• 应用纪要

利用Alliance HPLC系统和RI检测器根据ASTM D6379 (IP436)测定航空燃料和石油馏出物中的芳烃类型

利用Alliance HPLC系统和RI检测器根据ASTM D6379 (IP436)测定航空燃料和石油馏出物中的芳烃类型

  • Rachel Sanig
  • Chris Henry
  • Michael Jones
  • Waters Corporation
Three gas pump nozzles in field

摘要

本应用简报重点介绍Waters Alliance HPLC系统与Waters 2414示差折光检测器结合使用,按照ASTM D6379 (IP436)方法的规定测定石油馏出物和航空燃料中的单芳烃和双芳烃含量。经证明,该仪器系统的设置符合方法规定标准,且线性、分离度和精度均优于标准值。

优势

  •  兼容多种溶剂类型,支持正相应用
  • 用户无需工具即可自行更换常规的维护部件,大幅缩短系统停机时间
  • 所用的HPLC色谱柱在科学文献中广泛引用
  • 使用Empower软件集中存储方法、数据、电子签署和报告,确保数据完整性
  • Empower有个人版、工作组版和企业版,可根据您实验室的规模随需选用

简介

本文所述高效液相色谱(HPLC)检测方法符合ASTM D6379,可测定沸点介于50~300°C的石油馏出物和航空燃料(例如Jet A或Jet A-1燃料)中单芳烃和双芳烃的含量1

要确定石油精炼工艺对生产不同成品燃料的影响,很重要的一点是确定芳烃类型的总体水平。各类芳烃的含量对于了解燃料质量和评估成品的相对燃烧性能至关重要1。为此,必须了解燃料中芳烃成分含量的准确定量信息,以确保在实际运用中发挥应有的作用。

为保证成品燃料的安全性与合规性,必须使用ASTM D6379检测方法评估芳烃含量,结果必须满足规定标准。

本应用简报展示了Alliance HPLC系统结合示差折光检测器(RID)和Empower色谱数据系统(CDS)可以在正相条件下按照ASTM D6379方法的规定测定芳烃。

实验

实验条件参照ASTM D6379的规定。

仪器:

Alliance HPLC系统

2414示差折光检测器

软件:

Empower 3色谱数据系统

色谱柱:

Waters Spherisorb Amino (NH2)色谱柱, 80 Å, 5 µm, 4.6 x 250 mm(部件号:PSS831115

Waters Spherisorb Amino (NH2)保护柱, 80 Å, 5 µm, 4.6 x 10 mm(部件号:PSS830079

沃特世串联保护柱柱套(部件号:PSS830008

试剂(流动相):

庚烷(HPLC级,Sigma-Aldrich(英国多塞特))

标准品:

环己烷(Merck Biosciences Ltd(英国诺丁汉))

二甲苯(Merck Biosciences Ltd(英国诺丁汉))

1-甲基萘(Sigma-Aldrich(英国多塞特))

制备一个系统分辨率标准品(SRS)和四个校准标准品,如表1所示。

 

分析条件

流动相流速:

1 mL/min

进样体积:

10 µL

柱温:

30℃

RID温度:

30℃

停止时间:

15 min

校准标准品

SRS和校准标准品中的分析物浓度
表1.SRS和校准标准品中的分析物浓度

结果与讨论

进样系统分辨率标准品(SRS),以根据ASTM D6379标准验证方法。饱和化合物(环己烷,3.35分钟)与单芳烃和双芳烃化合物(二甲苯,5.82分钟和1-甲基萘,8.24分钟)实现了基线分离(图1)。二甲苯与环己烷的分离度以及二甲苯与1-甲基萘的分离度均明显超过ASTM标准水平。

