことはクロマトグラフィーにおいてより明確に実証されています(図 40)。1.7 µm 粒子が充塡れた長さ 50 mm の UPLC カラムにより、5 µm 粒子が充塡された長さ 150 mm の HPLC カラムと同じ分離能が得られます。L/dp 比を一定に保つことにより、分離能を維持したまま分析時間が 1/10 に短縮します。流量は、各粒子径に反比例して調整しました。注入量は、同じオンカラム質量負荷が注入されるように、カラム容量に比例させて増減させました。

図 40:L/dp を一定に保って粒子径を小さくすることにより、分離の完全性を維持したまま分離の速度を高めることができる。
図 40:L/dp を一定に保って粒子径を小さくすることにより、分離の完全性を維持したまま分離の速度を高めることができる。

カラム長と粒子径の比(L/dp)の役割を理解することは、UPLC テクノロジーを理解する鍵です。UPLC テクノロジーは、小さな耐圧性粒子が効率的に充塡された、短い(高スループット)カラムまたは長い(高分離能)カラムに基づいています。これらの UPLC カラムは、これらの粒子に最適の線速度(および結果としての圧力)で、最小のバンドの広がりで動作するように設計された装置で使用します。

グラジエント分離性能(ピークキャパシティ)の測定

アイソクラティック条件において、理論段数(N)は、装置とカラムのバンドの広がりに対する累積的な寄与の尺度です。拡散に関連するバンドの広がりにより、分析種バンドが固定相に長く保持されるほど、分析種バンドの幅が広くなります。

グラジエント分析では、分析の過程全体にわたって、移動相の溶出力が変化します。これにより、より強く保持される分析種バンドの方が速く移動してカラムを通過し(したがって保持時間が変わる)、バンドがより濃縮された状態(狭い)に保たれます。逆相クロマトグラフィーでは、移動相の溶出力が増大すると、生じるバンドの幅が制御されて、バンドが検出器を通過するときに同様のピーク幅になります。ピーク幅および保持時間は、移動相の強さが変わると変化するので、理論段数(ピーク幅との関係による)はグラジエント分離では有効な尺度ではありません。

グラジエントの分離能(分離力)はそのピークキャパシティ(Pc)によって計算できます。したがって、ピークキャパシティは単に、所定のグラジエント時間で分離できるピークの理論数です。ピークキャパシティはピーク幅に反比例します。したがって、Pc を増加させるには、ピーク幅を減小させることが必要です。

図 41:ピークキャパシティ(Pc)方程式。ここで、(tg)はグラジエント時間、(w)は平均ピーク幅です。
図 41:ピークキャパシティ(Pc)方程式。ここで、(tg)はグラジエント時間、(w)は平均ピーク幅です。
図 42:ピークキャパシティ方程式の高速分離への適用。ここで、0.37 分はグラジエントの時間、0.01 分は平均ピーク幅で、ピークキャパシティは 38 になります。ピーク幅はピーク高さの 13.4%(4σ)の位置で測定しました。
図 42:ピークキャパシティ方程式の高速分離への適用。ここで、0.37 分はグラジエントの時間、0.01 分は平均ピーク幅で、ピークキャパシティは 38 になります。ピーク幅はピーク高さの 13.4%(4σ)の位置で測定しました。

ピークキャパシティは、UPLC テクノロジーの使用によって大幅に増大する可能性があります。UPLC テクノロジーの高い分離能により、極めて低拡散の装置(バンドの広がり 2.8 µL)で粒子径 2 µm 以下の粒子の力を活用することで、単位時間当たりより多くの情報が得られます。これにより、所定のサンプルからより多くの情報が容易に収集できるようになります。例えば、5 µm の粒子が充塡された HPLC カラムを使用して、ホスホリラーゼ b のトリプシン消化物から約 70 のピークが同定されました(図 43A)。UPLC テクノロジーを用いることで、同定可能なピークの数が 70 から 168 に増加し、タンパク質同定の信頼性が向上します(図 43B)。

図 43:HPLC テクノロジーと UPLC テクノロジーでのピークキャパシティの比較。
図 43:HPLC テクノロジーと UPLC テクノロジーでのピークキャパシティの比較。

関連情報

究極の感度、再現性、スピードを体験してみませんか。ACQUITY Premier LC-MS は、分析分離に最高の感度とピーク形状を提供します。

ACQUITY UPLC I-Class PLUS システムは、大幅に低減された拡散により高分離能を実現し、キャリーオーバーの低減による迅速な注入サイクルと高いスループットを実現できるため、あらゆる質量分析計に対して優れたインレットとなっています。

ACQUITY UPLC H-Class PLUS システムは、4 溶媒または 2 溶媒混合の柔軟性と精度、および UPLC 分離に期待される高度の性能である高分離能、高感度、ハイスループットをお届けします。

粒子径が 2 μm 以下の UPLC カラムを用いて圧力 1241 bar で、高分離能かつ高感度で迅速な分離を実現。
トップに戻る トップに戻る