 系统分辨率标准品
图1.使用庚烷配制的系统分辨率标准品(SRS)所得色谱图。

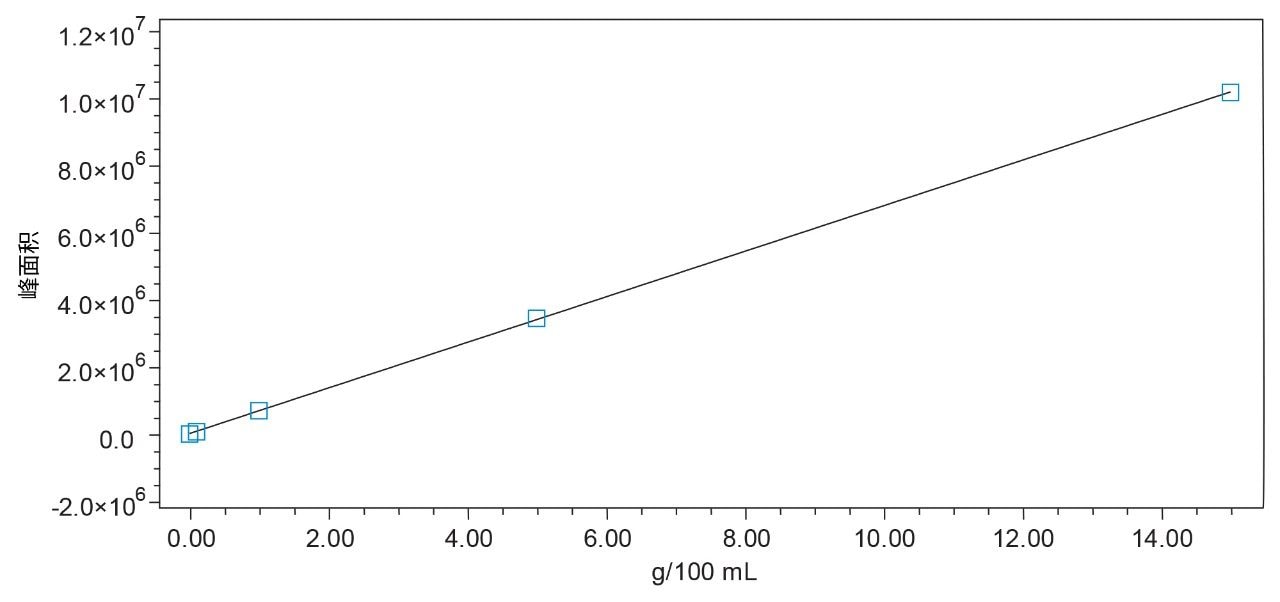
校准标准品的标准曲线显示出良好的定量线性,二甲苯和1-甲基萘的r2值均大于0.999(图2和图3)。

邻二甲苯的标准曲线
图2.邻二甲苯的标准曲线
1-甲基萘的标准曲线
图3.1-甲基萘的标准曲线

重复进样SRS以评估精度。每种化合物的峰保留时间RSD和峰面积RSD分别小于0.1%和0.6%。

为评估仪器系统分析实际样品的性能,用庚烷将Jet-A燃料样品(由学术合作者提供)稀释10倍,随后进样。Jet-A燃料进样的示例色谱图见图4,饱和物与单芳烃和双芳烃实现良好分离,足以根据ASTM D6379的要求进行定量。

Jet A-1样品进样结果
图4.Jet A-1样品进样结果,图中展示了预测的不同芳烃的积分点。

结论

研究证明,Waters Alliance HPLC系统结合Waters 2414示差折光检测器适用于按照ASTM D6379 (IP 436)标准方法测定航空燃料和石油馏出物中的芳烃。仪器设置符合ASTM标准方法,并满足线性、分离度和精度要求,标准曲线的决定系数表明,芳烃定量分析呈现出良好的线性响应。

参考资料

  1. American Society for Testing and Materials (ASTM): ASTM D6379 – 11, Standard Test Method for Determination of Aromatic Hydrocarbon Types in Aviation Fuels and Petroleum Distillates – High Performance Liquid Chromatography Method with Refractive Index Detection, https://www.astm.org/Standards/D6379.htm.

720006977ZH,2020年8月

返回顶部 返回顶部